Мальцев В.М., Мальцев М.И., Кашпоров Л.Я. - Основные характеристики горения (1043377), страница 31
Текст из файла (страница 31)
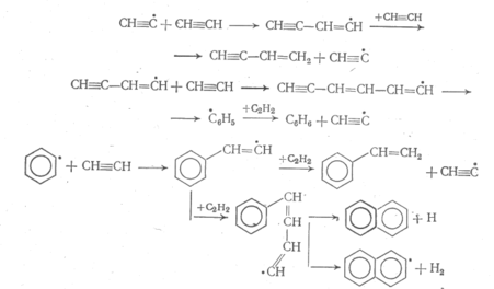
При не очень высоких температурах бирадикалы СН = СН и СН = СН—СН = СН не могут вызвать цепного процесса разложения ацетилена. Монорадикалы же, образующиеся по второй реакции, могут положить начало цепному процессу:
В результате образуется винил ацетилен, бензол, стирол, нафталин, что хорошо согласуется с составом продуктов крекинга при невысоких температурах. При снижении температуры процесса вероятность образования высокомолекулярных продуктов должна повышаться. Упрощенная схема крекинга при умеренных температурах может быть записана следующим образом [8, с. 214]:
Обрыв цепи осуществляется при рекомбинации двух радикалов.
При высоких температурах и низких давлениях возникновение монорадикалов, способствующих развитию цепного процесса с наибольшей скоростью должно происходить по реакциям
Цепь может развиваться следующим образом:
Есть основания считать [8, с. 216], что при 1070—1480°С термическое разложение ацетилена и образование винилацетилена происходит в основном не цепным, а радикальным путем, так как радикальный процесс оказывается быстрее цепного.
Ароматические соединения. При температурах до 800 °С практически единственной реакцией при крекинге бензола является образование дифенила
Одновременно в результате дальнейшей конденсации в небольших количествах образуются 1,4-, 1,3- и 1,2-дифенил бензолы и 1,3,5-трифенилбензол [20, с. 93]. Реакция образования дифенила является обратимой, что усложняет кинетику процесса.
При более высоких температурах происходит образование углерода на стенках реакционного сосуда и сажи в тазовом объеме. Углерод и сажа катализируют распад бензола до элементов. При температурах выше 800 °С газообразные продукты крекинга содержат кроме водорода небольшие количества метана и ацетилена, что свидетельствует о разрушении бензольного кольца.
Термическое разложение толуола исследовал Шварц в 1947 г. Исследования проводились при 680—850 90 и давлении 0,3— 2,0 кПа (2—15 мм рт. ст.) в проточной системе при малой (0,01— 1%) глубине превращения. В продуктах реакции содержались водород и метан в соотношении 2:3, бензол и дибензол. Макото [21] при 737—953 °С и давлении 0,6—1,3 кПа (5—10 мм рт. ст.) для распада толуола в струе нашел, что основными продуктами являются дибензил, диметилдифенил, водород и метан.
Продуктами крекинга дифенила при 400 °С [22] в ампулах из стекла «Пирекс» (t=30 мин) являются водород и бензол. В работе [23] приведены данные о крекинге дифенила в жидкой фазе в стеклянных ампулах в течение 7 суток. При 400°С продуктами разложения являются водород, метан и, по-видимому, бензол.
Нафталин при разложении дает высококипящие продукты конденсации и газ, содержащий главным образом водород (Тиличеев, 1941 г.). Однако в газе содержится также метан, что можно объяснить разрывом кольца.
При пиролизе антрацена в газовой фазе в токе азота при 700 и 950 °С [24] образуются диантрилы, в результате дальнейшей внутримолекулярной конденсации — дибензперилены. Одновременно в результате гидрирования образуется тетрагидроантрацен, а при его расщеплении — нафталин. В продуктах пиролиза при 950 °С авторы обнаружили метая, этилен и углеродистые отложения.
Разложение антрацена и стильбена в интервале температур 700—1400 °С при различной продолжительности пиролиза исследовали Соловейчик и Кокурин [25]. При небольшом времени пиролиза единственным газообразным продуктом разложения антрацена и стильбена в исследованном диапазоне температур является водород. При увеличении времени пиролиза в газообразных продуктах разложения Обнаружены метан (во всем исследованном диапазоне температур), этилен (при температуре 700—1000°С) и ацетилен (при температуре 900—1400°С).
Таким образом, первичной реакцией при термическом разложении незамещенных ароматических углеводородов является реакция
вслед за которой в зависимости от условий происходят процессы разрушения ароматической структуры.
Газообразными продуктами разложения уротропина при 700— 800 °С по данным Соловейчик и Кокурина являются водород, метан, этан и этилен. При увеличении температуры от 900 до 1100°С содержание метана, этана и этилена уменьшается, одновременно появляется ацетилен, содержание которого постепенно увеличивается.
В заключение отметим, что реакции термического разложения углеводородов часто подчиняются уравнению первого порядка. Энергии активации, кинетические характеристики и химизм разложения углеводородов рассмотрены в работе [8]. Схемы разложения метана, пропана, парафина, толуола, некоторых азот и кислородсодержащих соединений рассмотрены при обсуждении результатов анализа устойчивых газообразных продуктов в пламени (см. гл. II, § 2).
3. Разложение нитроэфиров, нитроаминов и других нитросоединений
Многие исследователи считают, что первоначальной стадией реакции термического разложения нитроэфиров является разрыв связи RO—NО2, в результате чего образуются молекула двуокиси азота и алкоксильный радикал. Последний превращается в продукты, содержащие альдегидные и гидроксильные группы, которые при взаимодействии с двуокисью азота приводят к образова-
Таблица III.1. Состав продуктов, образующихся при медленном разложении нитроэфиров [26]
нию конечных продуктов разложения — окиси и двуокиси углерода, окиси и закиси азота, азота, водорода и воды (табл. III.1). Разложение метилнитрата было изучено Апиным, Тодесом и Ха-ритоном в 1936 г. Они нашли, что при температурах 210—240 °С разложение происходит по следующей схеме:
Экспериментальные данные о разложении этилнитрата хорошо объясняются уравнениями [26]
Причем этилнитрит образуется почти с количественным выходом [27]. Образование свободных радикалов при разложения этил-нитрата установили Раис и Родовски в 1935 г. Медленное термическое разложение большого числа органических нитратов (нитро-эфиров) происходит по реакциям первого порядка, если принимаются меры против автокатализа и саморазогревания.
Результаты исследования распада полинитратов гликоля и глицерина, а также алкилмононитратов позволили выявить закономерности в отношении распада полинитратов [28, с, 46]. Согласно Кондрикову, схема распада полинитратов применительно к простейшему динитрату можно представить совокупностью следующих реакций:
Скорость распада окси-радикала больше скорости распада этилнитрата, а соотношение констант образования нитритнитрата и оксиальдегида меняется в пользу последнего.
Схема термического разложения нитритов в большой мере сходна со схемой .распада нитратов, особенно в начальной стадии, которая качественно тождественна (отрыв NO- и NO2-групп [28, с. 47]). Различия обусловлены возможностью образования воды и кислоты как участника и катализатора гидролиза.
Медленное термическое разложение нитроаминов напоминает разложение нитроэфиров [26]. Установлено, что многие реакции разложения нитроаминов имеют первый порядок. Разложения описанных соединений характеризуются большой энергией активации и высокими значениями предэкспоненциального множителя. Автокаталитическое действие и тепловой эффект в ряде случаев усложняют простую мономолекулярную схему разложения. Однако исследование продуктов разложения показало заметное отличие механизма разложения нитроаминов от нитроэфиров. В то время как начальная стадия разложения нитроэфиров сопровождается выделением NO2 с последующим восстановлением до NO, при разложении нитроаминов большая часть азота выделяется в виде N2О (табл. III.2). Разрыв связи RN—NO2 с выделением NO2 не является основным процессом при разложении нитроаминов. Поскольку конечная стадия процесса горения сопровождается восстановлением окислов азота, образующихся на начальных стадиях реакции, окисью углерода и водородом, можно ожидать, что сгорание нитроаминов и нитроэфиров происходит неодинаково, так как при реакции в газовой фазе в одном случае преобладает N2O, а в другом — NO.
Сравнение данных таблиц III.1 и III.2 показывает, что нитроамины более стойки при низких температурах, чем нитроэфиры.
Таблица III.2. Состав продуктов медленного разложения нитроаминов [26]
Авторы работы [32] исследовали термическое разложение твердого нитроамина — циклотриметилентринитроамина. Исследования проводили с монокристаллами, выращенными из ацетона методом медленного охлаждения. Эксперименты показали, что это соединение при температурах ниже 1650C, по крайней мере на на-чальных стадиях, разлагается без образования жидкой фазы и впроцессе термического распада практически полностью переходит
в газообразное состояние.
Полагая, что реакция термического распада протекает по механизму предложенному Робертсоном (1949 г.), авторы рассчитали, что 10-4% разложения достаточно для того, чтобы создать в кристалле напряжения, необходимые для образования и движения дислокаций. При этом напряжения возникают в результате деформации кристаллической решетки, вызванной несоответствием объемов молекул исходной матрицы и молекул продуктов реакции. Объем молекулы циклотриметилентринитроамина составляет (14,8 нм3); объем молекул продуктов реакции— (180 нм3) [32].
Развитие термического распада циклотриметилентринитроамина на начальных стадиях выглядит следующим образом. Реакция возникает на дефектных местах кристалла — либо исходных, либо вызванных температурными напряжениями. Вследствие несоответствия объемов молекул продуктов реакции и исходного вещества происходит деформация кристаллической решетки, приводящая к возникновению в кристалле дополнительных напряжений. Это, в свою очередь, способствует термической реакции в объеме, так как увеличивается дефектность кристалла. При развитии процесса продукты реакции не успевают диффундировать, их накопление приводит к образованию дефектных зон и столь большому росту напряжений, что кристалл растрескивается и начинается видимое газовыделение.
Разложение нитрометана рассмотрено в работах [28, с. 48; 29]. При низких давлениях 27—53 кПа (200—400 мм рт. ст.) в интервале температур 280—300 °С продукты разложения нитрометана содержат окись азота, закись азота, воду, окись углерода, метан, двуокись углерода, малые количества этилена и этана и следы двуокиси азота. Главным азотсодержащим соединением является NO; ее содержание по ходу распада уменьшается. Отношение [СО]:[СН4]:[СО2] (10:6,2:1,4) после разложения нитрометана на 5% остается постоянйым. Для начальных стадий при низких давлениях принимается следующая схема реакций:
















