Uchebnoe_posobie_dlya_vypolenia_DZ_po_TK M_Misha_15_04_2014 (769665), страница 8
Текст из файла (страница 8)
Литейные уклоны стенок отливок при литье в металлические формы
Формовочные уклоны на чертеже отливки наносят сплошной тонкой линией, углы наклона указывают в градусах.
Следует помнить, что величины формовочных уклонов, приведенные в таблицах 3.5 и 3.6, на чертеже детали не указывают и вычерчивают деталь без уклонов, за исключением чертежей крупногабаритных отливок, где целесообразно указывать уклоны или же предпочтительнее предусматривать конструктивные уклоны (1:5, 1:10, 1: 20, 1:50), превышающие формовочные уклоны (в этом случае формовочные уклоны не выполняют).
3.6 Расчет закруглений между пересекающимися поверхностями
Галтели – это скругления внутренних и внешних углов при переходе одной поверхности модели к другой. Галтели уменьшают вероятность осыпания формовочной смеси в углах формы при извлечении модели, улучшают качество отливок, Рис 3.3 Галтели отливки
способствуют равномерному охлаждению отливки, отсутствию образования трещин и утяжин при затвердевании отливки.
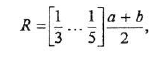
В общем случае радиусы скруглений R (рис.3.4) подсчитывают в соответствии с соотношением:
где a+b – толщины сопрягаемых или пересекающихся стенок отливки, мм; коэффициенты принимают равными 1/3, если (a+b)/2<50 мм; 1/5, если (a+b)/2>50 мм.
Радиусы скругления назначают как ближайшее значение из следующего ряда чисел:
1, 2, 3, 5, 8, 10, 15, 20, …, 40, 50, 60 и т.д.
В условиях крупносерийного и массового производств после нанесения припусков на механическую обработку, формовочных уклонов и радиусов скруглений вычерчивают чертеж отливки, который используют при контроле размеров отливок и разработке чертежей оснастки (пресс-форм и т.п.).
3.7 Выбор припуска на усадку
При затвердевании и охлаждении отливки в литейной форме ее габаритные размеры уменьшаются. Это необходимо учитывать при изготовлении модельного комплекта, кокилей и пресс-форм, увеличивая все их размеры на величину литейной усадки.
Величина литейной усадки зависит от литейных свойств сплава (литейная свободная усадка сплава), степени торможения усадки со стороны литейной формы (податливость формы) и отдельных частей отливки, сложности конструкции отливки, скорости охлаждения отливки в форме и т.д. Литейную усадку компенсируют, увеличивая размеры при изготовлении модельного комплекта и металлических форм (кокиль, пресс-форма). Эти размеры контролируют с помощью усадочного метра, каждая единица длины которого больше эталонной на величину усадки (0,75; 1; 1,25; 1,5; 1,75; 2; 2,25; 2,5 %).
Для упрощения технологии изготовления отливки следует принимать литейную усадку: для стали 2%, для чугуна 1%, для алюминиевых сплавов 0,9…1,5% для магниевых сплавов 1,5…1,7%.
Разработанный чертеж элементов литейной формы используют при изготовлении модельного комплекта и сборке разовых форм, а также при изготовлении многократно используемых форм (кокиль, пресс-форма).
3.8 Обеспечение технологичности конструкции отливки проектируемой детали.
При конструировании технологичной отливки с точки зрения ее формы и размеров следует стремиться к упрощению как наружных, так и внутренних поверхностей. Толщина стенок и конструктивные уклоны должны устанавливаться в зависимости от их назначения, механических и технологических свойств материала, а также общих принципов конструирования отливок. Желательно, чтобы габаритные размеры заготовки были минимальными, особенно по высоте, так как в противном случае затрудняется процесс изготовления формы.
Конструкция отливки должна позволять изготовление литейной формы с минимальным числом разъемов. Конфигурация и расположение стержней в форме предполагают свободный выход газов из стержней, количество которых должно быть минимальным (рис.3.4).
2
Для получения плотных отливок необходимо обеспечить их надежное питание и направленное затвердевание отливки, которое должно проходить последовательно по всему объему отливки без образования в ней замкнутых объемов с расплавом. Направленность затвердевания определяют способом вписанных окружностей. Это способ состоит в том, что в рассматриваемое сечение отливки вписывают окружности в различных точках (рис.3.5). Узлы 1 с окружностями наименьшего диаметра будут затвердевать первыми, затем узел 2 и в последнюю очередь узел 4. В ходе затвердевания в узлах 2 и 4 неизбежно появятся усадочные дефекты (усадочные раковины и пористость) из-за затвердевания изолированных объемов расплава. Для предупреждения появления усадочной раковины в узле 2 необходимо увеличить толщину стенки отливки за счет напуска 3, а для узла 4 предусмотреть прибыль 5. Прибыли на отливках имеют технологическое значение, поэтому в конце процесса изготовления заготовки их удаляют.
Плавный переход от тонких сечений к толстым и правильное сопряжение стенок позволяют получить качественную отливку без литейных дефектов и коробления стенок. При любом сопряжении стенок различной толщины их соотношение не должно превышать S/S1 4.
Получение заготовок без усадочных дефектов может быть достигнуто за счет одновременного их затвердевания. В этом случае конструкция отливок должна иметь равномерную толщину стенок с плавными переходами. Принцип одновременного затвердевания применяют при конструировании мелких и средних тонкостенных отливок из чугуна и других сплавов.
Для уменьшения скопления металла в местах пересечения ребер следует избегать их крестообразного пересечения. Более технологичным является шахматное и сотообразное расположение ребер. Такая конструкция обеспечивает наиболее равномерное распределение остаточных напряжений как в процессе остывания отливки, так и во время эксплуатации. Однако в этом случае заготовки сложнее и дороже в изготовлении.
Д
ля снижения усадочных термических напряжений и вероятности трещинообразования следует обеспечить свободную усадку отливки и избегать формирования термических узлов. Они возникают в тех местах, где пересекаются тепловые потоки, идущие от поверхности отливки в форму (рис.3.6, а). Для улучшения теплоотвода в этой части отливки изменяют конструкцию термического узла (рис.3.6, б) или устанавливают усадочные ребра, которые охлаждаются быстрее и упрочняют эту зону (рис.3.7).
Рис.3.7. Пример конструкции усадочного ребра
С целью предотвращения образования газовых раковин в отливке необходимо обеспечить возможность плавного заполнения формы металлом таким образом, чтобы воздух и газы выходили из нее полностью и свободно. Для этого необходимо при конструировании детали предусмотреть соответствующее количество окон и полостей, соединяющихся друг с другом.
Детали большой протяженности следует проектировать с равномерными по толщине стенками, при этом конструкция должна быть по возможности симметричной и достаточно жесткой. Следует избегать протяженных плоских поверхностей, придавая им изогнутую форму (рис.3.8).
Пример
1.Анализ исходных данных и выбор марки материала детали, приведенной на рис.1:
При выборе марки материала отливки, необходимо учесть условия эксплуатации детали, а именно: высокую температуру и химическую агрессивность среды, низкие механические нагрузки.
По литейным и эксплуатационным свойствам для изготовления отливки целесообразно рассматривать возможность применения следующих марок материалов: высокопрочный чугун ВЧ60 и сталь 25Л.
По сравнению со сталью 25, чугун имеет:
- лучшие литейные свойства
- более высокий предел прочности
- более высокую жаропрочность
В свою очередь, сталь 25Л обладает более высокой пластичностью.
Однако, на основе проведённого анализа, выше изложенных данных, а также учитывая производственную программу (крупносерийное производство, до 10000 шт. в год), является целесообразным для изготовления отливки «ступица» применить высокопрочный чугун марки ВЧ60.
Наиболее ответственная поверхность детали – внутренняя, с шероховатостью Ra=1.25 мкм, т.е. большинство поверхностей заготовки подвергаются механической обработке резанием.
Наибольший габаритный размер детали составляет 205 мм.
2.Выбор способа получения заготовки
Для принятия решения о выборе способа литья приведем матрицу влияния факторов. (Материал ВЧ60, выпуск 10000 деталей, масса 9.126 кг, минимальная толщина стенки 15 мм, повышенные требования к точности внутренней поверхности).
| Способ получения отливки | Фактор | |||||
| Литье в песчаные формы | Литье в оболочковые формы | Литье по выплавляемым моделям | Литье в кокиль | Литье под давлением | Центробежное литье | |
| Расположение отливки в одной полуформе | 0 | 0 | 0 | 0 | Для цветных металлов и сплавов | 0 |
| Плоский разъем формы | 1 | 1 | 1 | 1 | 1 | |
| Количество разъемов формы | 1 | 1 | 1 | 1 | 1 | |
| Отсутствие выступающих частей, мешающих извлечению отливки из формы | 1 | 1 | 1 | 1 | 1 | |
| Отсутствие больших углублений | 1 | 1 | 1 | 1 | 1 | |
| Расположение обрабатываемых поверхностей на одном уровне | 0 | 0 | 0 | 0 | 0 | |
| Удобство простановки и надежность крепления стержней в форме | 1 | 1 | 1 | 1 | 1 | |
| Обеспочение минимально допустимой толщины стенок | 1 | 1 | 1 | 1 | 1 | |
| Наличие оптимальных размеров между сопрягаемыми стенками литой детали | 1 | 1 | 1 | 1 | 1 | |
| Отсутствие тонких пов-тей большой протяженности | 1 | 1 | 1 | 1 | 1 | |
| Форма и размеры заготовки | 1 | 0 | 0 | 0 | 0 | |
| Требуемая точность и состояние поверхностного слоя | 0 | 1 | 1 | 1 | 1 | |
| Технологические свойства материала | 0 | 0 | 0 | 0 | 0 | |
| Годовая продукция выпуска | 1 | 1 | 0 | 0 | 0 | |
| Производственные возможности предприятия | 1 | 1 | 1 | 1 | 1 | |
| Сумма коэффициентов | 11 | 11 | 10 | 10 | 0 | 10 |
Анализ формы, размеров и массы детали, требуемой точности и состояния поверхностей, технологических свойств материала и годовой программы ее изготовления показал, что получение данной детали целесообразно либо литьем в песчаные, либо в оболочковые формы.
Проведем более подробный анализ способов литья в песчаные и оболочковые формы
| Показатель | Литье в песчаные формы | Литье в оболочковые формы | ||||
| +/- | Сумм. | Целесообразность | +/- | Сумм. | ||
| Материал отливки | ВЧ 60 | + | 6 | ВЧ 60 | + | 5 |
| Максимальная масса отливок, кг | 200 000 | + | 150 | + | ||
| Максимальный размер | Неогранич. | + | 1500 | + | ||
| Толщина стенок, мм Min Max | 3.0 Неогранич. | + | 2,0 12 | - | ||
| Класс точности отливок | 9-13 | - | 6-11 | - | ||
| Шероховатость поверхности Ra, мкм | 80…20 | - | 40…10 | + | ||
| Минимальный припуск на механическую обработку (на сторону), мм. | 0.3…6.0 | + | 0.4…2 | + | ||
| Относительная себестоимость 1 т отливок, отн. ед. | 1.0 | + | 1.5…2.0 | - | ||
| Экономичная оправданная серийность, шт./год | Неогранич | + | 200…10000 | + | ||
На основе уточненного анализа технологичности выбираем способ литье в песчаные формы.
50>
















