КИ семинар 4 (1077104)
Текст из файла
Занятие 4. Вычисление тройных интегралов.
Пусть в пространстве задана некоторая область V, ограниченная замкнутой поверхностью S. Пусть в области V и на ее границе определена некоторая функция f(x y, z), где x, y, z − прямоугольные координаты точки области.
Выберем произвольное разбиение области V на области Vi (обозначая символом Vi не только саму область, но и ее объем):
В пределах каждой частичной области Vi выберем произвольную точку Pi и обозначим через f(Pi) значение функции f в этой точке. Составим интегральную сумму вида
и будем неограниченно увеличивать число малых областей Vi так, чтобы наибольший диаметр diam Vi стремился к нулю (Диаметром области называется максимальное расстояние между точками, лежащими на границе области).
Определение. Если существует предел интегральных сумм вида (1) при стремлении диаметра разбиения к нулю, и он не зависит от выбора разбиения области V на Vi, то этот предел называют тройным интегралом от функции f по области V, и обозначают его
Вычисление тройного интеграла сводится к последовательному вычислению трех обыкновенных (однократных) интегралов или к вычислению одного двойного и одного однократного.
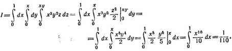
Пример. Вычислить
, где область V определяется неравенствами 0 ≤ x ≤ 1, 0 ≤ y ≤ x, 0 ≤ z ≤ xy.
Решен и е. Имеем
Замена переменных в тройном интеграле. Если в тройном интеграле
от переменных x, у,z требуется перейти к переменным и, и, w, связанным с x, у, z соотношениями
,
,
, где функции
1) непрерывны вместе со своими частными производными 1-го порядка;
2) устанавливают взаимнооднозначное и в обе стороны непрерывное соответствие между точками области интегрирования V пространства OXYZ и точками некоторой области V пространства O'UVW;
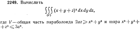
Задачи: ОЛ-4 гл. 8 § 2: 8.108, 111, 112, 116, 119, 121, 124, 127, или ОЛ-5: 2240, 2242, 2245, 2249, 2253, 2255, 2257.
Расставить пределы интегрирования в тройном интеграле для указанных областей V:
2240. V тетраэдр, ограниченный плоскостями x + y + z = 1, x = 0, y = 0, z = 0.
2242. V конус, ограниченный поверхностями
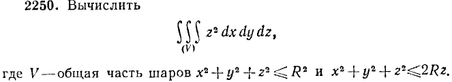
Домашнее задание: ОЛ-4 гл. 8 § 2: 8.109, 113, 115, 118, 120, 126, 128, или ОЛ-5: 2241, 2243, 2247, 2250, 2254, 2256, 2258.
Расставить пределы интегрирования в тройном интеграле для указанных областей V:
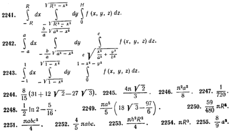
Ответы:
Характеристики
Тип файла документ
Документы такого типа открываются такими программами, как Microsoft Office Word на компьютерах Windows, Apple Pages на компьютерах Mac, Open Office - бесплатная альтернатива на различных платформах, в том числе Linux. Наиболее простым и современным решением будут Google документы, так как открываются онлайн без скачивания прямо в браузере на любой платформе. Существуют российские качественные аналоги, например от Яндекса.
Будьте внимательны на мобильных устройствах, так как там используются упрощённый функционал даже в официальном приложении от Microsoft, поэтому для просмотра скачивайте PDF-версию. А если нужно редактировать файл, то используйте оригинальный файл.
Файлы такого типа обычно разбиты на страницы, а текст может быть форматированным (жирный, курсив, выбор шрифта, таблицы и т.п.), а также в него можно добавлять изображения. Формат идеально подходит для рефератов, докладов и РПЗ курсовых проектов, которые необходимо распечатать. Кстати перед печатью также сохраняйте файл в PDF, так как принтер может начудить со шрифтами.
















