Тема 10 Занятие 1 (555851), страница 2
Текст из файла (страница 2)
Значительное увеличение i при дальнейшем прикрытии дросселя приводит к появлению срыва на спинках лопаток (i > iКР) и неустойчивой
работе компрессора. Точки "Г" и "Г", соответствующие этому режиму,
называют границей устойчивой работы компрессора на данной частоте вращения.
Соединив полученные точки, получим зависимости π*к (GB) и η*к(GB)
для заданной частоты вращения, которые называют напорными кривыми. Построив таким образом напорные кривые для других частот вращения, получают характеристики компрессора. Другими словами, харктеристики компрессора - это совокупность напорных кривых компрессора, полученных при различных фиксированных частотах вращения ротора компрессора, нанесенная на один график. Положение напорных кривых
зависит от P*в и Т*в т.е. от внешних условии.
Действительно, при повышении P*в растет GB (см. формулу GB), а при увеличении Т*в снижаются GB и π*к (более горячий воздух тяжелее сжать).
Значит, каждой паре значений P*в и Т*в будет соответствовать свое положение
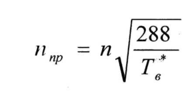
этих кривых. Такими характеристиками пользоваться неудобно. Поэтому на практике, характеристики приводят к стандартным атмосферным условиям (САУ), перестраивая их в виде зависимости приведенных параметров. Это приведенная частота вращения и приведенный расход воздуха.
( TB*CАУ = 288 К ; PB cay= 1,033 кгс/см2 - при Н=0)
Характеристики, построенные в приведенных параметрах, универсальны и не зависят от внешних условий. По виду они аналогичны характеристикам π*к (GB) и η*к(GB).
















