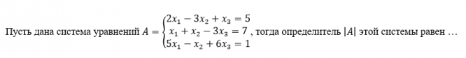
Вопрос есть в коллекциях
Н.К. – сотрудник информационного отдела компании. Вернее сказать, он – неформальный лидер коллектива отдела, а также смежных отделов. Среди его особенных профессиональных и личностных качеств коллеги отмечают, в первую очередь, качественную работу с информацией, анализ и систематизацию даже неструктурированных данных. Н.К. может за короткий промежуток времени оформить поступившую информацию в целостную систему, что значительно облегчает работу и его отдела, и смежных подразделений. Результаты его работы проявляются в процессе планирования, определения стратегии и тактики работы. Какие бы внешние обстоятельства не имели место, Н.К. всегда сохраняет оптимизм. Одно его появление среди коллег вселяет в них уверенность в успехе и желание работать. Н.К. обладает прекрасным чувством юмора, умеет поддержать сотрудников и доброй шуткой, и ценным советом. Он внимателен к своим сослуживцам, всегда искренне интересуется их делами, открыт для общения. У Н.К. есть девиз: «Невозможное – возможно!». Именно такая профессиональная и жизненная позиция позволили ему стать душой компании. Руководство приняло решение назначить Н.К. одним из заместителей директора с перспективой возглавить филиал компании. Новость о предстоящем назначении быстро облетела всю компанию. Коллеги были рады за Н.К. Не рад был только сам «виновник торжества». После появления информации о грядущем назначении настроение Н.К. сильно изменилось. Он стал замкнут, необщителен, старался как можно меньше взаимодействовать с коллегами. Сроки проекта, над которым работал Н.К., были сорваны. Руководитель компании вызвал Н.К. на разговор, в ходе которого последний признался, что опасается нового назначения. Связано это с тем, что он часто срывает сроки сдачи проектов, иногда опаздывает на работу. Предметом опасений Н.К. являются и новые функциональные обязанности: ведение переговоров с заказчиком, контроль за работой сотрудников, подготовка отчетной документации. Еще один вопрос, с которым связаны переживания Н.К., – «сложные отношения» с одним из заместителей директора. До открытого конфликта дело не доходило, но неприязнь со стороны этого сотрудника Н.К. переживает очень остро. Он опасается, что в случае назначения его на должность натянутые отношения могут перейти в открытый конфликт, а у него нет навыка поведения в подобной ситуации. Руководитель компании по результатам разговора с Н.К. принял решение поддержать перспективного сотрудника, отправив его на тренинговую программу. Какую группу навыков необходимо развивать Н.К., согласно концепции Г. Левинсона о лидерских качествах?
- Н.К. необходимо развивать когнитивные навыки.
- Н.К. необходимо развивать эмоциональные и коммуникативные навыки.
- Н.К. необходимо развивать навыки, направленные на внешнее поведение.
iFate
stud1
Мediator
meimei1337
grays284
EcoTime Inc.

id133069387


Анастасия Жукова
milendemontgomery
nastia1998l




































