Для студентов МГТУ им. Н.Э.Баумана по предмету ФизикаДинамика материальной точки + Динамика вращательного движенияДинамика материальной точки + Динамика вращательного движения
5,00522
2022-03-212024-09-03СтудИзба
ДЗ 1: Динамика материальной точки + Динамика вращательного движения вариант 8
-70%
Описание
Вариант 8 - ДЗ №1 + ДЗ №2 - Динамика материальной точки - Динамика вращательного движения
Зачтено на максимальный балл 💥💥💥
Спасибо за покупку 🥰🥰🥰
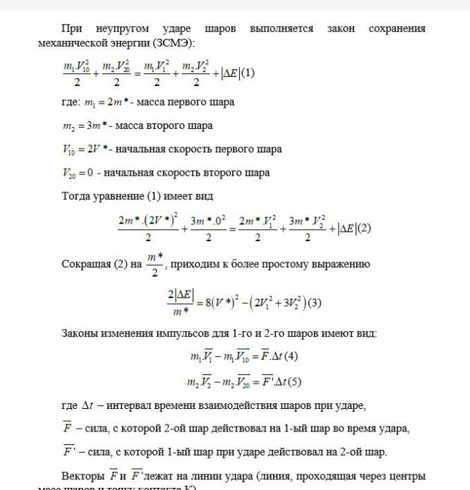
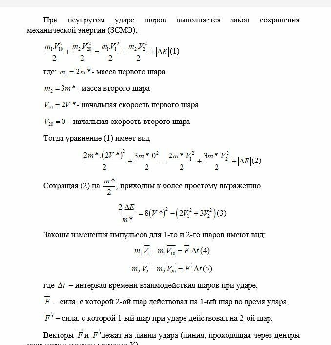
Условие:
Пример решения





Вариант 8 - ДЗ №2 - Динамика вращательного движения



Другие обозначения:
l1 – расстояние от верхнего конца стержня до точки контакта;
ω0 – угловая скорость стержня сразу после удара о ребро преграды;
V0m – минимальная горизонтальная скорость стержня, а ω0m – соответственно минимальная угловая скорость стержня, при которой он после удара способен коснуться горизонтальной поверхности преграды;
φm – максимальный угол поворота стержня после удара;
ωК – угловая скорость стержня в момент его удара о горизонтальную поверхность преграды.
Расчет следует начинать с определения характерной скорости V0m
Характеристики домашнего задания
Предмет
Учебное заведение
Семестр
Номер задания
Вариант
Программы
Просмотров
1036
Качество
Идеальное компьютерное
Размер
195,86 Kb
Список файлов
Вариант 8 - ДЗ №1+2
Дз1-Вариант8-задача1.docx
Условие Вариант 1-10- задача 1.docx
Физика1-ДЗ1-задача2.2-вариант8.doc

Друзья, спасибо за доверие! Если вам понравилась работа – поставьте 5⭐ и напишите отзыв. Это поможет другим студентам, а мне даст силы делать ещё больше качественных материалов для вас 🔥