Пономарев-цветков (1320299), страница 2
Текст из файла (страница 2)
Рис. 2. Структурная схема системы управления
МКП - микроконтроллер
БП - блок питания
МСУ - микропроцессорная система управления
ПЕРВИЧНОЕ ОПИСАНИЕ АЛГОРИТМА ФУНКЦИОНИРОВАНИЯ СТАНКА И ПРОМЫШЛЕННОГО РОБОТА В ВИДЕ ГРАФА ОПЕРАЦИЙ
В графе операций используются вершины двух типов, изображаемых кружками (позиции) и прямоугольниками (переходы), стрелками соединяются только вершины разного типа. В позиции графа помещаются метки (маркеры, точки), которые перемещаются из одних позиций в другие по определенным правилам, отображая динамику управляемого процесса. Размещение точек в позициях в каждый момент времени называется маркировкой графа; при задании графа всегда фиксируется его начальная маркировка.
Изменение маркировки (перемещение точек из позиции в позицию) происходит в результате выполнения (срабатывания) переходов, с каждым из которых сопоставлено некоторое внешнее событие. Переход срабатывает, если во всех его входных позициях (из которых ведут стрелки в переход) есть точки и, кроме того, наступает внешнее событие. При срабатывании перехода из каждой его входной позиции удаляется точка, а в каждую выходную позицию (в которую ведет стрелка из перехода) точка вносится.
При использовании графа операций как динамической модели функционирования, позиции соответствуют технологическим операциям, реализуемым в объекте управления, а переходы - событиям, определяющим смену операций. Попадание точки в позицию означает начало операции, а ее удаление из позиции - конец операции. Таким образом, операция протекает во времени, а переходы срабатывают мгновенно.
Позиции графа помечены функциями (конъюнкциями) сигналов на исполнительные механизмы и органы индикации объекта управления, а переходы функциями (конъюнкциями) сигналов от датчиков и органов управления.
На рис. 3 приведен граф, отображающий работу системы по загрузке детали на стол резьбонарезного станка, обработке детали на станке, выгрузке детали со стола резьбонарезного станка. Перечень сигналов дан в табл. 1, содержание операций, соответствующее позициям графа, указано в табл. 3.
СИСТЕМА СЕКВЕНЦИЙ (СС), ЭКВИВАЛЕНТНАЯ ГРАФУ (РИС. 3)
Согласно графу операций работы системы секвенциальные выражения для каждого перехода t данной системы будут иметь вид:
Рис. 4
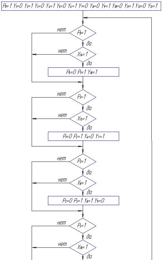
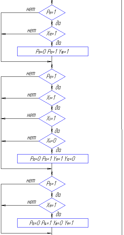
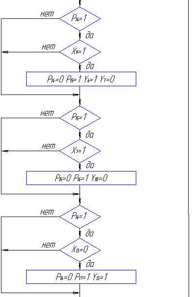
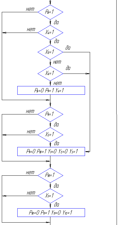
ГРАФ-СХЕМА АЛГОРИТМОВ (ГСА), ЭКВИВАЛЕНТНАЯ СС НА РИС. 4
Рис. 5
ПРОГРАММА В СИСТЕМЕ КОМАНД МИКРОКОНТРОЛЛЕРА МКП-1 РЕАЛИЗУЮЩАЯ ЗАДАННЫЙ АЛГОРИТМ УПРАВЛЕНИЯ ОБЪЕКТОМ
| Адрес | Команда | Описание команды | Действия РТК | Поз. |
| 000 | 2601 | активизация счетчика 1 | включение системы | Р0 |
| 001 | 0611 | выключение нагрузки Y1 | ||
| 002 | 0512 | включение нагрузки Y2 | ||
| 003 | 0613 | выключение нагрузки Y3 | ||
| 004 | 0514 | включение нагрузки Y4 | ||
| 005 | 0615 | выключение нагрузки Y5 | ||
| 006 | 0616 | включение нагрузки Y6 | ||
| 007 | 0617 | выключение нагрузки Y7 | ||
| 008 | 0618 | выключение нагрузки Y8 | ||
| 009 | 0519 | включение нагрузки Y9 | ||
| 00А | 061A | выключение нагрузки Y10 | ||
| 00B | 051B | включение нагрузки Y11 | ||
| 00C | 061C | выключение нагрузки Y12 | ||
| 00D | 051D | включение нагрузки Y13 | ||
| 00E | 040E | проверка датчика X4 на наличие сигнала | ||
| 00F | 0B00 | переход на адрес 000, если БУ = 0 | ||
| 010 | 2602 | активизация счетчика 2 | ||
| 011 | 051A | включение нагрузки Y10 | зажим схвата руки робота | P1 |
| 012 | 040D | проверка датчика X13 на наличие сигнала | ||
| 013 | 0B10 | переход на адрес 010, если БУ = 0 | ||
| 014 | 2603 | активизация счетчика 3 | ||
| 016 | 0616 | выключение нагрузки Y6 | подъем руки робота | P2 |
| 017 | 0517 | включение нагрузки Y7 | ||
| 018 | 0408 | проверка датчика X8 на наличие сигнала | ||
| 019 | 0B14 | переход на адрес 014, если БУ = 0 | ||
| 01А | 2604 | активизация счетчика 4 | ||
| 01В | 0518 | включение нагрузки Y8 | выдвижение руки робота | P3 |
| 01С | 0619 | выключение нагрузки Y9 | ||
| 01D | 040A | проверка датчика X10 на наличие сигнала | ||
| 01Е | 0B1A | переход на адрес 01A, если БУ = 0 | ||
| 01F | 2605 | активизация счетчика 5 | ||
| 020 | 061B | выключение нагрузки Y11 | поворот руки робота вправо | P4 |
| 021 | 051C | включение нагрузки Y12 | ||
| 022 | 040C | проверка датчика X12 на наличие сигнала | ||
| 023 | 0B1F | переход на адрес 01F, если БУ = 0 | ||
| 024 | 2606 | активизация счетчика 6 | ||
| 025 | 061A | включение нагрузки Y10 | разжим схвата руки робота | P5 |
| 026 | 030D | проверка датчика X13 на отсутствие сигнала | ||
| 027 | 0B24 | переход на адрес 024, если БУ = 0 | ||
| 028 | 0404 | проверка датчика X4 на наличие сигнала | ||
| 029 | 0B24 | переход на адрес 024, если БУ = 0 | ||
| 02A | 2601 | активизация счетчика 1 | ||
| 02B | 2800 | запись в счетчик «0» | ||
| 02C | 0511 | включение нагрузки Y1 | запуск мотора станка | P6 |
| 02D | 051B | включение нагрузки Y11 | P7 | |
| 02E | 061C | выключение нагрузки Y12 | ||
| 02F | 040B | проверка датчика X11 на наличие сигнала | ||
| 030 | 0B2A | переход на адрес 02A, если БУ = 0 | ||
| 031 | 0512 | включение нагрузки Y2 | спуск инструмента станка | P8 |
| 032 | 0613 | выключение нагрузки Y3 | ||
| 033 | 0402 | проверка датчика X2 на наличие сигнала | ||
| 034 | 0B31 | переход на адрес 031, если БУ = 0 | ||
| 035 | 0405 | проверка датчика X5 на наличие сигнала | ||
| 036 | 0A3C | переход на адрес 03C, если БУ = 1 | ||
| 037 | 0406 | проверка датчика X6 на наличие сигнала | ||
| 038 | 0A3C | переход на адрес 03C, если БУ = 1 | ||
| 039 | 0514 | включение нагрузки Y4 | переход к отрезанию следующей детали | P9 |
| 03A | 0403 | проверка датчика X3 на наличие сигнала | ||
| 03B | 0B39 | переход на адрес 039, если БУ = 0 | ||
| 03C | 0611 | выключение нагрузки Y1 | подъем инструмента | P10 |
| 03D | 0612 | выключение нагрузки Y2 | ||
| 03E | 0513 | включение нагрузки Y3 | остановка двигателя | |
| 03F | 0401 | проверка датчика X1 на наличие сигнала | ||
| 040 | 0B3C | переход на адрес 03C, если БУ = 0 | ||
| 041 | 060B | выключение нагрузки Y11 | поворот руки робота вправо | P11 |
| 042 | 051C | включение нагрузки Y12 | ||
| 043 | 040C | проверка датчика X12 на наличие сигнала | ||
| 044 | 0B41 | переход на адрес 041, если БУ = 0 | ||
| 045 | 051A | включение нагрузки Y10 | зажим схвата робота | P12 |
| 046 | 0401 | проверка датчика X1 на наличие сигнала | ||
| 047 | 0B45 | переход на адрес 045, если БУ = 0 | ||
| 048 | 0403 | проверка датчика X3 на наличие сигнала | ||
| 049 | 0B45 | переход на адрес 045, если БУ = 0 | ||
| 04A | 0304 | проверка датчика X1 на отсутствие сигнала | ||
| 04B | 0B45 | переход на адрес 045, если БУ = 0 | ||
| 04C | 051B | включение нагрузки Y11 | поворот руки робота влево | P13 |
| 04D | 061C | выключение нагрузки Y12 | ||
| 04E | 040B | проверка датчика X11 на наличие сигнала | ||
| 04F | 0B4C | переход на адрес 04C, если БУ = 0 | ||
| 050 | 0618 | выключение нагрузки Y8 | задвижение руки робота | P14 |
| 051 | 0519 | включение нагрузки Y9 | ||
| 052 | 0409 | проверка датчика X9 на наличие сигнала | ||
| 053 | 0B50 | переход на адрес 050, если БУ = 0 | ||
| 054 | 0516 | включение нагрузки Y6 | опускание руки робота | P15 |
| 055 | 0617 | выключение нагрузки Y7 | ||
| 056 | 0407 | проверка датчика X7 на наличие сигнала | ||
| 057 | 0B54 | переход на адрес 054, если БУ = 0 | ||
| 058 | 061A | выключение нагрузки Y10 | разжим схвата робота | P16 |
| 059 | 030D | проверка датчика X13 на наличие сигнала | ||
| 05A | 0B58 | переход на адрес 058, если БУ = 0 | ||
| 05B | 051D | включение нагрузки Y13 | переход в исходное состояние | P17 |
| 05C | 040F | проверка датчика X15 на наличие сигнала | ||
| 05D | 0B5B | переход на адрес 05B, если БУ = 0 | ||
| 05E | 0910 | безусловный переход на адрес 010 |
ЭФФЕКТИВНОСТЬ ПРОГРАММНОЙ РЕАЛИЗАЦИИ
















