181760 (596544)
Текст из файла
ОГЛАВЛЕНИЕ
ОГЛАВЛЕНИЕ
1. Теоретические основы дифференциации оплаты труда в национальной экономике
1.1 Сущность заработной платы и ее дифференциация
1.2 Рынок труда и факторы, влияющие на дифференциацию заработной платы
1.3 Методические основы организации оплаты труда на предприятии
Глава 2. Исследование дифференциации оплаты труда в Республике Корея
2.1 Анализ рынка труда Республики Корея
2.2 Дифференциация заработной платы в Республике Корея в зависимости от личностных характеристик работников
Глава 3. Тенденции и рационализация дифференциации заработной платы в Республике Корее
3.1 Исследования тенденций и причин дифференциации заработной платы в экономике Южной Кореи
3.2 Организация дифференциации оплаты труда на основе мотивационной политики
3.3 Рационализация дифференциации заработной платы в Республике Корея
Заключение
1. Теоретические основы дифференциации оплаты труда в национальной экономике
1.1 Сущность заработной платы и ее дифференциация
Существуют два направления, объясняющие существование дифференциации заработной платы. Это: конкурентная модель и модель сдельной оплаты труда.
Сторонники конкурентной (неоклассической) модели для объяснения различий в заработной плате прибегают к общим предположениям, из которых более всего выделяют закон о единой зарплате. Согласно одному из таких предположений, работники и работодатели обладают полной информацией, и для работников отсутствуют барьеры для передвижения. Из этих предположений родилась одна неоклассическая интерпретация, суть которой заключается в следующем: если появляется разница в оплате труда, то она является временным явлением, причины которого лежат в нехватке информации или в существовании барьеров для передвижения работников. Другое предположение выражает, что работники обладают едиными навыками и производительностью, а работодатели предоставляют одинаковые условия для труда и выполняемая работа идентична по всем показателям, кроме зарплаты. К тому же, из этого предположения мы можем извлечь неоклассические интерпретации, которые гласят, что существование разницы в зарплате возникает вследствие разного уровня квалификации работников или в результате различных условий труда.
Изменения в количестве предложения или спроса на рабочую силу на рынке труда может привести к появлению временной разницы в заработной плате у работников с равной производительностью. Причиной этому может стать нехватка информации об уровнях заработной платы и производственных возможностей, установившихся на данном рынке, или из-за наличия барьеров, препятствующих передвижению работников с одного рабочего места на другое. Согласно данному объяснению, разница в заработной плате с течением времени снижается и исчезает совсем, как только на рынке труда вновь устанавливается равновесие. Однако, существуют и такие разницы в уровнях оплаты труда, которые даже с течением времени остаются неизменными.
Возможно, именно это и является наиболее вероятным объяснением разницы в заработной плате с точки зрения конкурентной модели. Согласно этому объяснению, дифференциация заработной платы может отражать существование неучтенных характеристик рабочей силы. Она может возникнуть из-за того, что различные предприятия могут использовать разные технологии, которые в определенной степени чувствительны к квалификации работника. Из этого следует, что некоторые фирмы готовы платить более высокую заработную плату с целью привлечения более квалифицированного персонала.
Разница в заработной плате может быть также использована как компенсаторный механизм при негативных характеристиках работы или при скудных условиях труда. На чисто конкурентном рынке труда при возникновении разницы в заработной плате, не связанной с уровнем квалификации работников, чаще всего причиной являются различные условия труда. В таком случае, разница в заработной плате является ошибка в расчетах, в результате того, что этот аспект не указывается в отчете о нефинансовых затратах при устройстве на работу.
Метод сдельной оплаты труда предполагает, что характеристики работы оказывают постоянное влияние на уровень зарплаты, потому что они оказывают воздействие на оптимальный уровень оплаты труда, который выбирается предприятиями. В его самой упрощенной форме, метод сдельной оплаты труда может быть описан через производственную функцию предприятия:
Y = S F [E(W),L], (1.2)
где: L - это количество работников, a W - размер зарплаты. S отражает изменения в технологии, Е определяет уровень затраченных усилий. Функция затраченных усилий E(W) зависит от размера заработной платы; выплачиваемой фирмой, и она может быть как E'(W) > 0, так и E"(W) < 0.
Условие первого порядка для фирмы, которая максимизирует свою прибыль с использованием W и L имеет следующий вид (3):
E'(W)/E(W) I E(W) s F[E(W) L] = W (1.3)
где: W - равновесная заработная плата. Условия второго порядка, которые требуют того, чтобы эластичность затраченных усилий была убывающей, также обеспечивают максимизацию прибыли.
Равновесная заработная плата W имеет три характеристики: во-первых, эластичность затраченных усилий в зависимости от зарплаты равна единице; во-вторых, W минимизирует затраты на рабочую силу в расчете на единицу полезного труда; в-третьих, W не зависит от s, s не повлияет на уровень заработной платы.
Фирма будет продолжать нанимать работников до тех пор, пока предельный продукт от каждой последующей единицы нанятого не станет равным размеру заработной платы, поэтому нет необходимости приравнивать уровень найма к числу всех желающих получить работу. Безработицу можно объяснить действующей неизменяемостью заработной платы, которая обеспечивается сопротивлением работодателей гибкости зарплаты. Такое поведение фирмы, при котором она выплачивает более высокую заработную плату, чем установившаяся на рынке, можно объяснить тем, что фирма не всегда максимизирует свою прибыль или тем, что выплата фирмой более высокой заработной платы не столь дорогостоящая из соображений сдельной оплаты труда. Было представлено несколько различных версий метода сдельной оплаты труда, дающие возможное объяснение выплаты неконкурентоспособной заработной платы.
Первая это модель текучести рабочей силы, которая гласит, что более высокие размеры заработной платы выплачиваются с тем, чтобы минимизировать убытки от текучести рабочей силы. Салоп (1979) и Стиглиц (1974, 1995) выдвинули предложение о том, что, если убытки от текучести рабочей силы высоки и находятся в обратной зависимости от уровня заработной платы, выплачиваемом фирмой, то для того, чтобы минимизировать эти убытки, фирме следует увеличить ставку заработной платы.
Вторая версия состоит в том, что увеличение объема заработной платы приводит к увеличению затраченных усилий работника. Работники, которые получают заработную плату, равную стоимости их альтернативных издержек, имеют малый стимул к качественному выполнению работы и потеря ими рабочего места не составит значительного дефицита в их бюджете. Модели, разработанные Кальво (1984), Калопом (2007), Шапиро и Стиглицем (1984), предсказывают, что фирмы, выплачивающие высокую заработную плату имеют высокие затраты на контроль за качеством выполняемой работы или высокие убытки, возникшие в результате работы с более низкой производительностью труда.
Как альтернатива вышесказанному, третья модель гласит, что чувство преданности работника по отношению к своей фирме растет вместе с тем, насколько щедро фирма делится с ним сdоей прибылью. Акерлов и Йеллен (1988) спорят о том, что производительность работника зависит не только от справедливости ставки, но и от того, как соотносится его доход с доходом других сотрудников и фирмы. Эта модель опирается на понятие относительной надбавки, которая не очень эффективно объясняется с помощью функции полезности.
Четвертая группа моделей основывается на изучении подбора персонала. Работы Гарена (1995) так же как и работы Уэйсса и Ландау (1984) предполагаю, что фирмы, выплачивающие высокую заработную плату, привлекают большой круг квалифицированных специалистов, и, что высокая ставка заработной платы желательна, если невозможно сразу определить квалификацию данного человека.
С помощью этих моделей можно объяснить, почему характеристики фирм или отдельных отраслей промышленности могут повлиять на ставку заработной платы. Оптимальный уровень оплаты груда будет изменяться в зависимости от способности предприятия нести убытки от текучести рабочей силы или от дополнительных издержек, связанных с контролем над качеством выполнения работы персоналом. Все это может быть вызвано различиями в способе управления и/или в технологиях производства.
Таким образом, теория человеческого капитала, теория мотивации и теория рынка труда во многом объясняют природу дифференциации в оплате труда. Дифференциация заработной платы такое же естественное явление, как и многообразие цен на другие рыночные товары, определяемое спросом и предложением качественными характеристиками, потребительскими свойствами, полезностью торгуемых продуктов и услуг. С другой стороны различия в оплате труда во многом определяется поведением самого человека: его предпочтениями; неоднородностью психофизиологических качеств, образованием. На дифференциацию заработной платы несомненное влияние оказывают государственное регулирование, профсоюзы, несовершенство самого рынка труда.
Измерение дифференциации заработной платы может осуществляться несколькими способами. Все способы использует анализ статистических рядов, где приводятся данные о средней заработной плате по отдельным группам работников и их числе в группе. Наиболее простой - построение гистограммы, которая показывает, сколько человек получали в течение определенного периода одинаковую заработную плату. Как правило, используются не абсолютные, а относительные частоты, то есть процент работников, получивших тот или иной доход.
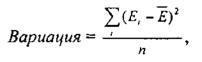
В статистике большинства стран для подобных характеристик обычно используется не средний, а медианный их уровень, то есть уровень, выше и ниже которого получают заработную плату одинаковое число работников. Однако подобные показатели, не позволяют измерить степень дифференциации заработной платы. В этих целях используют показатель вариации распределения.
где: Ei - заработок i -го работника; Е - средний уровень заработка; п - численность работников.
Показатель вариации имеет один существенный недостаток, связанный с тем, что общее увеличение заработной платы может его изменить. Например, если заработная плата удваивается, а соотношение средней и индивидуальной заработной платы сохраняются, вариация возрастет в четыре раза. Чтобы избегать этого, статистике используется коэффициент вариации: квадратный корень из вариации, деленный на среднее значение заработной платы:
Еще один известный способ соотношения заработной платы наиболее и наименее оплачиваемых работников. Все работники разбиваются на равные по численности десяти -двадцати, - или двадцатипяти процентовые группы, а затем доход, полученный последней группой, делят на доход полученный первой группой. Получают децильные, квинтильный, квартальные коэффициенты фондов.
где: Ē10 - средняя заработная плата в 10 группе; Ē1- средняя заработная плата в 1 группе.
Более сложный анализ дифференциации доходов населения состоит в расчете накопленных или кумулятивных кривых (Кривая Лоренца). Кривая Лоренца показывает, какую долю суммарного дохода получают 20% самого бедного населения, 40 %, 60 % и т.д. Если все будут получать равный доход, кривая Лоренца выглядела как прямая линия. Однако, как правило, самые бедные 20% имеют суммарные доходы, ниже, чем 20% и кривая отодвигается от прямой. Чем дальше эта кривая от прямой, тем выше степень дифференциации доходов.
Отношение площади фигуры S к общей площади треугольника OEN называется коэффициентом концентрации доходов или коэффициента Джини.
Коэффициент Джини может быть представлен и в виде следующей формулы:
где: Рi - доля населения имеющего доход не выше, чем его максимальный уровень в i - й группе; qi - доля доходов i - й группы в общей сумме доходов населения, исчисленная порастающим итогом.
Коэффициент Джини изменяется в процентах от 0 до 1. Чем больше Ki к 1, тем выше степень концентрации доходов в отдельных группах, тем выше неравенство доходов.
Таблица 1. Коэффициент Джини в отдельных странах в 80-е годы.
| Страна | Коэффициент Джини |
| Финляндия | 0,20 |
| Швеция | 0,21 |
| ФРГ | 0,25 |
| Канада | 0,28 |
| Франция | 0,30 |
| Австрия | 0,31 |
| США | 0,34 |
Неравенство в доходах наблюдается во всех развитых странах и обусловлено оно в первую очередь дифференциацией заработной платы. Различия в оплате труда стимулируют движение рабочей силы, уменьшение человеческого капитала, повышение производительности и качества работы.
1.2 Рынок труда и факторы, влияющие на дифференциацию заработной платы
Все многообразие факторов, влияющих на различия в оплате труда, можно свести к следующим группам: разнообразие рабочих мест; разнородность работников; соотношение спроса и предложения на рынке труда, политика государства, поведение профсоюзов и союзов предпринимателей и т.п. Все многообразие факторов, влияющих на дифференциацию заработной платы, представлено на рис 1. Здесь же предпринята попытка объединить их в группы.
Подобная классификация причин различий в заработной плате содержатся в трудах Эренберга Р., Смита Р., Макконела К., Брю С. Филера Р. и др. Однако, как правило, схемы включают только две группы факторов: неоднородность рабочих мест и работников. Влияние рынка, государственной политики, профсоюзов не выделяется.
В тоже время различия в заработной плате выступают в качестве основной причины в дифференциации доходов населения - проблеме, которая постоянно беспокоит общество.
Характеристики
Тип файла документ
Документы такого типа открываются такими программами, как Microsoft Office Word на компьютерах Windows, Apple Pages на компьютерах Mac, Open Office - бесплатная альтернатива на различных платформах, в том числе Linux. Наиболее простым и современным решением будут Google документы, так как открываются онлайн без скачивания прямо в браузере на любой платформе. Существуют российские качественные аналоги, например от Яндекса.
Будьте внимательны на мобильных устройствах, так как там используются упрощённый функционал даже в официальном приложении от Microsoft, поэтому для просмотра скачивайте PDF-версию. А если нужно редактировать файл, то используйте оригинальный файл.
Файлы такого типа обычно разбиты на страницы, а текст может быть форматированным (жирный, курсив, выбор шрифта, таблицы и т.п.), а также в него можно добавлять изображения. Формат идеально подходит для рефератов, докладов и РПЗ курсовых проектов, которые необходимо распечатать. Кстати перед печатью также сохраняйте файл в PDF, так как принтер может начудить со шрифтами.
















