КИ семинар 11 (1077110)
Текст из файла
Занятие 11. Дивергенция и ротор векторного поля. Теорема Гаусса-Остроградского. Теорема Стокса. Циркуляция.
Дивергенция и вихрь. Дивергенцией векторного поля G(Р) = Pi + Qj + Rk называется скаляр
. Вихрем векторного поля G(Р) называется вектор
Если S − замкнутая гладкая поверхность, ограничивающая область V, а Р = Р(х, у, z). Q = Q(х, у, z), R = R(x, у, z) − функции, непрерывные вместе со своими частными производными 1-го порядка в замкнутой области V, то имеет место формула Остроградского−Гаусса
где
,
,
− направляющие косинусы внешней нормали к поверхности S.
Поток вектор G. Потоком векторного поля G(Р) через поверхность S в сторону, определяемую единичным вектором нормали n = (
,
,
) к поверхности S, называется интеграл
Формулу Гаусса-Остроградского можно записать так (Если S − замкнутая поверхность, ограничивающая область V, а n − единичный вектор внешней нормали к поверхности S)
Циркуляция вектора; работа поля. Линейный интеграл от вектора G по кривой С определяется формулой
и представляет собой работу поля G вдоль кривой С (Gs − проекция вектора G на касательную к С).
Если кривая С − замкнутая, то линейный интеграл (1) называется цирку-ляцией векторного поля а вдоль контура С.
Если замкнутая кривая С ограничивает двустороннюю поверхность S, то справедлива формула Стокса, которая в векторной форме имеет вид
где n − вектор нормали к поверхности S, направление которого должно быть выбрано так, чтобы для наблюдателя, смотрящего по направлению n, обход контура С совершался в правой системе координат против хода часовой стрелки. Еще один вид формулы Стокса:
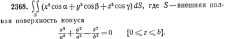
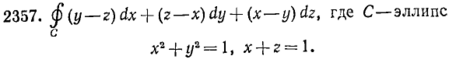
Задачи. ОЛ-4 гл. 10 § 3: 10.95, 103, 105, 108, 102, 110, 119, 121, 116, или ОЛ-5: 2361, 2365, 2367, 2369, 2355, 2356, 2360.
Домашнее задание: ОЛ-4 гл. 10 § 3: 10.96, 99, 104, 109, 111, 114, 117, 118,
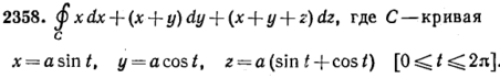
или ОЛ-5: 2362 2364, 2366, 2368, 2370, 2357, 2358, 2359.
С помощью формулы ОстроградскогоГаусса вычислить следующие поверхностные интегралы:
Применяя формулу Стокса, найти данные интегралы и проверить результаты непосредственным вычислением:
Ответы:
Характеристики
Тип файла документ
Документы такого типа открываются такими программами, как Microsoft Office Word на компьютерах Windows, Apple Pages на компьютерах Mac, Open Office - бесплатная альтернатива на различных платформах, в том числе Linux. Наиболее простым и современным решением будут Google документы, так как открываются онлайн без скачивания прямо в браузере на любой платформе. Существуют российские качественные аналоги, например от Яндекса.
Будьте внимательны на мобильных устройствах, так как там используются упрощённый функционал даже в официальном приложении от Microsoft, поэтому для просмотра скачивайте PDF-версию. А если нужно редактировать файл, то используйте оригинальный файл.
Файлы такого типа обычно разбиты на страницы, а текст может быть форматированным (жирный, курсив, выбор шрифта, таблицы и т.п.), а также в него можно добавлять изображения. Формат идеально подходит для рефератов, докладов и РПЗ курсовых проектов, которые необходимо распечатать. Кстати перед печатью также сохраняйте файл в PDF, так как принтер может начудить со шрифтами.
















