(7) (1264499), страница 2
Текст из файла (страница 2)
Масса образовавшейся частицы
.
Энергия связи
.
Дефект массы
.
Условие существования черной дыры
Размеры черной дыры
.
На каком расстоянии от центра Земли (в долях радиуса Земли R), ускорение свободного падения в 9 раз меньше, чем на поверхности Земли?
1) 1,25R 2) 1,5R 3) 2R 4) 3R 5) 9R.
| Дано: g3 = 9gh | Решение: | |
| Ускорение свободного падения на поверхности Земли | ||
| r – ? |
ускорение свободного падения на высоте h:
, где r = R + h, g3 = 9gh. Поделив одно уравнение на другое, получим r = 3R3.
Ответ: [4]
Изменение кинетической энергии
| Теорема об изменении кинетической энергии Рассмотрим движение произвольной точки системы из первого положения во второе:
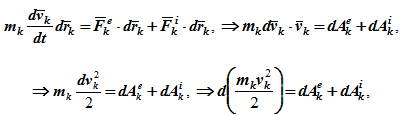
где Fke - внешние силы, действующие на систему, Fki - внутренние силы системы. Умножим обе части уравнения скалярно на дифференциал радиуса-вектора drk тогда
или dTk = dAke + dAki , (1.1) где Tk - кинетическая энергия точки; далее получим
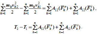
Просуммируем по всем точкам системы
То есть, изменение кинетической энергии механической системы на некотором перемещении равно сумме работ внешних и внутренних сил, действующих на систему, на том же перемещении. Если в формуле (1.1) обе части уравнения разделить на dt, то можно записать теорему об изменении кинетической энергии системы в дифференциальной форме: производная по времени от кинетической энергии механической системы равна сумме мощностей внешних и внутренних сил, действующих на систему. dTk / dt = dAke / dt + dAki / dt , dTk / dt =Nke + Nki. Суммируя по всем точкам системы, получим dT / dt = ∑Nke + ∑Nki. Из теоремы следует закон сохранения механической энергии. Если механическая система является консервативной, то полная механическая энергия системы Т + П, равная сумме кинетической и потенциальной энергий, при движении системы остается постоянной. При движении механической системы в потенциальном силовом поле получаем T2 -T1 = A12. По определению потенциальной энергии П1 - П2 = A12. Тогда T2 - T1 = П1 - П2 , T2+ П2 = T1 + П1 , Т + П = const. |
;
















