КИ семинар 13-14 (1077111)
Текст из файла
Занятие 13-14. Числовые ряды. Исследование сходимости знакоположительных рядов. Знакопеременные ряды. Признак Лейбница.
1o. Основные понятия. Числовой ряд
(1) называется сходящимся, если последовательность его частичных сумм
имеет предел при
. Величина
, называется при этом суммой ряда, а число
− остатком ряда. Если предел
не существует, то ряд называется расходящимся.
Если ряд сходится, то
(необходимый признак сходимости).
Обратное утверждение неверно.
Критерий Коши. Для сходимости ряда (1) необходимо и достаточно, чтобы для всякого положительного числа ε можно было подобрать такое N, что при n > N и любом положительном р выполнялось бы неравенство
.
Сходимость или расходимость ряда не нарушится, если прибавить или отбросить конечное число его членов.
2°. Признаки сходимости и расходимости знакоположительных рядов.
а) Признак сравнения I. Если
, начиная с некоторого n = п0, и ряд
(2) сходится, то ряд (1) также сходится. Если ряд (1) расходится, то расходится и ряд (2).
В качестве ряда для сравнения удобно, в частности, выбирать геометрическую прогрессию
, которая сходится при |q| < 1 и расходится при |q| ≥ 1, и гармонический ряд
являющийся рядом расходящимся.
б) Признак сравнения II. Если существует конечный и отличный от нуля предел
(в частности, если
), то ряды (1) и (2) сходятся или расходятся одновременно.
в) Признак Даламбера. Пусть аn > 0 (начиная с некоторого n = п0) и существует предел
. Тогда ряд (1) сходится, если q < 1, и расходится, если q > 1. Если q = 1, то вопрос о сходимости ряда остается открытым.
г) Признак Коши. Пусть ап ≥ 0 (начиная с некоторого п = п0) и существует предел
. Тогда ряд (1) сходится, если q < 1, и расходится, если q > 1. В случае, когда q = 1, вопрос о сходимости ряда остается открытым.
д) Интегральный признак Коши. Если an = f(n), где функция f(х) положительна, монотонно убывает и непрерывна при x ≥ a ≥ 1, то ряд (1) и интеграл
сходятся или расходятся одновременно.
С помощью интегрального признака доказывается, что ряд Дирихле
сходится, если р > 1, и расходится, если р ≤ 1. Сходимость многих рядов можно исследовать при помощи сравнения с соответствующим рядом Дирихле.
3°. Признаки сходимости знакопеременных рядов. Если ряд
(4) составленный из абсолютных величин членов ряда (1), сходится, то ряд (1) также сходится и называется абсолютно сходящимся. Если же ряд (1) сходится, а ряд (4) расходится, то ряд (1) называется условно (неабсолютно) сходящимся.
В общем случае из расходимости ряда (4) не следует расходимость ряда (1). Но если
или
, то расходится не только ряд (4), но и ряд (1).
Признак Лейбница. Если для знакочередуещегося ряда
(bn ≥ 0)
выполнены условия: 1) b1 ≥ b2 ≥ b3 ≥ ...; 2)
, то ряд сходится. Для остатка ряда Rn в этом случае справедлива оценка Rn ≤ bn + 1.
Примечание. Для сходимости знакочередующегося ряда не достаточно, чтобы его общий член стремился к нулю. Признак Лейбница утверждает лишь, что знакочередующийся ряд сходится, если абсолютная величина общего члена ряда стремится к нулю монотонно. Так, например, ряд
расходится, несмотря на то, что его общий член стремится к нулю (монотонность изменения абсолютной величины общего члена здесь, конечно, нарушена). Действительно, здесь
, где
причем
(
− частичная сумма гармонического ряда), в то время как предел
существует и конечен (
− частичная сумма сходящейся геометрической прогрессии), следовательно,
.
С другой стороны, для сходимости знакочередующегося ряда выполнение признака Лейбница не необходимо: знакочередующийся ряд может сходиться, если абсолютная величина его общего члена стремится к нулю не, монотонно. Так, ряд
сходится и притом абсолютно, хотя признак Лейбница и не выполнен: абсолютная величина общего члена ряда хотя и стремится к нулю, но не монотонно.
4o. Ряды с комплексными членами. Ряд с общим членом
(i2 = −1) сходится тогда и только тогда, когда одновременно сходятся ряды с действительными членами
и
. Причем в этом случае
(6). Ряд (6) заведомо сходится и называется абсолютно сходящимся, если сходится ряд
, членами которого являются модули членов ряда (6).
5o. Действия над рядами.
а) Сходящийся ряд можно умножить почленно на любое число k, т. е. если
, то
б) Под суммой (разностью) двух сходящихся рядов
(7) и
(8) понимается соответствующий ряд
в) Произведением рядов двух сходящихся рядов (7) и (8) называется ряд
(9), где
.
Если ряды (7) и (8) сходятся абсолютно, то ряд (9) сходится также абсолютно и имеет сумму, равную
.
г) Если ряд сходится абсолютно, то его сумма не изменяется при перестановке членов ряда. Это свойство, вообще говоря, не имеет места в случае, если ряд сходится неабсолютно.
Задачи. Ауд.: ОЛ-4 гл. 12 § 1: 12.1, 2 9, 19, 21, 23, 24, 31, 32, 33, 40, 41, 49, 50, 12.53 - 12.81 (нечетные), 12.90, 92, 95, 97, 99, 101, 103, 105,
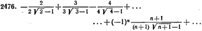
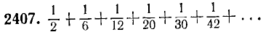
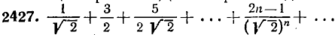
или ОЛ-5: 2403, 2405, 2414, 2418, 2425, 2427, 2422, 2423, 2428, 2429, 2331, 2339, 2441, 2447, 2450, 2452, 2454 – 2456, 2462 – 2468, 2437, 2471, 2472, 2477, 2449, 2480 – 2482, 2471, 2472, 2476, 2477, 2480, 2482, 2495, 2501, 2504.
Написать простейшую формулу n-го члена ряда по указанным членам:
Написать 4−5 общих членов по известному общему члену
Исследовать сходимость рядов, применяя признаки сравнения (или необходимый признак)
С помощью признака Даламбера исследовать сходимость рядов:
С помощью признака Коши исследовать сходимость рядов:
Исследовать сходимость знакоположительных рядов:
Домашнее задание : ОЛ-4 гл. 12 § 1: 12.3, 21, 22, 25, 27, 34, 42, 45, 51, 12.52 - 12.82 (четные), 12.91, 93, 96, 98, 100, 102, 104,
или ОЛ-5: 2407, 2419, 2422, 2426, 2428, 2434, 2451, 2453, 2460, 2461, 2476, 2483, 2484, 2436, 2474, 2476, 2478, 2481, 2496, 2498, 2506.
2483. Убедиться в том, что признак сходимости Даламбера не решает вопроса о сходимости ряда
, где
,
(k = 1, 2, ...), в то время как с помощью признака Коши можно установить, что этот ряд сходится.
2484*. Убедиться в том, что признак Лейбница неприменим к знакочередующимся рядам а) − г). Выяснить, какие из этих рядов расходятся, какие сходятся условно, какие сходятся абсолютно:
2498. Подобрать такие два ряда, чтобы их сумма сходилась, а разность расходилась.
Ответы:
2416. Расходится. 2417. Сходится. 2418. Расходится. 2419. Расходится. 2420. Расходится. 2421. Расходится. 2422. Расходится. 2423. Расходится. 2424. Расходится. 2425. Сходится. 2426. Сходится. 2427. Сходится. 2428. Сходится. 2429. Сходится. 2430. Сходится. 2431. Сходится. 2432. Сходится. 2433. Сходится. 2434. Расходится. 2435. Расходится. 2436. Сходится. 2437. Расходится. 2438. Сходится. 2439. Сходится. 2440. Сходится. 2441. Расходится. 2442. Сходится. 2443. Сходится. 2444. Сходится. 2445. Сходится. 2446. Сходится. 2447. Сходится. 2448. Сходится. 2449. Сходится. 2450. Расходится. 2451. Сходится. 2452. Расходится. 2453. Сходится. 2454. Расходится. 2455. Расходится. 2456. Сходится. 2457. Расходится. 2458. Сходится. 2459. Расходится. 2460. Сходится. 2461. Расходится. 2462. Сходится. 2463. Расходится. 2464. Сходится. 2465. Сходится. 2466. Сходится. 2467. Расходится. 2468. Расходится. Указание.
. 2470. Сходится условно. 2471. Сходится условно. 2472. Сходится абсолютно. 2473. Расходится. 2474. Сходится условно. 2475. Сходится абсолютно. 2476. Сходится условно. 2477. Сходятся абсолютно. 2478. Сходится абсолютно. 2479. Расходится. 2480. Сходится абсолютно. 2481. Сходится условно. 2482. Сходится абсолютно. 2484. а) Расходится; б) сходится абсолютно; в) расходится; г) сходится условно. Указание. В примерах а) и г) рассмотреть
Характеристики
Тип файла документ
Документы такого типа открываются такими программами, как Microsoft Office Word на компьютерах Windows, Apple Pages на компьютерах Mac, Open Office - бесплатная альтернатива на различных платформах, в том числе Linux. Наиболее простым и современным решением будут Google документы, так как открываются онлайн без скачивания прямо в браузере на любой платформе. Существуют российские качественные аналоги, например от Яндекса.
Будьте внимательны на мобильных устройствах, так как там используются упрощённый функционал даже в официальном приложении от Microsoft, поэтому для просмотра скачивайте PDF-версию. А если нужно редактировать файл, то используйте оригинальный файл.
Файлы такого типа обычно разбиты на страницы, а текст может быть форматированным (жирный, курсив, выбор шрифта, таблицы и т.п.), а также в него можно добавлять изображения. Формат идеально подходит для рефератов, докладов и РПЗ курсовых проектов, которые необходимо распечатать. Кстати перед печатью также сохраняйте файл в PDF, так как принтер может начудить со шрифтами.
















