08_glava (1055395)
Текст из файла
149
8. Арифметико-логические устройства (АЛУ).
8.1 Назначение и классификация АЛУ.
Арифметико-логическим устройством называется функционально законченный узел, предназначенный для реализации логических и арифметических операций по обработке информации.
Для выполнения арифметических и логических операций над входными переменными они должны быть введены в АЛУ, поэтому его дополняют вспомогательными устройствами, предназначенными для промежуточного хранения как исходных данных, так и результатов выполнения той или иной операции. Функции этих устройств возлагают на дополнительные регистры.
Основным элементом АЛУ являются сумматоры
По числу выводов различают: полусумматоры, одноразрядные сумматоры, многоразрядные сумматоры.
Полусумматором называется устройство , предназначенное для сложения двух одноразрядных кодов имеющие два входа и два выхода и формирующие из сигналов входных слагаемых и сигналы суммы и переноса в старший разряд.
Одноразрядным сумматором называется устройство, предназначенное для сложения двух одноразрядных кодов, имеющее три входа и два выхода и формирующие из сигналов входных слагаемых и сигнала переноса из младших разрядов сигналы суммы и переноса в старший разряд.
Многоразрядным сумматором называется устройство, предназначенное для сложения двух многоразрядных кодов, формирующее на выходе код суммы и сигнал переноса в случае, если результат сложения не может быть представлен кодом, разрядность которого совпадает с разрядностью кодов слагаемых.
В свою очередь многоразрядные сумматоры подразделяются на последо-ватеные и параллельные. В последовательных сумматорах операция сложения выполняется последовательно разряд за разрядом, начиная с младшего. В параллельных все разряды входных кодов суммируются одновременно.
8.1 Полусумматоры.
Рис. 8.1
| Входы | Выходы | ||
| В | А | | С0 |
| 0 | 0 | 0 | 0 |
| 0 | 1 | 1 | 0 |
| 1 | 0 | 1 | 0 |
| 1 | 1 | 0 | 1 |
| Двоичные числа-слагаемые | Сумма | перенос | |
Рис 8.3 Полусумматор
8.3 Полные сумматоры.
| входы | Выходы | |||
| Сm | B | A | S | Сo |
| 0 | 0 | 0 | 0 | 0 |
| 0 | 0 | 1 | 1 | 0 |
| 0 | 1 | 0 | 1 | 0 |
| 0 | 1 | 1 | 0 | 1 |
| 1 | 0 | 0 | 1 | 0 |
| 1 | 0 | 1 | 0 | 1 |
| 1 | 1 | 0 | 0 | 1 |
| 1 | 1 | 1 | 1 | 1 |
| Сумма | Перенос | |||
Рис. 8.4
Рис 8.5 Полный сумматор
8.4 3-разрядные параллельные сумматоры.
Числа-слагамые.
Рис 8.6 .3-Разрядные параллельные сумматоры
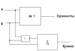
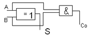
8.5 Двоичное вычитание, полувычитатель, полный вычитатель, 4-разрядный параллельный вычитатель.
Рис 8.7. Полувычитатель.
Входы | Выходы | ||
| А | В | Di | B0 |
| 0 | 0 | 0 | 0 |
| 0 | 1 | 1 | 1 |
| 1 | 0 | 1 | 0 |
| 1 | 1 | 0 | 0 |
| Разность | Заем | ||
Рис. 8.8
Рис 8.9 . 4-разрядный параллельный вычитатель.
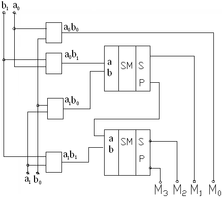
8.6 Двоичное умножение.
Операция умножение базируется на суммировании частотных произведений разрядов сомножителей.
a1 a0
b1 b0
a1*b1 a0*b0
+
a1*b1 a0*b1
M3 M2 M1 M0
Рис.8.10
7 1 1 1 – множимое
5 1 0 1 - множитель
3
5 1 1 1 - первое частное произведение
+
0 0 0 - второе частное произведение
+
1 1 1 - третье частное произведение
1 0 0 0 1 1 – полное произведение
7+7+7+7+7=35
Рис 8.11 Структурная схема умножителя с использованием многократного сложения.
| Загрузка двоичного числа | После 1-го счета | После 2-го счета | После 3-го счета | После 4-го счета | После 5-го счета | |
| Регистр множимого | 111 | 111 | 111 | 111 | 111 | 111 |
| Счетчик множителя | 101 | 100 | 011 | 010 | 001 | 000 |
| Регистр произведения | 00000 | 00111 | 01110 | 10101 | 11100 | 100011 |
8.7 АЛУ на базе интегральной микросхемы К555ИП3.
Рассмотрим функциональные возможности интегральной микросхемы К555ИП3.
Рис 8.12 АЛУ на базе интегральной микросхемы К555ИП3.
| Управляющие сигналы S3S2S1S0 | Логические операции M=1 | Арифметические операции M=0 |
| 0000 0001 0010 0011 | 0 | А -1 |
| 0100 0101 0110 0111 | А+В | А-В-1 |
| 1000 1001 1010 1011 | В | А+В |
| 1100 1101 1110 1111 | 1 А | А+А А-1 |
8.8 Семинар №5 "Двоичная арифметика"
Задача №5.1
Перевести числа 1610, 2610, 11910, 25510, 102410 в двоичную систему счета.
Преобразование десятичных чисел в двоичные
| X10 | Y2 | Z8 | α16 | β4 |
| 0 | 0000 | 00 | 0 | 0 |
| 1 | 0001 | 01 | 1 | 1 |
| 2 | 0010 | 02 | 2 | 2 |
| 3 | 0011 | 03 | 3 | 3 |
| 4 | 0100 | 04 | 4 | 10 |
| 5 | 0101 | 05 | 5 | 11 |
| 6 | 0110 | 06 | 6 | 12 |
| 7 | 0111 | 07 | 7 | 13 |
| 8 | 1000 | 10 | 8 | 20 |
| 9 | 1001 | 11 | 9 | 21 |
| 10 | 1010 | 12 | A | 22 |
| 11 | 1011 | 13 | B | 23 |
| 12 | 1100 | 14 | C | 30 |
| 13 | 1101 | 15 | D | 31 |
| 14 | 1110 | 16 | E | 32 |
| 15 | 1111 | 17 | F | 33 |
| 16 | 10000 | 20 | 10 | 100 |
Характеристики
Тип файла документ
Документы такого типа открываются такими программами, как Microsoft Office Word на компьютерах Windows, Apple Pages на компьютерах Mac, Open Office - бесплатная альтернатива на различных платформах, в том числе Linux. Наиболее простым и современным решением будут Google документы, так как открываются онлайн без скачивания прямо в браузере на любой платформе. Существуют российские качественные аналоги, например от Яндекса.
Будьте внимательны на мобильных устройствах, так как там используются упрощённый функционал даже в официальном приложении от Microsoft, поэтому для просмотра скачивайте PDF-версию. А если нужно редактировать файл, то используйте оригинальный файл.
Файлы такого типа обычно разбиты на страницы, а текст может быть форматированным (жирный, курсив, выбор шрифта, таблицы и т.п.), а также в него можно добавлять изображения. Формат идеально подходит для рефератов, докладов и РПЗ курсовых проектов, которые необходимо распечатать. Кстати перед печатью также сохраняйте файл в PDF, так как принтер может начудить со шрифтами.
















