[7] Диэлектрические Материалы (987507), страница 7
Текст из файла (страница 7)
7.4. Диэлектрические потери
7.4.1. Основные понятия
Диэлектрическими потерями называют мощность, рассеиваемую в диэлектрике при воздействии на него электрического поля и вызывающую нагрев этого диэлектрика.
Под удельными диэлектрическими потерями понимают диэлектрические потери, отнесенные к единице объема диэлектрика.
Потери в диэлектриках наблюдаются при внесении диэлектрика как в постоянное, так и в переменное электрическое поле. Потери мощности при постоянном напряжении связаны с прохождением через диэлектрик сквозного тока утечки и аналогичны потерям мощности в проводниках, описываемых законом Джоуля-Ленца:
P=U*1=U2/R=I2R (7.4.1)
где U — напряжение, приложенное к диэлектрику; I — ток сквозной проводимости; R — сопротивление диэлектрика.
При воздействии на диэлектрик переменного напряжения в нем кроме сквозной электропроводности могут проявляться и другие явления, вызывающие выделение энергии — обычно нагрев. К таким явлениям в первую очередь относятся явления «последействия», наблюдаемые в диэлектриках при замедленных видах поляризации.
Для оценки диэлектрических потерь в переменных электрических полях диэлектрик обычно представляют в виде схемы замещения, состоящей из идеальных элементов-емкостей и сопротивлений. Эти схемы должны быть выбраны так, чтобы активная мощность, расходуемая в данной схеме, была равна мощности, рассеиваемой в конденсаторе, между обкладками которого находится исследуемый диэлектрик, а ток опережал напряжение на тот же угол, что и в рассматриваемом конденсаторе. Сами по себе эквивалентные схемы не имеют физического смысла, так как не отражают реальных процессов, происходящих в диэлектриках, а введены лишь для оценочных расчетов. Наибольшее распространение получили параллельная и последовательная схемы замещения, представленные, наряду с векторными диаграммами токов, на рис. 7.4.1. Обе схемы считаются эквивалентными друг другу, если при равенстве полных сопротивлений Zs = Zp=Z будут равны их активные и реактивные составляющие. Это условие выполняется, если углы сдвига тока относительно напряжения равны и значения активной мощности одинаковы. На рис. 7.4.1 U — напряжение, приложенное к диэлектрику; сs, rs cр, rp, — емкости и сопротивления образца диэлектрика, определяемые соответственно из последовательной и параллельной схемы замещения; =2f — круговая частота, с-1; I— плотность общего тока, протекающего через диэлектрик, который равен векторной сумме плотностей тока смещения — Iсм, тока абсорбции — Iaбс и тока сквозной проводимости - Iскв.
(
7.4.2)Как было показано в п. 7.3, ток смещения это ток, который связан с мгновенными (упругими) видами поляризации, протекающими без потерь электрической энергии, поэтому он является чисто емкостным током и опережает вектор напряжения на угол, равный 90°.
Ток абсорбции вызван замедленными видами поляризации и имеет как активную I'абс, так и реактивную составляющую I''абс. Активная составляющая тока абсорбции вносят заметный вклад в потери диэлектрика в переменных электрических полях.
Ток сквозной проводимости является активным током и совпадает по направлению с вектором напряжения.
Более детальная векторная диаграмма с указанием токов, протекающих через диэлектрик, и их расположения относительно вектора напряжения для параллельной схемы замещения приведена на рис. 7.4.1, в. Активная и реактивная составляющие общего тока, протекающего через диэлектрик, равны соответственно
Ia = Iскв+ I'aбс
Iр= Iсм + I"aбс (7.4.3)
Угол , дополняющий до 90° угол сдвига фаз между током I и напряжением U в емкостной цепи называют углом диэлектрических потерь. (Для идеального диэлектрика вектор тока опережает вектор напряжения на 90°, и угол диэлектрических потерь равен нулю). Тангенс этого угла, представляющий собой отношение активной Ia, к реактивной Ip составляющей общего тока, протекающего через диэлектрик, т. е.
tg= Ia / Ip (7.4.4)
называют тангенсом угла диэлектрических потерь.
Тангенс угла диэлектрических потерь — важнейший параметр диэлектрических материалов, по величине которого судят о мощности, рассеиваемой в диэлектрике: чем меньше угол сдвига фаз и чем больше угол и его функция tg, тем больше потери в диэлектрике. Большие потери энергии вызывают нагрев диэлектрика и, как следствие, преждевременное разрушение его.
Тангенс угла диэлектрических потерь является безразмерной величиной и зависит лишь от природы материала. Наименьшим значением тангенса утла диэлектрических потерь обладают газообразные диэлектрики, у которых tg8— 10s— 10\ У твердых диэлектриков, применяемых в высокочастотных узлах радиоаппаратуры, tg=(2—5)*10-4; у широко применяемых диэлектриков tg = 0,005—0,003.
Активная мощность потерь, как это следует из теории переменных токов равна
Ра=U*I*соs (7.4.5)
Для параллельной схемы замещения
Ра=U*Ia=U2tg (7.4.6)
где тангенс угла диэлектрических потерь
tg=1/(cprp) (7.4.7)
Д
ля последовательной схемы замещения.Pa=IUa=I2rs=U2 rs/(x2 +r2)= U2 r/[ x2(1+ r2/x2)= U2 cs tg/(1+ tg2) (7.4.8)
Исходя из двух схем замещения, найдем соотношения между cp и cs, rp и rs:
cp= cs/(1+ tg2); rp= rs/(1+1/tg2) (7.4.9)
При малых значениях tg, т.е. для высококачественных диэлектрических материалов, применяемых в радиоэлектронике, можно считать l+tg21. Тогда cpcs=с и выражения для мощности потерь для обеих схем будут одинаковыми;
P=U2 c tg
Чем больше значение tg, тем больше различие между cp и cs и, следовательно, емкость диэлектрика становится условной величиной, зависящей от выбора эквивалентной схемы замещения.
В
радиоэлектронике для упрощения расчетов используют комплексные величины. Плотность тока, протекающего через реальный диэлектрик, с потерями записывают в виде(7.4.10)
г
де комплексная диэлектрическая проницаемость(7.4.11)
П
утем введения понятия комплексной диэлектрической проницаемости реальный диэлектрик, обладающий удельной проводимостью а на частоте . заменяют «идеальным» с проницаемостью вместо действительной величины r. При этом уравнения электродинамики сохраняют свою форму, характерную для диэлектриков без потерь. Действительная составляющая комплексной диэлектрической проницаемости =r, а мнимая
=а/(0)= rtg (7.4.12)
Мнимой составляющей комплексной диэлектрической проницаемости определяют удельные диэлектрические потери при заданном действующем значении напряжения и частоте электрического поля:
P=0E2 (7.4.13)
П
оэтому называют коэффициентом диэлектрических потерь. С учетом вышесказанного можно записать(7.4.14)
7.4.2. Виды диэлектрических потерь
Диэлектрические потери различаются по своей физической природе и механизмам возникновения. К основным видам диэлектрических потерь относятся: потери на электропроводность, потери на поляризацию, ионизационные потери, резонансные потери.
а) Потери на электропроводность
Потери на электропроводность это потери, обусловленные сквозным током проводимости в диэлектрике. Удельные потери на электропроводность равны
P =E2 (7.4.15)
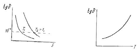
Как видно из (7.4.15), эти потери не зависят от частоты электрического поля, однако тангенс угла диэлектрических потерь, обусловленный сквозной электропроводностью
tgскв=/(0)=1,8*1010/(f) (7.4.16)
о
братно пропорционален частоте (рис. 7.4.2). Следовательно, потери на электропроводность существенны лишь на низких частотах (50—1000Гц).
Рис. 7.4.2 Рис. 7.4.3
Потери на электропроводность и тангенс угла диэлектрических потерь — tgскв, растут с ростом температуры (рис. 7.4.3), что объясняется увеличением электропроводности диэлектрических материалов с ростом температуры: Таким образом, потери на электропроводность ничтожно малы у изоляционных материалов с высоким удельным сопротивлением, а на высоких и сверхвысоких частотах практически у всех материалов. Однако их необходимо учитывать при повышенных температурах, а также при увлажнении материала и при прочих условиях, приводящих к уменьшению сопротивления.
б) Релаксационные потери
Релаксационные потери обусловлены активными составляющими поляризационных токов. Работа, затрачиваемая электрическим током на поляризацию единицы объема диэлектрика
А=∫PdE (7.4.18)
г
де Р — вектор поляризованности. Если поле синусоидально, то работа за период определяется интегралом по замкнутому контуру Р(Е),(7.4.19)
Е
сли время установления поляризации значительно меньше периода изменения электрического поля 1/f, и Р изменяется синхронно с напряженностью электрического поля E, то энергия на поляризацию не затрачивается и A= 0. В случае >1/f поляризация за период не успевает полностью установиться, Р отстает по фазе от Е, и A (см. 7.4.19)>0. Таким образом, на поляризацию затрачивается энергия поля, которая переходит в диэлектрические потери. Наконец, когда >>l/f, поляризация не успевает установиться за полупериод изменения электрического поля, соответственно Р = 0 и A=0. Рассмотрим зависимость тангенса угла диэлектрических потерь от температуры и частоты при некоторых видах поляризации. Характерная зависимость tg от температуры для диэлектриков с дипольно-релаксационным видом поляризации представлена на рис. 7.4.4.
Рис. 7.4.4
Такой же вид имеет зависимость tg = f(). Надо отметить, что с увеличением частоты или температуры максимумы кривых tg=f(T) и tg=f() сместятся в сторону высоких температур или частот, соответственно. Возрастание tg с увеличением температуры объясняется тем, что происходит уменьшение вязкости материала и диполи лучше ориентируются пол влиянием поля. Максимум tg определяется из условия =1/0, где 0 — время релаксации. При увеличении температуры после максимума вязкость уменьшается, и чем больше температура, тем с меньшим «трением» происходит ориентация молекул, и tg уменьшается. С повышением частоты поля потери Р возрастают до тех пор, пока поляризация успевает следовать за изменением поля. Когда же частота настолько велика, что молекулы не успевают полностью ориентироваться в электрическом поле tg падает, потери становятся постоянными и определяются в соответствии с выражением 7.4.9. Релаксационные потери наблюдаются также в диэлектрике с электронно- и ионно-релаксационными механизмами поляризации.
Потери, обусловленные миграционной поляризацией, наблюдаются в материалах со случайными загрязнениями, включениями или с заранее введенными примесями, в некоторых композиционных диэлектриках.
в) Ионизационные потери
Ионизационные потери или потери на частичные разряды наблюдаются в пористых диэлектриках при повышении напряжения сверх величины Uион, называемого порогом ионизации. При U> Uион в воздушных включениях или других дефектах внутри диэлектрика появляются частичные разряды, приводящие к рассеянию энергии.
Для подобного рода диэлектриков характерна зависимость тангенса угла диэлектрических потерь от напряжения, представленная на рис. 7.4.5.















