Пономарев-цветков (539900), страница 3
Текст из файла (страница 3)
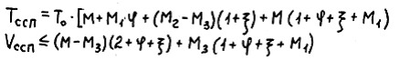
Оценка эффективности сиквенциально-счетчиковой программы (ССП) производиться по памяти (V) и быстродействию (Т):
М, М1, М2, М3 - число переходов соответственно: общее, возбужденных, выполненных (в каждый момент времени), имеющих более одной входной или выходной позиции;
То - время выполнения одной команды микропроцессорного средства;
То =0,003 сек.
φ, ξ - максимальный ранг конъюнкций соответственно: от входных или выходных переменных, помечающих переходы или позиции
Рассчитаем, согласно нашим данным:
Управляющая программа хранится в энергозависимом запоминающимся устройстве (ЭНЗУ) МКП-1. Объем модуля ЭНЗУ составляет 512 байт и позволяет осуществить запись 256 команд. Адресное пространство каждого модуля образует одну зону памяти, а каждая зона памяти делиться на 2 страницы памяти, т.о., объем каждой страницы памяти составляет 256 байт, что позволяет записать в нее 128 команд.
В получившейся программе имеется 0x5E = 94 команды, следовательно, объем занимаемой ею памяти будет составлять 188 байт, что входит в рамки полученных расчетных результатов.
ВЫВОДЫ
В курсовой работе разработана микропроцессорная система управления РТК на базе резьбонарезного станка и промышленного робота M1 для автоматизированного нарезания резьбы на деталях цилиндрической формы. Составлена программа для микроконтроллера типа МКП-1.
На каждом этапе проектирования соблюдался принцип локальности преобразований. Управляющая программа написана в кодах входного языка и обеспечивает выполнение заданного алгоритма управления каждым элементом системы: роботом и резьбонарезным станком.
















