Тема 10 Занятие 3 (555853)
Текст из файла
Тема № 10. Занятие № 3 - групповое.
СПОСОБЫ РЕГУЛИРОВАНИЯ КОМПРЕССОРА
Время: 2 часа
Цель: ознакомиться со способами регулирования осевых компрессо-
ров, понятием запаса устойчивости компрессора и влиянием на него экс-
плуатационных факторов.
Учебные вопросы: 1. Способы регулирования осевых компрессоров.
2.3апас устойчивости компрессора и влияние
на него эксплуатационных факторов.
1. Способы регулирования осевых компрессоров.
Ранее уже отмечалось, что рассогласование ступеней нерегулируемого мно-
гоступенчатого осевого компрессора тем сильнее, чем выше π*к расч.
Современные осевые компрессоры имеют высокие π*к расч ( до 30 ) и без
регулирования обеспечить их устойчивую работу с высоким КПД невозможно.
Регулирование компрессора осуществляется с целью:
-
расширения диапазона режимов устойчивой работы;
-
обеспечения требуемых запасов устойчивости на всех режимах;
-
повышения ηκ*;
-
снижения вибрационных нагрузок.
Как известно, первопричиной неустойчивой работы компрессора является
чрезмерное увеличение углов атаки (до i>iкр). Из треугольника скоростей видно,
что уменьшение углов атаки можно достичь:
-увеличением осевой составляющей абсолютной скорости (т.е. увеличением
GB);
-поворотом вектора абсолютной скорости;
-уменьшением окружной составляющей абсолютной скорости (т.е. сниже-
нием n).
В настоящее время в осевых компрессорах применяется четыре основных
способа регулирования:
-
перепуск части воздуха из средних ступеней в атмосферу;
-
поворот лопаток направляющего аппарата (НА);
-
выполнение компрессора по двухкаскадной или трехкаскадной схеме;
-
кольцевой перепуск воздуха над рабочим колесом первой ступени.
Перепуск воздуха из средних ступеней применяют для
предотвращения нижнего срыва. При открытии лент или клапанов перепуска за
средними ступенями (эффект открытия дроссельной заслонки за первыми сту-
пенями) увеличиваются осевые скорости на первых ступенях, а углы атаки со-
ответственно уменьшаются. Но данный способ регулирования не выгоден с точ-
ки зрения экономичности двигателя (затратили энергию на сжатие воздуха, а за-
тем часть его выпустили в атмосферу) и с точки зрения тяги двигателя (формула
Стечкина). P=Gв(Сс-V)
Регулирование осевого компрессора поворотом лопаток НА
предусматривает использование нескольких вариантов:
-
поворот лопаток входного направляющего аппарата (ВНА);
-
поворот лопаток ВНА +лопатки НА группы первых ступеней;
-
поворот лопаток НА группы первых и последних ступеней (АЛ-21ФЗ).
Поворот лопаток ВНА и НА групп ступеней позволяет непосредственно из-
менять углы атаки на лопатках РК (приблизить их обтекание к расчетному) и
поддерживать их на нужном уровне при отклонении режима работы двигателя
от расчетного. В результате поворота ВНА (или НА) обеспечивается требуемый
Δ Ку и η*к. Однако
Если рассогласование велико и есть опасность срыва на других ступенях,
необходимо поворачивать НА и других ступеней (на прикрытие). В результате
такого регулирования ↑Δ Ку и ↑η*к , но ценой ↓π*к и ↓Gв. Это не выгодно
с точки зрения тяги.
Регулирование ОК изменением соотношения частот вра-
щения каскадов (применением двух- и трехкаскадных схем
компрессора).
Чем выше π*к расч, тем сильнее рассогласование на нерассчетных режи-
мах. Если ОК разделить на 2 или 3 каскада, то каскады будут низконапорными
и внутри каждого рассогласование между ступенями будет незначительным.
Например если π*к Σ = 25, то π*КНД=π*КВД =5 или
π*КНД = π*КСД =π*КВД =2,7·
Рассогласование же в соседних каскадах можно уменьшить за счет изменения скольжения роторов. _
Рассмотрим, как обес-
печивается устойчивая ра-
бота осевого компрессора в
двухкаскадном (а, следова-
тельно, двухвальном) ГТД.
Предположим сначала, что
ротора обоих каскадов со-
единены между собой, т.е. двигатель является однороторным. За исходный
выберем расчетный режим работы, которому соответствуют треугольники ско-
ростей, изображенные сплошными линиями.
При дросселировании двигателя уменьшается n, т.е. ↓U и
↓Gв , т.е.↓C1a. Как мы выяснили раньше (переход из точки P в точку 1
по ЛРР), это приводит к увеличению углов атаки на рабочих лопатках первых
ступеней и уменьшению на последних.
Увеличение углов атаки на первых ступенях вызывает рост аэродинамиче-
ских сил, действующих на лопатки, поэтому потребная работа на их вращение
возрастет, и наоборот, уменьшение углов атаки на последних ступенях приводит к
уменьшению потребной работы.
Таким образом, первые ступени как бы "затяжеляются", а последние "облегчают-
ся". При жестко соединенных роторах недостаток потребной работы на вращение
первых ступеней компенсируется избытком работы вращения последних
ступеней. Если при некотором GT разъединить роторы КНД и КВД, то n нд
уменьшится, а n вд - увеличится относительно той частоты вращения, до кото-
рой мы задросселировали двигатель.
/
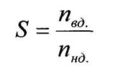
Т.о., при уменьшении Gт, nНД уменьшается более интенсивно по сравнению с
n ВД, т.е. появляется разница в частотах вращения, или так называемое, СКОЛЬ-
ЖЕНИЕ S , которое принято оценивать соотношением :
За счет скольжения роторов треугольник скоростей в КНД и в КВД изменяется
так, что углы атаки в них сохраняются близкими к расчетным.
Очевидно, что чем меньше GT , тем больше рассогласование в работе ступе -
ней и тем больше скольжение. Таким образом, компрессор двухкаскадной схемы
обладает свойством САМОРЕГУЛИРОВАНИЯ, что обеспечивает устойчивую
работу и высокие ηκ* в широком диапазоне режимов работы компрессора.
Характерным для характеристик КВД. и КНД является то, что ЛРР в рабочем
диапазоне n не пересекают границу устойчивой работы.
Кольцевой перепуск воздуха из-за РК в
концевых сечениях рабочих лопаток на вход в него
применяют для предупреждения вращающегося срыва
на первых ступенях компрессоров ГТД.
. Перепуск осуществляется через кольцевую полость в
корпусе компрессора.
При расчетном обтекании рабочей лопатки пере-
пуска воздуха нет, т.к. в передней части межлопаточного канала поворота потока и повышения давления практически нет.
При увеличении угла атаки воздух из зоны повышенного давления пе-
ретекает через кольцевую полость в корпусе на вход в РК. Возникающая
кольцевая циркуляция воздуха уменьшает эффективную площадь, через
которую воздух поступает в компрессор. При GB = const это приводит к
росту скоростей на входе в ступень (GB = ↑ C1a ↓Fэф ρв = const) , соот-
ветственному уменьшению углов атаки и предотвращению срыва потока на
спинках лопаток РК.
2. ЗАПАС УСТОЙЧИВОСТИ КОМПРЕССОРА И
ВЛИЯНИЕ НА НЕГО ЭКСПЛУАТАЦОННЫХ
ФАКТОРОВ
2.1 ЗАПАС УСТОЙЧИВОСТИ КОМПРЕССОРА
Для нормальной работы компрессора и двигателя в целом ЛРР должна нахо-
дится на достаточном удалении от границы устойчивой работы компрессора.
Степень этого удаления удобно оценивать коэффициентом устойчивости (ко-
эффициентом запаса устойчивости) Ку , представляющим собой величину, про-
порциональную угловому расстоянию между рабочей точкой и границей устой-
чивой работы при конкретной частоте вращения. На практике используется так
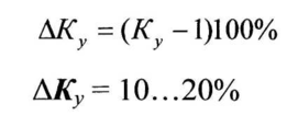
называемый запас устойчивости - Δ Ку.
На расчетных режимах работы современных ГТД Δ Ку =10...20 %
2.2. ВЛИЯНИЕ ЭКСПЛУАТАЦИОННЫХ ФАКТОРОВ НА ЗАПАС
УСТОЙЧИВОСТИ КОМПРЕССОРА
При эксплуатации компрессора в системе ГТД и наличии различных внеш-
них и внутренних возмущений рабочие точки на характеристике, компрессора
могут смещаться, из исходных положений на ЛРР, что приводит к изменениям
Δ Ку.
Наиболее заметное влияние на Δ Ку оказывают:
-
увеличение высоты полета;
-
ухудшение гидравлики проточной части;
-
неравномерность и нестационарность потока на входе в компрессор;.
- приемистость и сброс газа;
- включение и выключение форсированных режимов.
Влияние высоты полета и ухудшение гидравлики проточной части связано с
изменением чисел Re в межлопаточных каналах, что приводит к уменьшениию
КПД компрессора.
Влияние неравномерности и нестационарности потока на входе в компрессор
При работе двигателя поля давлений и скоростей на входе в компрессор оказыва-
ется неравномерным из-за криволинейности канала воздухозаборника, нарастания
толщины пограничного слоя, наличия сложной системы скачков уплотнений, не-
симметричности входа воздуха на больших углах атаки и скольжения и т.д.
Различают неравномерность радиальную и окружную. Особенно опасна ок
ружная неравномерность, т.е. группа лопаток оказывается в зонах обтекания с по
вышенными углами атаки, что вызывает уменьшение Δ Ку.
Поля параметров на входе компрессора всегда нестационарны. Однако, опасна
только низкочастотная нестационарность вызываемая:
-
неустойчивой работой воздухозаборника;
-
повышенной турбулентностью атмосферы;
-
резким повышением температуры на входе в двигатель.
Резкое повышение температуры может быть следствием попадания
горячих газов на входе в двигатель при пуске ракет или при попадании в спут-
ную струю впереди летящего самолета.
Повышение Т*В приводит к уменьшению nпр (фи-
зическая частота вращения меняется незначительно)
что приводит равноценно переведении» ЛРР влево -
Δ Ку уменьшается.
В практике наблюдались случаи столь значительно-
го снижения Δ Ку, что возникала неустойчивая работа компрессора.
В настоящее время используются пути предотвращения неустойчивой работы
компрессора, из-за нестационарности Т*в :
-
повышение Δ Ку вновьеоздаваемых компрессоров до 20%;
-
создание автоматических противопомпажных систем, обеспечивающих при
пуске ракет резкое уменьшение GT - сброс топлива; -
изменение компоновки самолета направленное на влияние пуска ракет на
двигатель; -
создание новых твердых топлив для ракет,
-
обеспечение пуска ракет после сброса (с запозданием).
Влияние приемистости и сброса газа. Возможность вращения роторов с раз-
личными n в двухвальном двигателе играет положительную роль на установив-
шихся режимах при nпр ≠ nпр р, обеспечивая саморегулирование компрессора,
Характеристики
Тип файла документ
Документы такого типа открываются такими программами, как Microsoft Office Word на компьютерах Windows, Apple Pages на компьютерах Mac, Open Office - бесплатная альтернатива на различных платформах, в том числе Linux. Наиболее простым и современным решением будут Google документы, так как открываются онлайн без скачивания прямо в браузере на любой платформе. Существуют российские качественные аналоги, например от Яндекса.
Будьте внимательны на мобильных устройствах, так как там используются упрощённый функционал даже в официальном приложении от Microsoft, поэтому для просмотра скачивайте PDF-версию. А если нужно редактировать файл, то используйте оригинальный файл.
Файлы такого типа обычно разбиты на страницы, а текст может быть форматированным (жирный, курсив, выбор шрифта, таблицы и т.п.), а также в него можно добавлять изображения. Формат идеально подходит для рефератов, докладов и РПЗ курсовых проектов, которые необходимо распечатать. Кстати перед печатью также сохраняйте файл в PDF, так как принтер может начудить со шрифтами.
















