12 ¦СTо¦ВтАв¦- (930123)
Текст из файла
Билет 12
Две случайные величины
и
называются независимыми, если для всех
, (3.8) т. е. если для всех
события
и
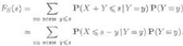
независимы. Н апомним два метода определения распределения суммы независимых случайных величин . Рассмотрим сначала сумму двух случайных величин , S = X + Y, выборочное пространство которых изображено на рис. 3.1.
Рис. 2.3.1. Событие
Прямая X + Y = s и область, находящаяся под этой прямой, представляют собой событие
. Поэтому функция распределения с.в. S имеет вид
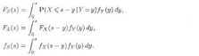
(3.1) Для двух дискретных неотрицательных случайных величин мы можем воспользоваться формулой полной вероятности и записать (3.1) в виде
(3.2)Если X и Y независимы , последняя сумма может быть переписана в виде
(3.3)Функция вероятностей, соответствующая этой функции распределения , может быть найдена по формуле
(3.4)Для непрерывных неотрицательных случайных величин формулы, соответствующие формулам (3.2), (3.3) и (3.4), имеют вид
Когда либо одна, либо обе случайные величины X и Y имеют распределение смешанного типа (что характерно для моделей индивидуальных рисков), формулы аналогичны, но более громоздки. Для случайных величин , которые могут принимать также отрицательные значения, суммы и интегралы в приведенных формулах берутся по всем значениям у от
до
.
В теории вероятностей операция в формулах (3.3) и (3.6) называется сверткой двух функций распределения Fx(x) и Fy(y) и обозначается через Fx(x)*Fy(y). Операция свертки может также быть определена для пары функций вероятностей или функций плотности с помощью формул (3.4) и (3.7).Свёртка функций f1(x)и f2(x), функция
С. ф. f1(x) и f2(x) обозначают f1*f2. Если f1 и f2 являются плотностями вероятности независимых случайных величин Х и Y, то f1*f2 есть плотность вероятности случайной величины Х+Y. Если Fk (x) - Фурье преобразование функции fk (х), то есть
то F1(x) F2(x) является преобразованием Фурье функции f1*f2. Это свойство С. ф. находит важные приложения в теории вероятностей (см. Характеристическая функция). Аналогичным свойством обладает С. ф. и относительно Лапласа преобразования, что находит широкие приложения в операционном исчислении. Операция свёртывания функций перестановочна и сочетательна, то если f1*f2=f2*f1 и f1*(f2*f3)=(f1*f2)*f3. Поэтому её можно рассматривать как вид умножения функций, что даёт возможность применить к изучению С. ф. теорию нормированных колец.
Свойства оценок. Состоятельные оценки. Несмещенные оценки. Для установления качества оценки используют три основные свойства и рассматривают несмещенные оценки, состоятельные оценки и эффективные оценки. Для того, чтобы определить эти свойства, необходимо предварительно ввести понятие статистики. Под статистикой
будем понимать функцию от выборки
случайной величины
. Следует отметить, что функция
сама является случайной величиной. Если статистика
позволяет оценить некоторую характеристику
случайной величины
, то говорят, что статистика
оценивает
. Например, статистика, оценивающая дисперсию случайной величины имеет вид:
. Статистика
называется несмещенной оценкой параметра
, если математическое ожидание оценки равняется оцениваемому параметру:
Статистика
называется эффективной оценкой параметра
, если среднеквадратическая ошибка данной оценки является наименьшей среди всех возможных оценок:
Статистика
называется состоятельной оценкой параметра параметра
, если с ростом размера выборки оценка стремиться по вероятности к оцениваемому параметру:
при любом сколь угодно малом
Несмещённая оценка, оценка параметра распределения вероятностей по наблюдённым значениям, лишённая систематической ошибки. Более точно: если оцениваемое распределение зависит от параметров q1, q2,..., qs, то функция qi* (x1, x2,..., xn) от результатов наблюдения x1, x2,..., xn называемых Н. о. для параметра qi, если при любых допустимых значениях параметров q1, q2,..., qs математическое ожидание Е qi* (x1, x2,..., xn) = qi,. Например, если. x1, x2,..., xn суть результаты n независимых наблюдений случайной величины, имеющей нормальное распределение
с неизвестными а (математическое ожидание) и s2 (дисперсия), то среднее арифметическое
будет Н. о. для а. Часто используемая для оценки эмпирической дисперсии
не является несмещенной оценкой. Н. о. для s2 служит
величина Н. о. квадратичного отклонения s имеет более сложное выражение
Оценка (1) для математического ожидания и оценка (2) для дисперсии являются Н. о. и при распределениях, отличных от нормального; оценка (3) для квадратичного отклонения, вообще говоря (при распределениях, отличных от нормального), может быть смещенной. Использование Н. о. необходимо при оценке неизвестного параметра по большому числу серий наблюдений, каждая из которых состоит из небольшого числа наблюдений. Пусть, например, имеется k серий xi1, xi2,×××, xin (i = 1, 2, ×××, k) по n наблюдений в каждой и пусть si - несмещенная оценка s2 для s2, составленная по i-й серии наблюдений. Тогда при большом k в силу закона больших чисел
даже когда n невелико. Н. о. играют важную роль в статистическом контроле массовой продукции.
Характеристики
Тип файла документ
Документы такого типа открываются такими программами, как Microsoft Office Word на компьютерах Windows, Apple Pages на компьютерах Mac, Open Office - бесплатная альтернатива на различных платформах, в том числе Linux. Наиболее простым и современным решением будут Google документы, так как открываются онлайн без скачивания прямо в браузере на любой платформе. Существуют российские качественные аналоги, например от Яндекса.
Будьте внимательны на мобильных устройствах, так как там используются упрощённый функционал даже в официальном приложении от Microsoft, поэтому для просмотра скачивайте PDF-версию. А если нужно редактировать файл, то используйте оригинальный файл.
Файлы такого типа обычно разбиты на страницы, а текст может быть форматированным (жирный, курсив, выбор шрифта, таблицы и т.п.), а также в него можно добавлять изображения. Формат идеально подходит для рефератов, докладов и РПЗ курсовых проектов, которые необходимо распечатать. Кстати перед печатью также сохраняйте файл в PDF, так как принтер может начудить со шрифтами.















