билет11-25 (1080658)
Текст из файла
11)
Нормальное уравнение прямой, его получение из общего. Геом толкование входящих в уравн параметров.
З
аметим, что коэффициенты уравнения
(*). определены с точностью до пропорциональности. Умножив все коэффициенты на одно и то же не равное нулю число, мы получим новое уравнение, но оно будет задавать ту же плоскость. Если потребовать, чтобы вектор нормали
, имел единичную длину, т.е.
, то он будет определен однозначно (с точностью до знака). Запишем теперь уравнение плоскости в таком виде:
. Этот вид уравнения плоскости называют нормированным. Выясним геометрический смысл коэффициента
. Если точка
лежит в плоскости
, то из равенства
следует, что
. Так как вектор
имеет единичную длину, то
. Значит,
- это проекция любого радиус-вектора точки, лежащей на плоскости.
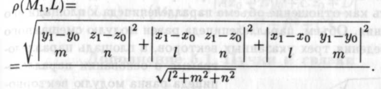
Расстояние от точки до прямой
Расстояние от точки до прямой. Расстояние от точки M1{x1,y1,z1) до прямой L, заданной каноническими уравнениями
может быть вычислено при помощи векторного произведения. Действительно, канонические уравнения прямой дают нам точку М0(х0; уо; z0) на прямой и направляющий вектор s = {l; m; п} этой прямой. Построим параллелограмм на векторах
s и М0М1. тогда расстояние от точки M1 до прямой L будет равно высоте h параллелограмма (рис. 5.12). Значит, нужное расстояние может быть вычислено по формуле
где числитель представляет собой площадь этого параллелограмма. Используя формулы вычисления длины вектора и векторного произведения векторов через их координаты, получаем
Б)понятии обратной матрицы, доказательство единственности обр-й матр.
Утверждение Если обратная матрица существует, то она единственна. Иначе, если АВ = ВА = Е и АС = СА = Е, то В = С.
Доказательство:
12)
Доказать что любое уравн 1-й степени – плоскость
Зафиксируем декартову прямоугольную систему координат. Рассмотрим произвольное уравнение первой степени
(*). Заметим, что хотя бы один из коэффициентов
не равен нулю (иначе это уравнение имело бы нулевую степень). Тогда уравнение (*) имеет хотя бы одно решение
, т.е. существует хотя бы одна точка, координаты которой удовлетворяют уравнению (*):
(**).Вычтем из уравнения (*) уравнение (**):
(***).Уравнение (***) эквивалентно уравнению (*), т.е. если координаты точки удовлетворяют уравнению (*), то они удовлетворяют уравнению (***), и наоборот. Обозначим
вектор с координатами
. Пусть
- плоскость, проходящая через точку
и перпендикулярная вектору
. Если точка
лежит в плоскости
, то вектор
перпендикулярен вектору
, скалярное произведение этих векторов равно 0. Тогда координаты точки
удовлетворяют уравнению (***) и, следовательно, уравнению (*). Если же точка
не лежит в плоскости
, то векторы
и
не перпендикулярны, и скалярное произведение этих векторов не равно 0. Значит, в этом случае координаты точки
не удовлетворяют уравнению (***) и уравнению (*).Пусть теперь дана произвольная плоскость. Выберем вектор
, перпендикулярный этой плоскости, и произвольную точку
, лежащую в этой плоскости. Если
произвольная точка плоскости, то векторы
и
перпендикулярны, их скалярное произведение равно 0. Тогда координаты точки удовлетворяют уравнению (***) и, следовательно, уравнению (*), являющимся уравнением первой степени.
Утверждение. Произвольная плоскость в пространстве определяется уравнением первой степени. Обратно, любое уравнение первой степени определяет в пространстве плоскость.
Нормальный вектор
Вектор направленный перпендикулярно к плоскости.
Ур-е плоскости через 3 точки
П
оставим задачу: написать уравнение плоскости, проходящей через три данные точки, не лежащие на одной прямой. Пусть эти точки заданы своими координатами:
.
Так как эти точки не лежат на одной прямой, то векторы
и
не коллинеарны. Тогда точка
принадлежит той же плоскости, что и точки
, тогда и только тогда, когда векторы
,
,
компланарны. Это условие равносильно равенству нулю смешанного произведения этих векторов:
. Это уравнение является уравнением первой степени и дает нам искомое уравнение плоскости.
Уравнение плоскости в отрезках
Общее уравнение плоскости (*) называется полным, если все коэффициенты
отличны от нуля. В противном случае оно называется неполным. Неполные уравнения задают плоскость, проходящую через начало координат, параллельную какой-либо координатной оси или параллельную какой-либо координатной плоскости. Все эти случаи несложно рассмотреть.
Мы же рассмотрим полное уравнение плоскости. Так как все коэффициенты общего уравнения отличны от нуля, его можно переписать в виде:
, где
. Этот вид уравнения плоскости называется уравнением плоскости в отрезках. Коэффициенты
имеют прозрачный геометрический смысл: это длины отрезков, которые плоскость отсекает на координатных осях. Чтобы увидеть это, надо найти точки пересечения плоскости с координатными осями. Например, чтобы найти точку пересечения плоскости с осью
, надо в уравнении плоскости в отрезках положить
. Мы сразу же получим
. Остальные точки пересечения находятся аналогично.
Б) Присоединенная матрица
Поставим сначала матрицу из алгебраических дополнений:
. Затем транспонируем эту матрицу: Получившаяся матрица
называется присоединенной.
Критерий существ обр матр и ее связь с присоед
Мы уже заметили, что если определитель матрицы равен нулю, то она не имеет обратной. Оказывается, что если определитель матрицы не равен нулю, то она имеет обратную матрицу. Мы сейчас ее построим. Составим сначала матрицу из алгебраических дополнений:
. Затем транспонируем эту матрицу:. Получившаяся матрица
называется присоединенной. Умножим
на
:
,так как
. Тогда
.
13)
А) Общее уравнение плоскости. Усл парал и перпендик 2 плоск.
Ax+By+Cz+D=0
Парал: Условие параллельности двух плоскостей сводится к вопросу о коллинеарности векторов нормали плоскости параллельны тогда и только тогда, когда координаты векторов нормали пропорциональны.
Перпендик: Две плоскости перпендикулярны тогда и только тогда, когда перпендикулярны их нормали, т.е. скалярное произведение векторов нормали равно нулю.
Вычисление угла между плоск: Пусть заданы две плоскости своими общими уравнениями: пи1 A1x+B1y+C1z+D1=0, пи2 A2x+B2y+C2z+D2=0. Очевидно, что вопрос о нахождении угла между плоскостями сводится к нахождению угла межд у их нормалями:
Cos(β)= (n1n2)/| n1|| n2|=( A1 A2 +B1 B2+ C1C2)/(√ A12+ B12+ С12)(√ A22+ B22+ С22) .
Уравнение плоскости проходящие через 3 точки
П
оставим задачу: написать уравнение плоскости, проходящей через три данные точки, не лежащие на одной прямой. Пусть эти точки заданы своими координатами:
.
Так как эти точки не лежат на одной прямой, то векторы
и
не коллинеарны. Тогда точка
принадлежит той же плоскости, что и точки
, тогда и только тогда, когда векторы
,
,
компланарны. Это условие равносильно равенству нулю смешанного произведения этих векторов:
. Это уравнение является уравнением первой степени и дает нам искомое уравнение плоскости.
Б) Решение матр уравнений вида AX=B.
AX=B
2 способа, при помощи обратной матрицы, и при помощи элементарных преобразований.
-
Обр матр. A(A-1 B) =B т.е. B=B; X= A-1. A-1(AX)= A-1B т.е. (A-1A)X= X
-
X=(A|B) в результате (1|X);
Вывод формулы Крамера
Пусть АХ = В - система линейных уравнений с квадратной матрицей коэффициентов, причем определитель матрицы
не равен нулю. Тогда решением такой системы являются значения неизвестных
, где
, а
- определитель матрицы, получившейся из матрицы
заменой i-го столбца на столбец правых частей. Покажем, что набор чисел
действительно является решением системы. Так как матрица А невырождена, то существует обратная матрица А-1. Умножим обе части равенства АХ = В слева на А-1, получим:
. Заметим, что i-я компонента получившегося вектор-столбца - это разложение определителя
по -му столбцу. Значит,
. Несмотря на привлекательность формулировки, практическое значение правила Крамера невелико: чтобы найти решение системы с
неизвестными, приходится вычислять
определитель
-го порядка. Это оправдано при
или
.
14)
Понятие нормального вектора
Уравнение Ax+By+Cz+D=0 называют общим уравнением плоскости. Коэффициенты при неизвестных в этом уравнении имеют наглядный геометрический смысл: Вектор n{A;B;C} перпендикулярен к плоскости.
Вывод формулы расстояние от точки ло плоскости
Рассмотрим в пространстве нектор точку K(x(k);y(k);z(k)) лежащую вне плоскости, и точку М(x(m);y(m);z(m)), которая лежит на данной плоскости, а так же вектор нормали N к заданной плоскости проходящий через точку М. Тогда расстояние будет определяться по формуле ПР(n)MK; Ax(m)+By(m)+Cz(m)+D=0; MK={x-x;y-y;z-z}
=> расстояние будет вычисляться (А(x(k)-x(m))+ B(y(k)-y(m))+ C(z(k)-z(m)))/sqrt(A^2+B^2+C^2) После раскрытия скобок и приведения подобных получаем (Ax(k)+By(k)+Cz(k))/ sqrt(A^2+B^2+C^2)
Б) Линейная зависимость и лин не зав-ть векторов (док во лин зав -ти)
Определение Векторы а1,... ап называют линейно зависимыми, если существует такой набор коэффициентов а1,.....an, Что равенство 1
Характеристики
Тип файла документ
Документы такого типа открываются такими программами, как Microsoft Office Word на компьютерах Windows, Apple Pages на компьютерах Mac, Open Office - бесплатная альтернатива на различных платформах, в том числе Linux. Наиболее простым и современным решением будут Google документы, так как открываются онлайн без скачивания прямо в браузере на любой платформе. Существуют российские качественные аналоги, например от Яндекса.
Будьте внимательны на мобильных устройствах, так как там используются упрощённый функционал даже в официальном приложении от Microsoft, поэтому для просмотра скачивайте PDF-версию. А если нужно редактировать файл, то используйте оригинальный файл.
Файлы такого типа обычно разбиты на страницы, а текст может быть форматированным (жирный, курсив, выбор шрифта, таблицы и т.п.), а также в него можно добавлять изображения. Формат идеально подходит для рефератов, докладов и РПЗ курсовых проектов, которые необходимо распечатать. Кстати перед печатью также сохраняйте файл в PDF, так как принтер может начудить со шрифтами.
















