Лекция_8 (1048782)
Текст из файла
Лекция 8
Механические системы с конечным числом степеней свободы
В качестве примера систем с несколькими степенями свободы можно привести следующие задачи:
Система с тремя степенями свободы Система с четырьмя степенями свободы
Для систем с конечным числом степеней свободы существует несколько способов составления дифференциальных уравнений их движения.
Так же, как и для систем с одной степенью свободы, основным является способ, основанный на использовании уравнения Лагранжа II-го рода. В этом случае оно имеет следующий вид:
где T – полная кинетическая энергия системы;
U – полная потенциальная энергия системы;
и
– обобщенные координаты и скорости системы.
Таким образом, количество дифференциальных уравнений равно числу степеней свободы рассматриваемой системы.
Из курса теоретической механики известно, что при малых отклонениях обобщенных координат системы от положения равновесного состояния кинетическая и потенциальная энергии выражаются через обобщенные координаты и скорости следующими зависимостями:
Поэтому в теории механических колебаний принято говорить, что кинетическая энергия системы с конечным числом степеней свободы является однородной квадратичной функцией обобщенных скоростей, а потенциальная энергия – однородной квадратичной функцией обобщенных координат. Подставив выражения кинетической и потенциальной энергий в уравнение Лагранжа II-го рода, получим систему дифференциальных уравнений:
Кроме основного способа часто используются еще два. Один из них называется прямой, а второй – обратный.
Согласно прямому способу из системы выделяются сосредоточенные массы, и каждая из них рассматривается как независимое тело, находящееся под действием восстанавливающих сил, выраженных через обобщенные координаты и скорости.
При обратном способе после отделения сосредоточенных масс рассматривается безынерционная системы упругих связей, находящаяся под действием кинетических реакций отдельных частей системы, выраженных через обобщенные ускорения.
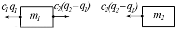
Для ясности всего вышесказанного составим систему дифференциальных уравнений движения тремя способами для следующего примера:
В качестве обобщенных координат выберем смещение тел от положения равновесного состояния.
Уравнение Лагранжа II-го рода
Определим кинетическую энергию системы:
и ее потенциальную энергию:
На основании полученных зависимостей определим составляющие уравнения Лагранжа:
В результате получаем следующую систему:
Таким образом, инерционные коэффициенты и коэффициенты жесткости:
Прямой способ
Выделим все массы и рассмотрим их как независимые тела, заменив упругие связи соответствующими силами:
Используя квазистатический метод, запишем условие равновесия каждого тела:
Инерционные коэффициенты и коэффициенты жесткости в этом случае, очевидно, будут точно такими же, как и в предыдущем случае.
Обратный способ
Заменим теперь все массы системы их силами инерции.
Определим деформацию первой пружины, которая определяется двумя силами инерции
и
. Поскольку система линейна, то к ней применим принцип суперпозиции:
Величина второй обобщенной координаты складывается из двух перемещений:
После несложных преобразований получаем:
В результате инерционные коэффициенты и коэффициенты жесткости:
Как видно, системы дифференциальных уравнений, составленные по основному и прямому способам, совпали, а система, полученная обратным способом, отлична от них. Это вполне допустимо, и ничего криминального в этом нет. То, что уравнения, составленные основным и прямым способами, совпали, вполне объяснимо. Если мы внимательно посмотрим на зависимости, определяющие кинетическую и потенциальную энергии системы, то заметим, что кинетическая энергия определяется в нашем случае только квадратами обобщенных скоростей, а в выражение потенциальной энергии входит слагаемое, определяемое произведением двух координат
и
. Так вот, если в выражение кинетической энергии входят только слагаемые, зависящие от квадратов обобщенных скоростей, то есть:
то такая форма записи энергии называется канонической.
Если кинетическая энергия системы имеет каноническую форму записи, то уравнения, составленные основным и прямым способами, должны совпадать.
В принципе, для нашего случая можно было бы выбрать такие обобщенные координаты, что потенциальная энергия определялась бы только слагаемыми, зависящими от квадратов обобщенных координат, то есть:
а в выражение кинетической энергии входили бы слагаемые, зависящие от произведения двух обобщенных скоростей. В этом случае мы сказали бы, что потенциальная энергия имеет каноническую форму записи, и системы уравнений, составленных основным и обратным способами, должны совпадать.
Таким образом, в случае использования прямого способа
, если
. Поэтому система дифференциальных уравнений должна иметь вид:
При использовании обратного способа
, если
. Система уравнений в этом случае имеет вид:
Весьма важным обстоятельством является то, что обобщенные координаты можно выбрать таким образом, что кинетическая и потенциальная энергии системы будут иметь каноническую форму записи, то есть:
Такие координаты, при которых и кинетическая, и потенциальная энергии системы имеют каноническую форму записи, называются главными. Если подставить выражения энергий, полученных для главных координат, в уравнение Лагранжа II-го рода, то получим очень простую систему дифференциальных уравнений:
Или, в общем виде:
Как видно, все дифференциальные уравнения, входящие в систему, независимы друг от друга, что позволяет решать их так же независимо друг от друга.
Вы можете сказать мне, что все это хорошо, да только неизвестно, как нужно выбирать координаты, чтобы они оказались главными. На что я отвечу, что делать это сравнительно просто, но познакомимся со способом, позволяющим определять главные координаты системы, несколько позже. А сейчас займемся другим не менее важным делом.
Определение частот собственных колебаний механических систем с конечным числом степеней свободы
Итак, если задана система дифференциальных уравнений
где
, то будем искать ее частное решение в следующем виде:
то есть все обобщенные координаты колеблются с одной частотой k, но с разными амплитудами
.
Подставим принятое частное решение в исходную систему дифференциальных уравнений:
Таким образом, мы получим систему алгебраических уравнений относительно неизвестных амплитуд колебаний
. Для того, чтобы эта система имела нетривиальное решение, необходимо, чтобы определитель, составленный из коэффициентов при неизвестных, был равен нулю:
После раскрытия этого уравнения получим алгебраическое уравнение i-ой степени относительно квадрата частоты k, которое в теории колебаний называется частотным уравнением:
Количество корней этого уравнения равно числу степеней свободы системы, и их принято обозначать
. Обычно их располагают в порядке возрастания:
и называют собственными частотами системы, а величину
– основной частотой.
Для систем, обладающих двумя или тремя степенями свободы, нахождение корней частотного уравнения не представляет особой трудности. Но, в случае, если число степеней свободы превышает три, эта задача становится весьма сложной. Поэтому, в настоящее время, для систем с
рекомендуется решать эту задачу на ЭВМ с использованием численных методов.
Однако, вернемся опять к нашей задаче. Таким образом, каждому корню частотного уравнения kk соответствует частное решение:
В таком случае, очевидно, общее решение системы дифференциальных уравнений можно записать как сумму всех частных решений:
где
– амплитуда колебаний j-ой обобщенной координаты при первой собственной частоте k1;
– амплитуда колебаний j-ой обобщенной координаты при второй собственной частоте k2;
– амплитуда колебаний j-ой обобщенной координаты при i-ой собственной частоте ki;
Общее решение можно также записать и в более сокращенном виде:
Характеристики
Тип файла документ
Документы такого типа открываются такими программами, как Microsoft Office Word на компьютерах Windows, Apple Pages на компьютерах Mac, Open Office - бесплатная альтернатива на различных платформах, в том числе Linux. Наиболее простым и современным решением будут Google документы, так как открываются онлайн без скачивания прямо в браузере на любой платформе. Существуют российские качественные аналоги, например от Яндекса.
Будьте внимательны на мобильных устройствах, так как там используются упрощённый функционал даже в официальном приложении от Microsoft, поэтому для просмотра скачивайте PDF-версию. А если нужно редактировать файл, то используйте оригинальный файл.
Файлы такого типа обычно разбиты на страницы, а текст может быть форматированным (жирный, курсив, выбор шрифта, таблицы и т.п.), а также в него можно добавлять изображения. Формат идеально подходит для рефератов, докладов и РПЗ курсовых проектов, которые необходимо распечатать. Кстати перед печатью также сохраняйте файл в PDF, так как принтер может начудить со шрифтами.















