Тема 10 Занятие 1 (555851)
Текст из файла
МОСКОВСКИЙ ГОСУДАРСТВЕННЫЙ АВИАЦИОННЫЙ ИНСТИТУТ
(технический университет) Факультет военного обучения
"УТВЕРЖДАЮ"
НАЧАЛЬНИК КАФЕДРЫ № 2
полковник В. Фролов
" " июня 2000 г.
Материалы занятий по разделу: "Двигатели летательных аппаратов"
Тема 10. КОМПРЕССОР ГТД.
(Для студентов 1 и 2 факультетов, проходящих военное обучение по
ВУС-461000)
Составил старший преподаватель
подполковник Э. Пономарев
Обсуждена на заседании кафедры № 2
Протокол № от
Тема № 10. КОМПРЕССОР ГТД.
Время: 10 часов
Цель : изучить принцип работы, конструкцию и основные правила эксплуатации компрессора двигателя РД 33-2С.
ГРУППОВОЕ ЗАНЯТИЕ № 1: ПРИНЦИП РАБОТЫ ОСЕВОГО КОМПРЕССОРА
Время: 2 часа
Цель: изучить принцип работы и характеристики осевого компрессора
Учебные вопросы: 1. Назначение, схема и принцип работы
компрессора. 2. Характеристики компрессора.
1. НАЗНАЧЕНИЕ, СХЕМА И ПРИНЦИП РАБОТЫ КОМПРЕССОРА 1.1. НАЗНАЧЕНИЕ И КОНСТРУКТИВНАЯ СХЕМА КОМПРЕССОРА
Компрессор предназначен для сжатия воздуха, поступающего из воздухозаборника, и подачи его в основную камеру сгорания. Сжатие воздуха необходимо для организации надежного горения в камере сгорания и эффективного использования выделяемого при этом тепла.
К компрессорам современных авиационных двигателей предъявляются следующие требования:
высокая надежность;
обеспечение заданной степени повышения давления; высокий КПД;
устойчивость работы;
малые масса и габариты;
эксплуатационная и ремонтная технологичность.
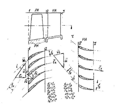
Компрессор двигателя - осевой, двухкаскадный, тринадцатиступенчатый. Ступенью компрессора называют сочетание одного ряда вращающихся лопаток
рабочего колеса (РК) и расположенного за ним ряда неподвижных лопаток направляющего аппарата (НА).
Первые четыре ступени образуют каскад (или компрессор) низкого давления КНД (или еще ВЕНТИЛЯТОР), последние девять ступеней -
каскад (или компрессор) высокого давления KBД.
Ступени КНД выполнены трансзвуковыми по относительной скорости воздуха на входе в ступень (трансзвуковая ступень - это ступень, в которой относительная скорость воздуха на входе в РК или абсолютная скорость на
входе в НА изменяются по высоте лопатки от дозвуковой до сверхзвуковой).
1.2. РАБОТА ДОЗВУКОВОЙ СТУПЕНИ КОМПРЕССОРА
Рассмотрим принцип работы дозвуковой ступени компрессора, для чего рассечем лопатки ступени цилиндрической поверхностью радиусом r, ось
которой совпадает с осью двигателя, и развернем сечение на плоскость чертежа.
Получим изображение рядов профилей лопаток РК и НА, которые называются компрессорной решёткой. Пусть на входе в ступень (сечение 1-1) воздух движется с абсолютной
скоростью
направленной параллельно оси (предполагаем для простоты, что вход воздуха осевой). Окружную скорость лопаток на данном радиусе обозначим через Ū, а относительную скорость движения воздуха
(относительно лопаток) через
. Величина и направление
определяются из треугольника скоростей как векторная разность
- Ū. Для безотрывного обтекания лопаток угол атаки не должен превышать 4 ... 6
градусов (Углом атаки называется угол между касательной к средней линии профиля в его передней точка (в носике) и вектором скорости набегающего потока).
Лопатки РК спрофилированы таким образом, что обеспечивают поворот потока в расширяющемся канале (f2>f1). Дозвуковой поток в таком
к
анале тормозится (
<
), в результате чего статическое давление воздуха растет (Ρ2>Ρ1)· Одновременно с этим, в результате подвода к воздуху энергии, возрастает его абсолютная скорость ( С2 >
). Таким образом, полное давление также увеличивается (РCombin>РCombin)·
На лопатки НА поток набегает с абсолютной скоростью
=
+ Ū. Лопатки НА профилируются аналогично рабочим лопаткам (f3>f2/), поэтому, проходя, между лопатками, поток тормозится (
<
), а статическое давление в нем увеличивается (Р3 > Р2).
Полное давление практически остается постоянным (Р*3 ≈Ρ*2), если не считать потерь на трение.
Таким образом, в РК происходит увеличение потенциальной (за счет торможения потока) и кинетической (за счет подвода механической работы) энергии воздуха, а в НА часть кинетической энергии потока преобразуется в потенциальную (торможение потока).
При течении воздуха в межлопаточных каналах на лопатках возникают аэродинамические силы R. Сумма из осевых составляющих Ra передается на корпус компрессора через упорные подшипники ротора, а окружные составляющие Ru создают момент сопротивления вращения РК, преодолеваемый крутящим моментом турбины.
Сжатие, воздуха в ступени принято оценивать степенью повышения полного давления
πст*=Р3* /P1* · При заданной профилировке лопаток и n = const, πст* зависит от угла атаки i.
Чем он больше, тем больше степень расширения межлопаточного канала (f2/f1), тем значительнее торможение потока и повышение давления.
Из рассмотрения треугольника скоростей видно, что увеличение угла атаки i, может быть достигнуто за счет повышения Ū (т.е. ↑ n) или
снижения осевой составляющей абсолютной скорости (
).
Так как
определяет расход воздуха через компрессор Gb, to уменьшать ее нецелесообразно (с точки зрения снижения тяги -
P=GB(Cc-V).
Повышение Ū приводит к росту
, которая может стать выше местной скорости звука. В этом случае при использования дозвуковых лопаток сильно снижается КПД компрессора, поэтому применяют специально спрофилированные сверхзвуковые или трансзвуковые рабочие
лопатки (или ступени в целом). В таких случаях πст* = 1,6...2,0, в то время
как в дозвуковых πст*=1,2---1,35. Это позволяет уменьшить количество
ступеней в компрессоре при заданной степени повышения давления в нем πК*
Следует отметить особенности сверхзвуковых ступеней:
- они имеют меньший, по сравнению с дозвуковыми ступенями КПД при дозвуковых скоростях обтекания лопаток;
- лопатки таких ступеней имеют острые кромки, большие хорды и меньшие относительные толщины, а следовательно, более чувствительны к концентраторам напряжений.
1.3. ОСНОВНЫЕ ПАРАМЕТРЫ КОМПРЕССОРА
На расчетном режиме работы двигателя (режим "М" в условиях Н=0 и
М
=0) следующие параметры: GВпр≈74 кг/с
-КПД компрессора
η* = 0,8 (ηκдозв.= 0,88...0,9-для сравнения)=L*ад.к/Lк
- эффективная работа компрессора, затрачиваемая на повышение
давления 1 кг воздуха на 1 кгс
-степень повышения полного давления π*к=P*к/P*в=π*ст1π*ст2…..π*стn=21,7
-степень повышения полного давления в КНД;
π*кнд=3,1
- степень повышения полного давления в КВД;
π*квд= 7,0
2. ХАРАКТЕРИСТИКИ КОМПРЕССОРА
Для оценки степени совершенства компрессора используют
характеристики. Они представляют собой графические зависимости,
показывающие как изменяется π*к и η*к при изменении режима его работы,
которые определяются условиями на входе и частотой вращения ротора. Эти зависимости π*к = π*к (Gв; n) и η*к = η*к (Gв; n).
Их получают экспериментально на специальной установке.
VcTa ювка позволяет производить изменение GB за счет изменения Fдp и
частоты вращения n постоянным источником мощности М.
Измерим при некотором положении дросселя и фиксированной частоте
вращения расход воздуха, а также полные температуры и давления на входе в
компрессор и выходе из него. Определив π*к и η*к по известным формулам,
получим на графике точки, например, 1 и 1’ .
Открытие дросселя снижает сопротивление движению воздуха, выходящего из компрессора. Осевые скорости С1a на входе в каждую ступень
и расход воздуха GB увеличиваются, а работа совершаемая над каждым килограммом воздуха уменьшается в результате уменьшения угла поворота потока в межлопаточных каналах РК (т. к. i уменьшается).
В точке О’ осевые скорости достигают оптимального значения, при котором i = iopt =4 .. .6 . Поэтому в точке О’ η*к = η*к max.
Дальнейшее увеличение осевых скоростей приводит к некоторому
увеличению гидравлических потерь. В результате всего этого Р* к и η*к падают
- точки 2 и 2’ . При дальнейшем открытии дросселя π*к↓ и η*к ↓,а GB↑
Кроме того, из-за значительного уменьшения i может возникнуть срыв потока на лопатках со стороны корытца, что приводит к дополнительному увеличению гидравлических потерь и соответствующему снижению η*к.
В точке В дальнейшее увеличение GB при открытии дросселя становится невозможным. Это связано с тем, что по мере роста С1a в ступенях, растут и
W1. Поскольку самое большое С1a в первой ступени, то в ней и самое большое W1, которое в точке В достигает скорости звука W1г 1ст= a1ст = 1.
первая ступень "запирается", т.к. для дальнейшего увеличения GB через нее (а значит и через весь компрессор) необходимо увеличение W1 1ст, что в данном
случае невозможно. При дальнейшем открытии дросселя π*к продолжает уменьшаться, падает плотность воздуха в последующих ступенях, в них растут осевые скорости и растут потери, поэтому η*к ↓. По мере ↑Fдр, приводящее
к ↑ С1a, произойдет запирание второй ступени, третьей и т.д. В точке З
"запирается" выходной НА, ПОЭТОМУ дальнейшее открытие дросселя на изменение режима компрессора уже не влияет.
При прикрытии дросселя все происходит наоборот:
углы атаки и поворота потока растут - π*к увеличивается - точка 3.
η*к несколько снижается из-за роста гидравлических потерь по причине увеличения геометрического миделя лопаток (т.е. лопатки по отношению к набегающему потоку становятся как бы гуще поставленными) - точка 3’ .
Характеристики
Тип файла документ
Документы такого типа открываются такими программами, как Microsoft Office Word на компьютерах Windows, Apple Pages на компьютерах Mac, Open Office - бесплатная альтернатива на различных платформах, в том числе Linux. Наиболее простым и современным решением будут Google документы, так как открываются онлайн без скачивания прямо в браузере на любой платформе. Существуют российские качественные аналоги, например от Яндекса.
Будьте внимательны на мобильных устройствах, так как там используются упрощённый функционал даже в официальном приложении от Microsoft, поэтому для просмотра скачивайте PDF-версию. А если нужно редактировать файл, то используйте оригинальный файл.
Файлы такого типа обычно разбиты на страницы, а текст может быть форматированным (жирный, курсив, выбор шрифта, таблицы и т.п.), а также в него можно добавлять изображения. Формат идеально подходит для рефератов, докладов и РПЗ курсовых проектов, которые необходимо распечатать. Кстати перед печатью также сохраняйте файл в PDF, так как принтер может начудить со шрифтами.
















