Для студентов МГТУ им. Н.Э.Баумана по предмету Теория вероятностей и математическая статистика (ТВиМС)Типовой расчет Распределение вероятностейТиповой расчет Распределение вероятностей
5,0059
2025-06-142025-06-15СтудИзба
ДЗ: Типовой расчет Распределение вероятностей вариант 14
Описание
Задачи 7-10 для типового расчета по Теории вероятности и математической статистике
Вариант 14
Преподаватель - Ветров
Условия:
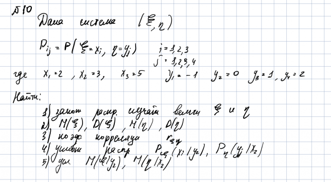
![]()
Вариант 14
Преподаватель - Ветров
Условия:




Характеристики домашнего задания
Учебное заведение
Вариант
Программы
Просмотров
8
Качество
Скан рукописных листов
Размер
4,59 Mb
Список файлов
Типовик 7-10 задачи РК теорвер В14.pdf