22 вариант, 16 баллов (1054416)
Текст из файла
16 баллов
Долинин Павел, МТ11-72, Вариант 22
1. Системы управления со штекерной панелью. Преимущества и недостатки. Способы описания работы.
Штекерная панель представляет собой сетку из изолированных друг от друга вертикальных и горизонтальных металлических полос, шин. На их пересечении располагаются отверстия – гнёзда, в которые оператор может вставлять штекеры – металлические стержни, таким образом соединяя шины. Располагая штекеры разными способами, можно получить множество комбинаций для управления реле (обозначены как Р) исполнительных механизмов, которые подключены к горизонтальным шинам. Счётное устройство по очереди замыкает ключи (обозначены как К), и за счёт реле происходит выполнение тех или иных команд, которые созданы комбинацией штифтов.
Достоинства:
-Большое число выполняемых комбинаций
-Простота реализации
-Несложное перепрограммирование
Недостатки:
-Оператор переключает команды вручную, поэтому с помощью такой САУ нельзя обеспечить осуществление технологических процессов, требующих жёсткого режима по времени
-Контакт штекеров с металлическими полосами приводит к износу и возможному отказу
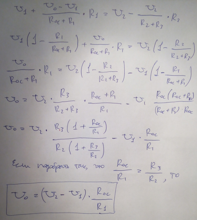
2. Дифференциальный усилитель. Вывод формулы преобразования входного сигнала с использованием основных правил расчета схем на идеальных операционных усилителях.
Характеристики
Тип файла документ
Документы такого типа открываются такими программами, как Microsoft Office Word на компьютерах Windows, Apple Pages на компьютерах Mac, Open Office - бесплатная альтернатива на различных платформах, в том числе Linux. Наиболее простым и современным решением будут Google документы, так как открываются онлайн без скачивания прямо в браузере на любой платформе. Существуют российские качественные аналоги, например от Яндекса.
Будьте внимательны на мобильных устройствах, так как там используются упрощённый функционал даже в официальном приложении от Microsoft, поэтому для просмотра скачивайте PDF-версию. А если нужно редактировать файл, то используйте оригинальный файл.
Файлы такого типа обычно разбиты на страницы, а текст может быть форматированным (жирный, курсив, выбор шрифта, таблицы и т.п.), а также в него можно добавлять изображения. Формат идеально подходит для рефератов, докладов и РПЗ курсовых проектов, которые необходимо распечатать. Кстати перед печатью также сохраняйте файл в PDF, так как принтер может начудить со шрифтами.
















