Билет5 (1080642)
Текст из файла
Билет№5
ОПР.Упорядоченную тройку некомпланарных векторов a,b,c называют правой, если направление вектора a совмещается с направлением вектора b при помощи кратчайшего поворота вектора а в плосоксти этих векторов, который со стороны вектора с совершается против часовой стрелки. В противном случае (поворот по часовой стрелке) эту тройку называют левой
ОПР.Векторным произведением векторов a и b называют такой вектор с, который удовл. след. усл.:1)вектор с ортогонален векторам а и b 2)длина вектора с равна |c|=|a||b|sin(a^b) 3)упорядоченная тройка векторов a,b,c явл. Правой
Св-ва векторного произведения: 1) два вектора коллинеарны если их векторное произведение равняется 0 2)если два вектора неколлинеарны то, то модуль их векторного произведения равен площади параллелограмма построенного на этих векторах 3) если два ненулевых вектора ортогональны, для геометрического построения их векторного произведения достаточно совместить их начала в плоскости, перпендикулярной второму вектору, повернуть первый вектор на 900 вокруг второго по часовой стрелке, а затем умножить повернутый вектор на число = длине второго вектора. 4) пусть п – плосоксть перпенд. вектору b, тогда a x b = (прпa)x b 5) св-во антикоммутативности a x b= - b x a 6)св-во асоциативности (λa)xb=λ(axb) 7)св-во дистрибутивности (a+b)xc=axc+bxc
Вывод
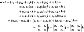
Рассмотрим 2 вектора a и b, заданных своими координатами в правом ортонормированном базисе i,j,k: a={xa;ya;za}, b={xb;yb;zb}Тогда имеют место разложения этих векторов
a=xai+yai+zak, b=xbi+ybi+zbk
Форсула похожа на формулу разлоэения определителя 3 порядка, ее можно записать в виде:
ОПР. ФСР - любой набор из k=n-r линейно независимых столбцов, являющихся решениями однородной системы СЛАУ Ax=0, где n – кол-во неизвестных, r – ранг матрицы А.
!Т! Пусть дана однородная СЛАУ Ax=0 c n неизвестными и RgA=r.Тогда существует набор из k-n-r решений x(1)….x(k) этой СЛАУ, образующих ФСР
ДОК.Пусть базисный минор сосредоточен в верхнем левом углу, тогда остальные строки матрицы, согласно теореме о базисном миноре, явл. Линейными комбинациями базисных строк. Значит если x1,…,xn удовлетворяют первым r уравнениям, то они удовл. остальным. Отбросим все Ур-ия начиная с (r+1)-го, сделав это получим систему:
Преобразуем и получим
Если мы зададим произвольные значения независимых неизвестных, то относительно базисных получим квадратную СЛАУ с невырожденной матрицей, решение которой существует и единственно. Таким образом, любое решение однородной СЛАУ однозначно опр значениями независимых неизвестных. Рассмотрим следующие k-n-r серий независимых неизветсных
З
десь номер серии указан верхним индексом в скобках, а сами серии значений выписаны в виде столбцов. В каждой серии x(i)r+j=1 если j=i, и x(i)r+j=0 если j!=i
Далее i-й серии значений независимых неизветсных однозначно соответствуют значения зависимых неизвестных.Значения независимых и зависимых неизвестных в савокупности дают решение системы.
Покажем что столбцы
о
бразуют ФСР. Так как эти столбцы по построению явл решениями однор сист
Ax=0 и их кол-во равно k, то, в соответсвии с опр ФСР, остается доказать линейную независимость решений. Пусть есть некоторая линейная комбинация решений равная нулевому столбцу
Тогда левая часть этого арвенства явл. Столбцом, компоненты которого с номерами r+1,…,n равны нулю. Но (r+1)-я компонента равна α11.(r+2)-я равна α2 и,
наконец k-я компонента равна αk , Поэтому α1=…= αk=0 что означает линейную независимость решений!
С
ледствие. С помощью нормальной ФСР однородной СЛАУ множество всех решений можно описать формулой где постоянные принимают произвольные значения.
Следствие.Для существования ненулевого решения у однородной квадратной СЛАУ необходимо и достаточно, чтобы ее матрица была вырождена. (т.е. чтобы ее определитель был равен 0)
Построенная при доказательстве теоремы ФСР имеет специальный вид, поскольку все крое одного значения независимых неизвестных равны, нулю.Такие ФСР наз. Нормальными!
Характеристики
Тип файла документ
Документы такого типа открываются такими программами, как Microsoft Office Word на компьютерах Windows, Apple Pages на компьютерах Mac, Open Office - бесплатная альтернатива на различных платформах, в том числе Linux. Наиболее простым и современным решением будут Google документы, так как открываются онлайн без скачивания прямо в браузере на любой платформе. Существуют российские качественные аналоги, например от Яндекса.
Будьте внимательны на мобильных устройствах, так как там используются упрощённый функционал даже в официальном приложении от Microsoft, поэтому для просмотра скачивайте PDF-версию. А если нужно редактировать файл, то используйте оригинальный файл.
Файлы такого типа обычно разбиты на страницы, а текст может быть форматированным (жирный, курсив, выбор шрифта, таблицы и т.п.), а также в него можно добавлять изображения. Формат идеально подходит для рефератов, докладов и РПЗ курсовых проектов, которые необходимо распечатать. Кстати перед печатью также сохраняйте файл в PDF, так как принтер может начудить со шрифтами.
















