(2) (1264493)
Текст из файла
Билет 2.
Всякое движение твердого тела можно разложить на два основных вида движения – поступательное и вращательное.
Поступательное – это такое движение, при котором любая прямая, связанная с движущимся телом, остается параллельной самой себе. При вращательном движении все точки тела движутся по окружностям, центры которых лежат на одной и той же прямой, называемой осью вращения. Которая может находиться и вне тела. Для того чтобы получить возможность описывать движения количественно, приходится связывать с телами, обращающими систему отсчета, систему координат. Тогда положение материальной точки можно определить, задав три числа x,y,z – декартовы координаты этой точки. Положение материальной точки и соответствующий ему момент времени регистрируются по ближайшим к материальной точке масштабам и часам.
Формулы для равномерного кругового движения
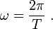
Для движения по кругу радиуса R длина окружности будет C = 2π R. Если период вращения есть T, то угловая скорость вращения ω будет равна:
Скорость движения объекта равна
Угол поворота θ за время t равен:
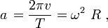
Ускорение, вызванное изменением направления скорости, можно найти, если заметить, что скорость совершает полное изменение направление за то же самое время T, за которое объект делает один оборот. Тогда вектор скорости проходит путь длиной 2π v каждые T секунд, или:
и направлено радиально к центру.
Ось вращения изображена вектором Ω, перпендикулярно плоскости орбиты и имеет величину ω = dθ / dt. Направление вектора Ω выбрано в соответствии с правилом правой руки. По этому соглашению скорость это векторное произведение вида:
и есть вектор, перпендикулярный как Ω так и r ( t ), направленный по касательной к орбите и имеющий величину ω R. Аналогично, ускорение определяется как:
Оно представляет собой вектор, перпендикулярный как Ω так и v ( t ), имеющий величину ω |v| = ω2 R и направление строго противоположно к r ( t ).
Описание кругового движения в полярных координатах
Рис. 2: Полярные координаты для круговой траектории. Единичная окружность слева показывает изменение и единичных векторов и для малого приращения dθ угла θ.
Траектория кругового движения тела может быть описана в полярной системе координат значениями фиксированного расстояние R от центра орбиты, являющейся точкой осчёта, и угла ориентации θ (t) от некоторого фиксированного направления (рис. 2). Вектор перемещения является радиальным вектором от полюса до текущего положения:
где — единичный вектор, параллельный радиусу в момент t и направленный от полюса. Удобно также ввести единичный векторортогональный к , который назовём . Обычно его ориентация выбирается по направлению движения вдоль орбиты.
Скорость является производной перемещения по времени:
Характеристики
Тип файла документ
Документы такого типа открываются такими программами, как Microsoft Office Word на компьютерах Windows, Apple Pages на компьютерах Mac, Open Office - бесплатная альтернатива на различных платформах, в том числе Linux. Наиболее простым и современным решением будут Google документы, так как открываются онлайн без скачивания прямо в браузере на любой платформе. Существуют российские качественные аналоги, например от Яндекса.
Будьте внимательны на мобильных устройствах, так как там используются упрощённый функционал даже в официальном приложении от Microsoft, поэтому для просмотра скачивайте PDF-версию. А если нужно редактировать файл, то используйте оригинальный файл.
Файлы такого типа обычно разбиты на страницы, а текст может быть форматированным (жирный, курсив, выбор шрифта, таблицы и т.п.), а также в него можно добавлять изображения. Формат идеально подходит для рефератов, докладов и РПЗ курсовых проектов, которые необходимо распечатать. Кстати перед печатью также сохраняйте файл в PDF, так как принтер может начудить со шрифтами.
















