(7) (1264499)
Текст из файла
Обобщение второго закона Ньютона
| АННОТАЦИЯ. Указывается на то, что второй закон Ньютона в общепринятой форме записи вытекает в качестве частного случая из уравнения переходного процесса в качестве одного из его слагаемых и только при прямолинейном движении тела. Но и в этом частном случае в этом законе должна присутствовать не воздействующая на тело сила, а противодействующая ей сила инерции. Приведена обобщенная форма записи второго закона Ньютона для всех механических форм движения, в том числе, и частный случай записи второго закона Ньютона для вращательной формы движения. |
Прямолинейная форма движения
F = ma и a = F/m ,
где F – воздействующая на тело сила;
m – инертная масса тела;
a – линейное ускорение тела.
a = − FI /m . ( 2 )
Знак "−" указывает на то, что сила инерции FI противоположна по направлению воздействующей силе F.
Вращательная форма движения
ε = − MI / Jz , ( 3 )
При неравномерном вращении тела запись второго закона Ньютона, аналогичная уравнению (2), должна выглядеть так:
где ε – угловое ускорение тела;
MI – момент силы инерции, противодействующий изменению угловой скорости тела;
Jz – момент инерции тела.
Орбитальная форма движения
Например, для такого частного случая, как неравномерное движение тела по траектории круговой орбиты, можно записать такое уравнение:
aτ = − FIτ /mτ , ( 4 )
где aτ – касательное ускорение центра вращения неравномерно движущегося по круговой траектории тела;
FIτ – касательная сила инерции, противодействующая изменению касательной скорости;
mτ – инертная масса тела, движущегося по круговой орбите.
Обобщенный второй закон Ньютона
Все три уравнения (2, 3, 4) имеют, как и следовало ожидать, одинаковую структуру, в которой учитывается только одно обобщенное противодействие инертности UI , описанное на странице, посвященной обобщенным параметрам форм движения. На этом основании можно вывести обобщенную запись второго уравнения Ньютона в виде:
d2q /dt2 = − UI /I, ( 5 )
где d2q /dt2 – обобщенное ускорение; I – обобщенная инертность системы.
Из уравнения (5) следует, что инертная масса m является всего лишь частным случаем обобщенной инертности I, применяемым при прямолинейной форме движения. Поэтому инертную массу m предпочтительнее называтьлинейной инертностью, ее можно обозначать символом Il . В СИ для инертной массы применяют единицу кг, так как придерживаются принципа эквивалентности инертной и гравитационной масс. В системе величин ЭСВП линейная инертность имеет размерность EL-2T2 и единицу Дж·с2/м2. На странице, посвященной принципу эквивалентности масс, показано, что инертная и гравитационная массы должны иметь разные размерности и единицы.
Инертностью вращающегося тела является момент инерции тела Jz . Поэтому во вращательной форме движениямомент инерции предпочтительнее называть вращательной инертностью и обозначать символом Iφ . Вращательная инертность имеет в системе величин ЭСВП размерность EА-2T2 и единицу Дж·с2/об2.
В СИ это соответствовало бы единице Дж·с2/рад2 или Дж·с2, учитывая, что в СИ предпочитают опускать единицу радиан. Но согласно стандарту единицей момента инерции Jz является кг·м2. Эту единицу несложно преобразовать в единицу Дж·с2. Уравнение (5) указывает на то, что единица Дж·с2 должна быть в СИ предпочтительнее единицы кг·м2.
Для тела, движущегося по криволинейной орбите, имеется столько видов инертности, сколько рассматривается простых форм движения, составляющих орбитальную форму движения.
8.4. Энергия свободной частицы. Связь между массой и энергией
В ньютоновой механике работа силы равна приращению кинетической энергии:
. В СТО понятие силы обобщено, и работу релятивистской силы нужно заново вычислить. Найдем работу релятивистской силы
на элементарном перемещении
частицы
.
Здесь использовано правило дифференцирования произведения функций; учтено что
и
. Объединяя оба слагаемые под одним дифференциалом, окончательно получаем
|
| (8.9) |
Найденное равенство показывает, что работа силы равна приращению величины
. Поэтому последнюю следует истолковать как энергию движущегося тела (частицы):
Эта формула, установленная Эйнштейном в 1905 г., в начале прошлого столетия вызывала сомнение, а позже обеспечила полный триумф теории относительности. Формула (8.10) устанавливает связь между массой (покоя) и энергией тела при его скорости
.
Из формулы Эйнштейна вытекает важное открытие 20 века: любое тело в состоянии покоя обладает колоссальной энергией, равной
|
| (8.11) |
Например, тело массой т0 = l кг обладает энергией
Дж, т.е. оно обладает энергией, которую, например, Днепровская ГЭС вырабатывает за 8 лет, давая в год 3 млрд. квт.-ч. энергии.
Дадим определение: кинетической энергией тела называется разность
,
откуда
или
|
| (8.12) |
Формула (8.12) для энергии определяет сумму двух энергий: энергии покоя (она относится в внутренней энергии)
и кинетической
.
ИНВАРИАНТНОСТЬ И СОХРАНЕНИЕ МАССЫ
Свойство тела, от которого зависит его ускорение при взаимодействии с другими телами, называется инертностью. Количественной мерой инертности тела является масса тела. Чем большей массой обладает тело, тем меньшее ускорение оно получает при взаимодействии.
Отношение масс взаимодействующих тел равно обратному отношению модулей ускорений:
m1/m2 = a2/a1
За единицу массы в Международной системе принята масса эталона, изготовленного из сплава платины и иридия, называемая килограммом (кг).
Массу mm любого тела можно найти, осуществив взаимодействие этого тела с эталонной массой mm.
Измерив модули ускорений am тела и aэm эталона, можно найти отношение массы тела к массе эталона mm:
mm/mэm = aэm/am
Масса тела может быть выражена через массу эталона mm:
mm = mэm ? (aэm/am)
Масса тела – это физическая величина, характеризующая инертность.
Вес – это сила, с которой тело вследствие притяжения к Земле или другой планете давит на опору.
Вес зависит не только от самого тела. К примеру, вес тела на Земле отличается от веса тела на Луне в 6 раз; на полюсе тело весит на 0,5 % больше, чем на экваторе. При поднятии тела над земной поверхностью в одном каком<нибудь пункте вес становится все меньше и меньше, а тяготеющая масса не изменяется, так как она является характеристикой тела, а не его положения. Отношение весов двух тел в одной и той же точке Земли в любых условиях остается неизменным. В отличие от веса масса является неизменным свойством тела, не зависящим ни от чего, кроме как от этого тела.
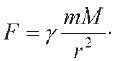
Тяготеющая (гравитационная) масса – это один из факторов, от которых зависит сила взаимного притяжения двух тел, что и выражено формулой закона всемирного тяготения:
Здесь m – масса одного тела; M – масса другого тела, а r – расстояние между ними.
Инертная же масса, от которой зависит ускорение a, получаемое телом под действием силы, входит в формулу второго закона Ньютона F = ma.
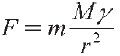
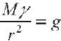
В применении к свободному падению под действием силы тяжести эта формула принимает вид: P = mg, где P – вес, а g – ускорение силы тяжести. Эту же формулу мы можем получить из формулы закона всемирного тяготения, придав ей вид
и положив
где теперь будет характеристикой поля тяготения тела с массой M (Земля, Луна) на расстоянии r от центра масс.
Следует упомянуть, что по аналогии с законом сохранения заряда существует закон сохранения массы.
Масса любой замкнутой физической системы, в которой отсутствует поток массы как внутрь системы, так и наружу, с течением времени остается постоянной.
Если растворить сахар в воде, то масса раствора будет строго равна сумме масс сахара и воды. При любом дроблении и при растворении масса остается одной и той же. То же самое имеет место и при любых химических превращениях.
При взвешивании для определения массы используется способность всех тел взаимодействовать с Землей. Тела, обладающие одинаковой массой, одинаково притягиваются к Земле.
Если взять два тела с массами m1 и m2, соединить их и измерить массу получившегося тела, то его масса m3 оказывается равной сумме масс m1 и m2 этих тел:
m3 = m1+ m2. Это позволяет определить массу тел уравновешиванием с помощью набора гирь на равноплечих весах.
Кинетическая энергия релятивистской частицы
.
Закон взаимосвязи массы и энергии
.
Энергия покоя
.
Взаимосвязь массы и энергии покоя
. Молекулярные спектры. Молекула является квантовой системой; она описывается уравнением Шредингера, учитывающим движение электронов в молекуле, колебания атомов молекулы, вращение молекулы. Решение этого уравнения - очень сложная задача, которая обычно разбивается на две: для электронов и ядер.
Характеристики
Тип файла документ
Документы такого типа открываются такими программами, как Microsoft Office Word на компьютерах Windows, Apple Pages на компьютерах Mac, Open Office - бесплатная альтернатива на различных платформах, в том числе Linux. Наиболее простым и современным решением будут Google документы, так как открываются онлайн без скачивания прямо в браузере на любой платформе. Существуют российские качественные аналоги, например от Яндекса.
Будьте внимательны на мобильных устройствах, так как там используются упрощённый функционал даже в официальном приложении от Microsoft, поэтому для просмотра скачивайте PDF-версию. А если нужно редактировать файл, то используйте оригинальный файл.
Файлы такого типа обычно разбиты на страницы, а текст может быть форматированным (жирный, курсив, выбор шрифта, таблицы и т.п.), а также в него можно добавлять изображения. Формат идеально подходит для рефератов, докладов и РПЗ курсовых проектов, которые необходимо распечатать. Кстати перед печатью также сохраняйте файл в PDF, так как принтер может начудить со шрифтами.
















