КИ семинар 15 (1077112)
Текст из файла
Занятие 15. Степенные ряды. Разложение функций в степенные ряды.
Область сходимости функционального ряда. Пусть функции fn(z),
, определены в области D. Выражение
называется функциональным рядом. Если для
числовой ряд
сходится, то говорим, что функциональный ряд (1) сходится в точке z0. Если в каждой точке
числовые ряды
сходятся, то ряд (1) называется сходящимся в области D1.
Критерий Коши. Для того чтобы функциональный ряд (1) был сходящимся в области D1 необходимо и достаточно, чтобы для любого ε > 0 и любого
существовало N = N(ε, z) такое, что
для всех n > N(ε, z) и
.
Для определения области абсолютной сходимости функционального ряда (1) следует воспользоваться либо признаком Даламбера, либо признаком Коши. Именно, если
или
, то для определения области абсолютной сходимости ряда (1) следует решить функциональное неравенство l(z) < 1, а для определения области расходимости − функциональное неравенство l(z) > 1. При этом для изучения поведения ряда в граничных точках получаемой области, т. е. в точках, описываемых уравнением l(z) = 1, требуется дополнительное исследование.
Равномерная сходимость. Сходящийся в области D1 функциональный ряд (1) называется равномерно сходящимся в этой области, если для любого ε > 0 найдется N = N(ε) такое, что для остатка ряда (1)
при всех n > N(ε) и
имеет место оценка
.
Критерий Коши равномерной сходимости. Для того чтобы функциональный ряд (1) был равномерно сходящимся в области D1, необходимо и достаточно, чтобы для любого ε > 0 существовало N = N(ε) такое, что для всех n > N(ε) и
, выполнялись неравенства
Признак Вейерштрасса. Пусть функциональный ряд (1) сходится в области D1, и пусть существует сходящийся знакоположительный числовой ряд
такой, что для всех
и для n > N0 члены ряда (1) удовлетворяют условию
. Тогда ряд (1) сходится абсолютно и равномерно в области D1.
Ряд
называется мажорирующим для ряда (1).
Теорема Вейерштрасса. Если члены функционального ряда (1), т. е. функции fn(z), являются аналитическими в области D функциями и в любой замкнутой подобласти
ряд (1) сходится равномерно, то:
а) сумма ряда (1), т. е. функция f(z), является аналитической в области D;
б) ряд (1) можно почленно дифференцировать любое число раз, т. е. справедливы равенства
,
,
(2)
в) в любой замкнутой подобласти
полученные в результате дифференцирования ряды (2) сходятся равномерно.
Область сходимости и свойства степенных рядов. Ряд
называется степенным по степеням (z − z0). В частности, ряд
является степенным по степеням z. С помощью замены z − z0 = Z ряд (3) сводится к ряду (4).
Теорема Абеля. Если степенной ряд (4) сходится в точке z = z1 ≠ 0, то он абсолютно сходится для всех z таких, что |z| < |z1|, причем сходимость будет равномерной в любом замкнутом круге |z| ≤r < |z1|.
Если же ряд (2) расходится в точке z = z2, то он расходится и для всех z таких, что |z| > |z2|.
Из теоремы Абеля следует, что областью сходимости степенного ряда является круг с центром в начале координат (с центром в точке z0), радиус которого может быть определен применением либо признака Даламбера, либо признака Коши, т. е. из условий
Отсюда для вычисления радиуса R круга сходимости получаем соотношения
Разложение функции в ряд Тейлора. Функция f(z), аналитическая в круге |z − z0| < R, однозначно представима в этом круге своим рядом Тейлора
коэффициенты которого определяются по формулам
Следствие. Если функция f(z) аналитична в области D и
, то в круге |z − z0| < R(z0, D), где R(z0, D) − наименьшее расстояние от точки z0 до границы области D или до ближайшей точки z', в которой f(z) не аналитична, f(z) может быть представлена в виде степенного ряда
коэффициенты которого определяются по формулам
Если z0 = 0, то ряд Тейлора называют также рядом Маклорена.
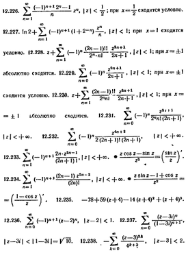
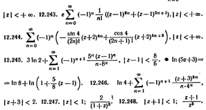
Задачи: ОЛ-4, гл.12 § 3: 12.165, 169, 171, 173, 175, 177, 183, 185, 216, 218, 224, 226, 231, 243, 245, 246.
Найти области абсолютной сходимости и области равномерной сходимости следующих рядов (
), заменяя в этих рядах (кроме 12.179, 12.181, 12.187—12.189) z на
, исследовать их на абсолютную и равномерную сходимость.
Используя разложения основных элементарных функций, а также возможность почленного дифференцирования и интегрирования степенных рядов, разложить функции в ряд по степеням z и указать области сходимости полученных рядов:
12.224. sin 2z + 2z cos 2z. 12.231.
.
Разложить функции в ряд по степеням z − z0 и определить области сходимости полученных рядов:
.
Домашнее задание: ОЛ-4, гл.12 § 3: 12.176, 178, 184, 193, 196, 200, 209, 207, 217, 219, 221, 222, 227, 230, 232, 238, 245.
ответы 12.126. Расходится во всех точках. 12.128.
сходимость всюду абсолютная. 12.129.
сходится абсолютно при
. 12.130.
сходимость всюду абсолютная. 12.165. Сходится абсолютно и равномерно в области
.
Характеристики
Тип файла документ
Документы такого типа открываются такими программами, как Microsoft Office Word на компьютерах Windows, Apple Pages на компьютерах Mac, Open Office - бесплатная альтернатива на различных платформах, в том числе Linux. Наиболее простым и современным решением будут Google документы, так как открываются онлайн без скачивания прямо в браузере на любой платформе. Существуют российские качественные аналоги, например от Яндекса.
Будьте внимательны на мобильных устройствах, так как там используются упрощённый функционал даже в официальном приложении от Microsoft, поэтому для просмотра скачивайте PDF-версию. А если нужно редактировать файл, то используйте оригинальный файл.
Файлы такого типа обычно разбиты на страницы, а текст может быть форматированным (жирный, курсив, выбор шрифта, таблицы и т.п.), а также в него можно добавлять изображения. Формат идеально подходит для рефератов, докладов и РПЗ курсовых проектов, которые необходимо распечатать. Кстати перед печатью также сохраняйте файл в PDF, так как принтер может начудить со шрифтами.
















