Билет6 (1080644)
Текст из файла
Билет№6
ОПР. Смешанным произведением трех векторов называют число равное (axb)c – скалярному произведению векторного произведения первых двух векторов и третьего вектора.
Св-ва.: 1) правило циклической перестановки: (axb)c=(bxc)a=(cxa)b= - (bxa)c= - (cxb)a= - (axc)b 2)Три вектора компланарны тогда и только тогда, когда их смешанное произведение равно 0. 3)св-во ассоциативности: (λa)bc=λ(abc) 4)св-во дистрибутивности: (a1+a2)bc=a1*bc+a2*bc
Обьем параллелепипеда и пирамиды:
-
Смешанное произведение трех некомпланарных векторов abc равно объему параллелепипеда, построенного на этих векторах как на ребрах, выходящих из одной вершины,взятого со знаком плюс, если тройка – правая, и со знаком минус, если тройка – левая. abc=Sпарe
-
Смешанное произведение трех некомпланарных векторов abc/6 равно объему пирамиды, построенной на этих векторах как на ребрах, выходящих из одной вершины,взятого со знаком плюс, если тройка – правая, и со знаком минус, если тройка – левая. Abc/6=Sпирe
В
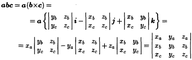
ывод. Пусть a,b,c заданы своими координатами в правом ортонормированном базисе. Найдем их смешанное произведение.:
Согласно полученной формуле свойство 2) смешанного произведения можно сформулировать так: необходимым и достаточным усл. Компланарности трех векторов, заданных в ортонормированном базисе, явл равенство нулю определителя третьего порядка, строками которого явл координаты этих векторов.
ОПР. Рангом матрицы называют число которое равно максимальному порядку среди ее ненулевых миноров. (RgA)
Т Кронекера-Капелли (критерий совместности системы линейных алгебраических уравнений): Система линейных алгебраических уравнений совместна тогда и только тогда, когда ранг основной матрицы равен рангу расширенной матрицы
ДОК НЕОБХОДИМОСТЬ:Отметим что ранг матрицы А СЛАУ Ax=b не превосходит ранг расширенной матрицы (A|b) поэтому нам достаточно доказать что ранг этой матрицы не меньше ранга расширенной. Если система совместна,то записывая ее в векторной форме, делаем вывод, что значение неизвстных x1,…,xn такие, что x1a1+…+xnan=b, где ai – столбцы матрицы А, b – столбец свободных членов. Следовательно, столбец b является линейной комбинацией столбцов матрицы A. Выберем какой-л. Базисный минор матрицы А.
С
огласно теореме о базисном миноре, базисные столбцы линейно зависимы, в то время как для каждого j>k существуют такие
Поэтому столбец :
Является линейной комбинацией базисных столбцов матрицы А. => М явл. Базисным минором и в расширенной матрице. Поэтому Rg(A|b)=RgA.
ДОСТАТОЧНОСТЬ:Пусть Rg(A|b)=RgA. Возьмем в матрице A базисный минор М(как и выше). Так как rgB = r, то он же и будет базисным минором и матрицы B. Тогда согласно теореме о базисном миноре последний столбец матрицы B будет линейной комбинацией базисных столбцов, то есть столбцов матрицы A. Следовательно, столбец свободных членов системы является линейной комбинацией столбцов матрицы A. Это означает совместность системы.
Характеристики
Тип файла документ
Документы такого типа открываются такими программами, как Microsoft Office Word на компьютерах Windows, Apple Pages на компьютерах Mac, Open Office - бесплатная альтернатива на различных платформах, в том числе Linux. Наиболее простым и современным решением будут Google документы, так как открываются онлайн без скачивания прямо в браузере на любой платформе. Существуют российские качественные аналоги, например от Яндекса.
Будьте внимательны на мобильных устройствах, так как там используются упрощённый функционал даже в официальном приложении от Microsoft, поэтому для просмотра скачивайте PDF-версию. А если нужно редактировать файл, то используйте оригинальный файл.
Файлы такого типа обычно разбиты на страницы, а текст может быть форматированным (жирный, курсив, выбор шрифта, таблицы и т.п.), а также в него можно добавлять изображения. Формат идеально подходит для рефератов, докладов и РПЗ курсовых проектов, которые необходимо распечатать. Кстати перед печатью также сохраняйте файл в PDF, так как принтер может начудить со шрифтами.
















