Тема 10 Занятие 2 (555852)
Текст из файла
Тема № 10. Занятие № 2 - групповое.
РАБОТА КОМПРЕССОРА В СИСТЕМЕ ГТД
Время: 2 часа
Цель: изучить работу компрессора в системе ГТД, получение линии рабочих режимов на характеристиках компрессора, формы неустойчивой работы компрессора и причины их появления.
Учебные вопросы: 1. Линия рабочих режимов. Нижний и верхний срывы.
2. Неустойчивая работа компрессора.
1. ЛИНИЯ РАБОЧИХ РЕЖИМОВ. НИЖНИЙ И ВЕРХНИЙ СРЫВЫ
Характеристики компрессора охватывают все возможные режимы его работы. Однако, в конкретных условиях его работы в системе ГТД, используется только часть этих режимов, что объясняется следующим. Элементы, стоящие за компрессором (основная камера сгорания, газовая турбина), создают сопротивление движению воздуха аналогично дросселю, использующемуся при экспериментальном получении характеристик. Причем величина этого сопротивления зависит от частоты вращения ротора двигателя, а частота вращения и сопротивление, как мы убедились, однозначно определяет положение рабочей точки на характеристике.
Соединение точек О-О" на напорных кривых дает линию оптимальных
режимов или линию рабочих режимов компрессора (ЛРР).
Соединение точек "В-В" дает линию начала запирания компрессора по входу, а точек "Γ-Γ" - границу устойчивой работы компрессора.
Каждый компрессор и его каскады рассчитываются для ОДНОГО основного режима, для которого требуется получить наилучшие данные. Обычно это максимальный или близкий к нему режим, именуемый РАСЧЕТНЫМ.
На этом режиме все геометрические характеристики ступеней (углы установки лопаток, площади проходных сечений и т.д.) определяются из условий обеспечения их оптимального режима, т.е. с
На расчетном режиме, где все ступени согласованы (С1a i= C1a i opt), компрессор работает лишь в одной точке своей характеристики - точке Р. При
отклонении от расчетного режима (от точки Р) либо за счет изменения n
(мощности электродвигателя), либо за счет изменения GB (положения дроссельной заслонки FДР) происходит рассогласование ступеней.
Рассогласование ступеней - отклонение работы всех или некоторых
ступеней от оптимального режима. Отклонение i oт iopt приводит к росту
потерь и даже к срыву потока при i > iкр.
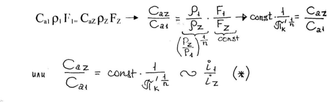
Рассмотрим физическую причину этого явления. Запишем уравнение расхода для сечений 1-1и Ζ-Ζ.
Здесь π/К — это степень повышения давления в компрессоре без участия последней ступени.
Таким образом если на расчетном режиме
то при любом отклонении π/К от π/К расч (т.е. πК от πК расч) будет изменяться
отношение
, а значит нарушаться оптимальный режим обтекания
одновременно всехступеней.
Физически это объясняется тем, что изменение πК связано с изменением πi
и плотности воздуха. Новая плотность ρi перед каждой ступенью уже не будет соответствовать прежним расчетным проходным сечениям и поэтому в результате
изменения Сai расчетное обтекание лопаток нарушается. Чем больше πК расч , тем сильнее проявляется этот эффект.
По аналогии с полученным выражением (*) можно записать для первой и последней групп ступеней
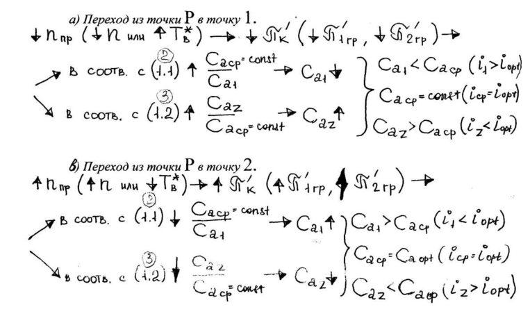
Рассмотрим рассогласование ступеней вдоль линии рабочих режимов.
Изменять nпр можно по-разному: либо изменять nф, либо Τ* Β.
При этом можно, изменяя n за счет мощности электродвигателя и одновременно
управляя Fдр, влиять на изменение Cai- Таким образом можно, изменяя nпр, поддерживать:
-
или Ca1 = const ;
-
или Са ср = const;
-
или Са Z = const.
Оказывается, если Са ср =const , то при уменьшении nпр изменение режима работы компрессора происходит практически вдоль линии рабочих режимов Р-Р. Покажем это.
Из рисунка видно, что при таком рассогласовании η*ст i меняются мало, а
если и меняются, то в окрестности точки с η*макс Поэтому такому
рассогласованию будет соответствовать η*к макс. Это подтверждает, что
рассогласование происходит вдоль линии рабочих режимов. Важным следствием также является то, что при уменьшении nпр, увеличиваются углы атаки на первых
ступенях, а при увеличении nпр увеличиваются углы атаки на последних ступенях. Чем сильнее изменение nпр по сравнению с nпр расч, тем сильнее
рассогласование ступеней, а при значительном уменьшении или увеличении nпр
может возникнуть срыв потока соответственно на первых или последних ступенях. Этим и обуславливается то, что ЛРР высоконапорного компрессора
ГТД (π*К> 5...6) пересекает границу устойчивой работы в двух точках "Ή" и "В", называемых соответственно точками нижнего и верхнего Срыва.
2. Неустойчивая работа компрессора.
Различают две формы неустойчивой работы компрессора: вращающийся срыв и помпаж.
2.1 Вращающийся срыв
Вращающийся срыв может возникнуть как на первых, так и на последних ступенях.
На первых ступенях из-за большой высоты и крутки лопаток образуется несколько зон срыва, охватывающих периферийные части лопаток.
На последних ступенях лопатки имеют малые высоты. Поэтому срыв, появляется первоначально на одной или нескольких лопатках, практически мгновенно охватывает их по всей высоте и распространяется приблизительно на
половину окружности.В обоих случаях зоны срыва вращаются, что объясняется следующим образом.
Зона срыва оказывает дросселирующее воздействие на поток и перед ней образуется зона заторможенного воздуха. Поэтому набегающий поток, растекаясь в обе стороны, уменьшает углы атаки на впереди идущих лопатках (лопатки 1,2....) и
ν ■
увеличивает на последующих (лопатки 4,5...). В результате зона срыва перемещается на сзади идущие лопатки, вращаясь относительно корпуса
компрессора в ту же сторону, что и РК, но с меньшей скоростью. Появление зоны срыва приводит к значительному ухудшению параметров потока и их
высокочастотным (несколько десятков герц) колебаниям . Амплитуда этих колебаний незначительна (≈5%), а частота f≈50..150Гц.
Появление срыва сопровождается хлопком, интенсивность которого зависит от места появления срыва (более слабый - на первых ступенях) и от высоты полета (более сильный - на малых высотах).
Хотя при появлении вращающегося срыва компрессор в целом может работать устойчиво с пониженными значениями π*К и Gb, возникновение
срывных зон приводит к вибрации лопаток. Напряжения, возникающие при этом, могут приводить к их разрушению.
Если вращающийся срыв возник на последних ступенях, в жаровых трубах камеры сгорания, оказывающихся в различные моменты времени за зонами срыва, происходит погасание пламени из-за переобогащения топливовоздушой смеси. В случае, если скорость распространения пламени меньше скорости вращения зон срыва, происходит погасание пламени и самовыключение двигателя. Если пламя успевает восстановиться, то может недопустимо возрасти Т*г
Самовыключение двигателя более вероятно на больших высотах, где из-за малых Р*к и Т*К скорость распространения пламени сравнительно мала. Вращающийся срыв в эксплуатации недопустим.
2.2. ПОМПАЖ
При определенных условиях вращающийся срыв на последних ступенях может привести к другой форме неустойчивой работы компрессора - помпажу.
В этом случае срыв за доли секунды распространяется на предыдущие ступени вследствие дросселирующего воздействия на поток срывной зоны. Расход воздуха через зону срыва уменьшается и давление за ней снижается, т. к. лопатки, попавшие в зону срыва сжимают воздух неэффективно. При этом
воздух, растекаясь в обе стороны, увеличивает расход воздуха через зону с нормальным течением. Эта зона оказывается не в состоянии пропустить повысившегося расхода воздуха и воздух из закомпрессорной емкости выбрасывается через зону срыва на вход навстречу потоку (эффект открытия дроссельной заслонки). В результате пропускная способность закомпрессорной
емкости возрастает (хотя Fдр = const), расход воздуха увеличивается и на
некоторое время восстанавливается нормальное течение. Но поскольку Fдр =
const , происходит наполнение закомпрессорной емкости, вновь повышается давление и вновь достигается граница устойчивой работы (эффект закрытия дроссельной заслонки). Снова образуется срывная зона, выброс воздуха на встречу потоку - цикл повторяется.
ПОМПАЖ компрессора - это и есть циклический переход режима компрессора с устойчивого на неустойчивый и обратно, характеризующийся
циклическим изменением Рк* и Gb большой амплитуды (до 30%) и малой частоты (5...15 Гц).
Уменьшение расхода воздуха при помпаже приводит к резкому росту Тг*. Переобогащение топливо-воздушной смеси в отдельных случаях может вызывать погасание пламени в камере сгорания.
На режиме помпажа резко возрастает потребляемая мощность для привода ротора компрессора ΝК потр из-за сильного уменьшения η*к .
При помпаже двигателя особенно компрессор подвергается значительным механическим перегрузкам, приводящим к разрушениям элементов двигателя.
Помпаж в эксплуатации недопустим.
ВЫВОД: таким образом, неустойчивая работа компрессора, которая возникает на nпр, соответствующих тт. Η и В, должна быть предотвращена. Для недопущения верхнего срыва ограничивают максимальную частоту вращения ротора - nпр макс < nпр "в"·
Недопущение же нижнего срыва обеспечивают применением различных способов регулирования компрессора.
Характеристики
Тип файла документ
Документы такого типа открываются такими программами, как Microsoft Office Word на компьютерах Windows, Apple Pages на компьютерах Mac, Open Office - бесплатная альтернатива на различных платформах, в том числе Linux. Наиболее простым и современным решением будут Google документы, так как открываются онлайн без скачивания прямо в браузере на любой платформе. Существуют российские качественные аналоги, например от Яндекса.
Будьте внимательны на мобильных устройствах, так как там используются упрощённый функционал даже в официальном приложении от Microsoft, поэтому для просмотра скачивайте PDF-версию. А если нужно редактировать файл, то используйте оригинальный файл.
Файлы такого типа обычно разбиты на страницы, а текст может быть форматированным (жирный, курсив, выбор шрифта, таблицы и т.п.), а также в него можно добавлять изображения. Формат идеально подходит для рефератов, докладов и РПЗ курсовых проектов, которые необходимо распечатать. Кстати перед печатью также сохраняйте файл в PDF, так как принтер может начудить со шрифтами.
















