2.6.4. Вероятностный метод планирования ИП (1086612), страница 2
Текст из файла (страница 2)
в) «разработка маршрутной технологии изготовления нового кузова»
В сетевом графике это изображено так, как показано на рис.(в).
Если в предыдущих случаях для начала какой-либо работы а не нужно ждать совершения события (например, событие 5 на рис.(г)), а можно ограничиться промежуточным результатом, то он должен быть представлен в виде самостоятельного события (4) и работа а должна начаться от него. Например, закончив технологическое проектирование по какому-либо из агрегатов машин, иногда не обязательно нужно ждать окончания всего проекта машины, для того чтобы начать рабочее проектирование. Оно должно быть начато немедленно после совершения события «технический проект агрегата закончен». Если, например, для начала какой-либо работы д нужно знать только результаты двух работ б и в, а результат работы а не нужен, то в сети нельзя это изображать так, как показано на рис.(д). Необходимо ввести дополнительное событие 4 (рис.(е)) и фиктивную связь с ранее существовавшим событием.
Довольно часто в практике графического изображения планов необходимо бывает показать две или насколько параллельно выполняемых работ между двумя событиями (например, параллельно выполняемые работы по изготовлению штампованных или листовых заготовок). В сетевых графиках ни в коем случае нельзя изображать их так, как показано на рис.(з).
Попробуем закодировать эти две параллельно выполняемые работы. И в этом, и в других случаях шифр будет 6,8. Даже при ручной обработке данного сетевого графика трудно разобраться в том, одна или две работы подразумеваются под этим индексом. А ведь характерным для сетевых методов планирования является широкое использование ЭВМ для обработки сетей с числом работ более 1000-1500. Они, естественно, не могут разобраться по условному шифру (6,8), который мы пошлем в машину, что в нем подразумеваются две работы, а не одна. Поэтому в сеть необходимо вводить дополнительное событие 7 и фиктивную работу 7,8 для обозначения двух параллельно ведущихся работ (рис. (и)). Тогда в машину будут посланы по одной работе шифр 6,8, а по другой – 6,7 и 7,8.
Нумерация событий
В сетевых графиках, сшиваемых каждым ответственным исполнителем, желательно соблюдать последовательность в нумерации событий от исходного к завершающему, причем исходному событию часто присваивается нулевой номер.
Сетевые графики, построенные таким образом, чтобы для каждой из работ выполнялось i < j где i – индекс начального, а j – конечного события, значительно удобней для анализа и проведения расчетов.
Отборка таких графиков на ЭВМ требует значительно меньших затрат времени вследствие уменьшения объема вычислительных работ при расчете параметров сети, а также вследствие сокращения времени обращения к внешней памяти. Нумерацию событий можно получить, используя метод вычеркивания дуг. Он позволяет распределить все события сети по рангам.
Понятие ранга вводится для того, чтобы объединить в отдельные группы события по признаку одинакового максимального числа дуг путей, соединяющих данное событие с исходным. События, сгруппированные по рангам, легко пронумеровать таким образом, чтобы для любой работы номер начального события был меньше номера конечного события.
Метод вычеркивания дуг состоит в следующем. Прежде всего отыскивается событие, не имеющие ни одной входящей дуги, ему присваивается ранг «0». Затем на графике вычеркиваются все дуги выходящие из события с рангом «0». В результате одно или несколько событий могут оказаться без входящих дуг. Всем им присваивается ранг «1», т.е. их называют событиями 1-го ранга. Для любого из этих событий максимальное число дуг пути, соединяющих их с событием нулевого ранга, равно единице. После вычеркивания всех дуг, выходящих из события 1-го ранга, получают вновь некоторое количество событий без входящих дуг. Их называют событиями 2-го ранга. Характерным признаком событий второго ранга является то, что максимальное число дуг путей, соединяющих эти события с событием нулевого уровня равно двум.
Вообще событию присваивается ранг i, если максимальное число дуг пути, соединяющего данное событие с событием нулевого ранга, равно i.
В сетях с небольшим числом событий, строящихся ответственным исполнителем, применяют порядковую систему нумерации с учетом распределения событий по рангам. Однако сетевые методы освоения эффективны в разработках, в которых участвуют многие ответственные исполнители, организации и предприятия, когда количество событий исчисляется тысячами и десятками тысяч. В этом случае обычная порядковая нумерация оказывается непригодной, т.к. она меняется при объединении сетей, включении в сеть событий, пропущенных по ошибке при ее составлении или выявившихся уже в процессе выполнения комплекса работ.
Поэтому в сложных сетях для нумерации событий применяют определенный, например, девяти разрядный код.
Таким образом для нумерации событий внутри каждой сети, закрепленной за ответственным исполнителем, сохраняется порядковая система нумерации. При этом способе нумерации ясно, к какой организации и в каком отделе (под руководством какого ответственного исполнителя) выполняется работа для свершения события. При необходимости включения новых событий в комплекс работ, закрепленным за данным ответственным исполнителем, им присваиваются очередные порядковые номера в пределах последних трех цифр.
Проверка правильности построения элементов сетевых графиков
При построении сетевых графиков требуется большое внимание. Поскольку в графике увязаны в единую сеть все работы и события, неправильное изображение даже отдельных работ может привести к серьезным ошибкам в последующих расчетах.
Поэтому после предварительного построения (или, как говорят, «сшивания ») сети необходимо тщательно проверить все ее элементы и выявить все ошибки, которые могут возникнуть при «сшивании ». Рассмотрим некоторые наиболее характерные из ошибок.
Работы имеют одинаковые шифры, т.е. начальное и конечное события у них одинаковы. Такая ошибка характерна при изображении в модели двух или большего числа параллельно ведущихся работ (работа 3,8). В этом случае надо ввести промежуточное событие и фиктивную работу так, как показано на рис.(и).
В сети не должно быть тупиковых событий, например, событие 2, т.е. событий, от которых не начинается ни одна работа (естественно за исключением завершающего события всего комплекса работ). Наличие в сети таких тупиков показывает, что допущена явная ошибка при построении сети или данное событие, а следовательно, и предшествующие ему работы никому не нужны и никак не влияют на выполнение конечной цели – свершения завершающего события сети.
В сети не должно быть так называемых «хвостовых » событий (событие 4), т.е. событий, которым не предшествует ни одна работа, за исключением исходного события сети. Выявленные «хвостовые» события нам говорят либо о том, что совершена случайная ошибка при построении сетевой модели, либо о том, что работы, которые должны быть выполнены для совершения данного события, не имеют исполнителей. Их необходимо предусмотреть, работы включить в сеть, проверив, конечно, необходимость свершения такого «хвостового» события.
Необходимо проверить сеть на наличие в ней замкнутых контуров (циклов), т.е. путей, которые соединяют начальное событие с ним же самим (путь 3,5,6,7,3). Это легко выявить по направлению стрелок, показывающих последовательность работ. В этом случае направление стрелок приведет нас к событию, от которого мы начали проверку. Для выявления циклов в небольших сетях может быть применен метод вычеркивания дуг.
Выявление ошибок 2–4 видов может быть проведено ЭВМ. Для чего имеются соответствующие алгоритмы проверок.
Предварительное и исходное планирование
Функционирование системы СПУ в режиме исходного планирования
Сетевое планирование осуществляется в два последовательно проводимых этапа:
-
составление исходного плана;
-
оперативное управление ходом выполнения работ.
Первый этап сетевого планирования – составление исходного плана - содержит следующий перечень работ, проводимых в основном последовательно:
-
Определение структуры разработки, числа уровней руководства, назначение руководителей и ответственных исполнителей, установление директивного срока;
-
Выявление и описание ответственными исполнителями всех событий и работ, необходимых для выполнения запланированного им задания;
-
Определение ответственными исполнителями времени выполнения каждой работы;
-
Составление («сшивание ») первичных сетей ответственными исполнителями, частных и комплексных сетей – службами СПУ;
-
Определение параметров сетевого графика;
-
Анализ сетей и их оптимизация;
-
Утверждение показателей исходного плана и доведение их до исполнителей.
Структура разработки в системах СПУ
При планировании сетевыми методами прежде всего надо расчленить весь комплекс работ по данному проекту на составные части, каждая из которых закрепляется за определенным руководителем или ответственным исполнителем. Ответственные исполнители в системе СПУ – специалисты, осуществляющие руководство по отдельным небольшим комплексам работ и несущие за них персональную ответственность.
Для распределения функций и обязанностей между руководителями различных рангов расчленение всего комплекса работ может быть проведено двумя путями:
-
построение укрупненной сети;
-
составление иерархической структуры системы.
В первом случае система делится на подсистемы, изделия, блоки, механизмы, агрегаты, узлы и на основе этого деления строится укрупненный сетевой график. Составление сетевых графиков на узлы, механизмы, небольшие комплексы работ поручается ответственным исполнителям.
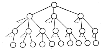
Во втором случае число уровней руководства устанавливается путем построения иерархической структуры системы («дерева системы », пирамидальной схемы). Схематично это можно представить себе в виде дерева, перевернутого кроной вниз, где каждая новая ответвляющаяся ветка характеризует собой дальнейшую детализацию работ.
Например, при планировании подготовки производства какого-либо изделия, соответствующими уровнями могут быть:
1-й высший уровень – управление всей технической подготовкой производства;
2-й уровень – конструкторская, технологическая, материальная подготовка;
3-й уровень – этапы конструкторской, технологической, материальной подготовки производства;
4-й уровень – отдельные комплексы работ по каждому этапу подготовки производства.
Руководство технической
















