Тема 15 Занятие 1 (555861)
Текст из файла
МОСКОВСКИЙ ГОСУДАРСТВЕННЫЙ АВИАЦИОННЫЙ ИНСТИТУТ (ТЕХНИЧЕСКИЙ УНИВЕРСИТЕТ)
Факультет военного обучения
Экз.№ УТВЕРЖДАЮ:
Начальник кафедры №2
Полковник В. Фролов
« » 2000г.
МАТЕРИАЛЫ К ГРУППОВОМУ ЗАНЯТИЮ Курс Д-21 «Авиационные двигатели»
по теме №15
«Системы топливопитания и автоматического управления подачей
топлива в двигатели»
Занятие 1
для студентов 4 курсов, факультетов №1, 2, «Стрела», «Ухтомское»
Учебное время 2 часа
Составил: пол-к Фролов В.А. Редактировал: пол-к Луценко В.Н.
Тираж 5 экз.
Рассмотрено на заседании кафедры
Протокол № от 2000г.
Москва 2000г.
ТЕМА 15:
Системы топливопитания и автоматического управления
подачей топлива в двигатели.
Цель: Изучить программы регулирования, эксплуатационные ограничения авиационных ГТД. Общую характеристику двигателя РД-33-2С, как объекта автоматического управления и программу управления двигателем РД-33-2С на режимах «М», «ПФ», «МФ», «РПТ», «МГ» и «Крейсерских режимах».
Занятие №1: ГТД, как объект автоматического управления.
Цель: Изучить программы регулирования, эксплуатационные ограничения авиационных ГТД и общую характеристику двигателя РД-33-2С, как объекта автоматического управления.
Учебные вопросы:
-
Программы регулирования авиационных ГТД.
-
Эксплуатационные ограничения авиационных ГТД.
-
ГТД, как объект автоматического управления.
1. Программы регулирования авиационных ГТД.
В процессе эксплуатации авиационный двигатель работает в широком диапазоне режимов, при этом изменяются параметры рабочего процесса и основные параметры двигателя - тяга и удельный расход топлива.
Задачей регулирования авиационного двигателя является поддержание в различных условиях полёта таких значений параметров процесса и к.п.д. отдельных элементов, которые обеспечили бы наивыгоднейшее для данного летательного аппарата протекание характеристик двигателя и всей силовой установки. Вместе с тем, должна обеспечиваться устойчивая работа двигателя на всех режимах и исключаться возможность появления механических и тепловых перегрузок в отдельных его элементах.
Тяга и удельный расход топлива определяются заданием основных
параметров процесса π*κ (или частоты вращения n), Т*г и Т*ф. Эти параметры в процессе регулирования поддерживаются постоянными или изменяются по определённому закону и называются регулируемыми параметрами Значение регулируемых параметров контролируется с помощью регулирующих факторов, основными из которых являются GT, FKР, Gт.ф.
Каждым регулирующим фактором можно изменять любой регулируемый параметр, но одним регулирующим фактором можно независимо воздействовать только на один регулируемый параметр.
Поэтому число регулирующих факторов должно соответствовать числу регулируемых параметров.
В современных ТРДФ чаще всего GT→n; FKР→T*r; GTФ→T*Ф
Закон изменения регулируемых параметров (или регулирующих,
факторов) в зависимости от условий полёта и положения рычага управления двигателем (РУД) называется программой регулирования.
Для получения хороших разгонных и взлётных характеристик самолёта необходимо, чтобы двигатель на различных режимах создавал максимальную тягу. Максимальная тяга двигателя получается при максимальной частоте вращения (наибольшем расходе воздуха), максимальной температуре газа перед турбиной и, в случае включённого форсажа, при наибольшей температуре Т*ф. Поэтому одной из основных программ регулирования двигателя является: для ТРД nмакс = const; Т*г макс = const; для ТРДФ nмакс = const; Т*г макс = const; Т*Ф макс = const, или nмакс= const; π*τ = const (FKР= Var.).
Поддержание π*τ = const при включении и работе на форсаже обеспечивает неизменность режима работы турбокомпрессора, т.е. при форсировании двигателя режим работы турбокомпрессора максимальный (n = n МАКС; Т*г = Т*г макс), что обеспечивает наименьшее значение GТ.Ф. для получения тех же значений тяг, т.е. позволяет наиболее полно реализовать возможности двигателя по тяге Ρ на этом режиме.
Поэтому, выбор той или иной программы регулирования, а возможно и их сочетание, определяется типом двигателя и предназначением летательного аппарата.
Рассмотрим законы управления двухвального двигателя с
форсажем, который имеет три независимых регулируемых параметра:
► Частота вращения РНД - nНД;
► Температура газов за турбиной - Т*т;
► Температура газов в форсажной камере - Т*ф.
При этом возможна реализация следующих законов управления:
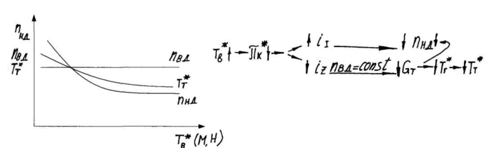
Закон А Т*т = const
Даёт возможность наиболее полно
использовать возможности
двигателя по температуре Т*г.
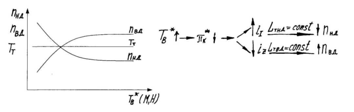
Закон Б nВД= const
При таком законе управления с ростом Μ тяга двигателя снижается, что является главным недостатком.
Выполнение этого закона позволяет
полностью использовать
возможности двигателя по
температуре и обуславливает очень интенсивный рост тяги при увеличении числа М. Последнее очень важно для сверхзвуковых истребителей.
Закон Г nНД = const и Т*т = const
При выборе программ регулирования подачи топлива в форсажную камеру стремятся обеспечить приемлемый закон изменения Т*ф в полёте из условия надёжности конструкции.
Очевидно, что с ростом Τ*Β температуру Т*ф необходимо снижать, т.к. ухудшаются условия охлаждения элементов форсажной камеры. Это может быть достигнуто, например, изменением GTФ по закону GTФ/PK=const при αруд=const (или изменением GTФ по закону π*Т=const как это сделано на Р25-300).
Закон GTФ/PK=const удобен простотой его реализации, а также тем, что степень форсирования при αруд=const остаётся постоянной. То есть
управление двигателем на форсированных режимах осуществляется путём изменения степени форсирования.
Для получения нужных параметров и характеристик двигателей часто используют комбинации выше рассмотренных законов.
2.Эксплуатационные ограничения авиационных ГТД.
Программы регулирования авиационных ГТД не всегда достаточно полно учитывают нагруженность деталей и узлов и условия обеспечения устойчивой работы отдельных элементов двигателя. Поэтому в программы регулирования могут вводиться ограничения, обеспечение которых возлагается на топливную автоматику двигателя, а в некоторых случаях на лётчика - в виде задания ограничений диапазона высот и скоростей полёта и др.
Ограничения по прочности приходится вводить при малых высотах,
больших скоростях полёта и низких температурах окружающего воздуха.
Ограничения по прочности элементов конструкции учитываются
заданием предельных значений отдельных параметров, выбор которых
определяется принятой программой регулирования двигателя.
К этим параметрам относятся:
► nмакс; Т*г макс и р*2 макс - по условиям прочности элементов
турбокомпрессора и форсажной камеры;
► Τ* н макс - по условиям прочности и охлаждения элементов двигателя и работоспособности маслосистемы.
Ограничения по устойчивой работе компрессора вводятся для предотвращения неустойчивой работы компрессора при изменении условий полёта и режима его работы на малых nПР мин и больших nПР макс приведённых частотах вращения.
Ограничения по устойчивой работе входного устройства. К ним относится, например, запрещение уборки РУД ниже положения «Максимал» на больших сверхзвуковых скоростях полёта, чтобы исключить сильное рассогласование расходов воздуха через воздухозаборник и двигатель и возникновение помпажа воздухозаборника.
Ограничения по устойчивой работе камер сгорания и включению форсажа задаются обычно минимальными величинами давления в основной и форсажной камерах сгорания. Могут иметь место и другие ограничения.
В условиях полёта вследствие отказа авиационной техники возможно нарушение нормальной работы силовой установки.
К таким особым случаям относятся следующие:
► Неустойчивая работа компрессора, которая может привести к разрушению элементов компрессора и турбины (прогару лопаток) и выключению двигателя в полёте. Неустойчивая работа компрессора может возникнуть и в результате попадания в двигатель пороховых газов при пуске ракет.
► Неустойчивая работа воздухозаборника (помпаж и «зуд») может привести к разрушению элементов конструкции воздухозаборника и возникновению неустойчивой работы компрессора.
► Отказы в системе управления створками критического сечения сопла могут привести в случае нераскрытия створок при включении форсажа к забросу температуры Т*г выше допустимого значения и появлению неустойчивой работы компрессора, а в случае непрекрытия створок при выключении форсажа к резкому провалу тяги двигателя. Указанные случаи являются серьёзными предпосылками к лётному происшествию и в эксплуатации недопустимы.
З.ГТД, как объект автоматического управления.
Автоматическая система (АС) ГТД летательного аппарата включает управляемый объект - двигатель и автоматическое управляющее устройство.
Автоматическое управляющее устройство авиационного газотурбинного двигателя имеет фактически несколько самостоятельных автоматических систем. Автоматические системы, реализующие простые законы управления, называются также системами автоматического регулирования (САР).
На рисунке (для примера) представлена функциональная схема АС, включающей объект управления ГТД и САР.
В процессе автоматического управления двигатель испытывает управляющие и возмущающие (внешние и внутренние) воздействия. Регулирующие факторы (РФ) являются по отношению к двигателю управляющими воздействиями и служат входными сигналами, которые формируются определёнными контурами САР.
К внешним воздействиям относятся возмущения, обусловленные изменением окружающей среды, т.е. Р*в, Т*в и Рн.
Характеристики
Тип файла документ
Документы такого типа открываются такими программами, как Microsoft Office Word на компьютерах Windows, Apple Pages на компьютерах Mac, Open Office - бесплатная альтернатива на различных платформах, в том числе Linux. Наиболее простым и современным решением будут Google документы, так как открываются онлайн без скачивания прямо в браузере на любой платформе. Существуют российские качественные аналоги, например от Яндекса.
Будьте внимательны на мобильных устройствах, так как там используются упрощённый функционал даже в официальном приложении от Microsoft, поэтому для просмотра скачивайте PDF-версию. А если нужно редактировать файл, то используйте оригинальный файл.
Файлы такого типа обычно разбиты на страницы, а текст может быть форматированным (жирный, курсив, выбор шрифта, таблицы и т.п.), а также в него можно добавлять изображения. Формат идеально подходит для рефератов, докладов и РПЗ курсовых проектов, которые необходимо распечатать. Кстати перед печатью также сохраняйте файл в PDF, так как принтер может начудить со шрифтами.
















