(46) (1264542)
Текст из файла
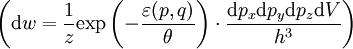
Распределение Максвелла – Больцмана:
Закон Максвелла даёт распределение частиц по значениям кинетической энергии, а закон Больцмана – распределение частиц по значениям потенциальной энергии. Оба распределения можно объединить в единый закон Максвелла – Больцмана:
Статистика Максвелла — Больцмана — статистический метод описания физических систем, содержащих большое число невзаимодействующих частиц, движущихся по законам классической механики (то есть классического идеального газа); предложена в 1871 г. австрийским физиком Л. Больцманом.
Вывод распределения
Из общего распределения Гиббса. Рассмотрим систему частиц, находящуюся в однородном поле. В таком поле каждая молекула идеального газа обладает полной энергией
, где
— кинетическая энергия её поступательного движения, а
— потенциальная энергия во внешнем поле, которая зависит от её положения.
Подставим это выражение для энергии в распределение Гиббса для молекулы идеального газа
(где
— вероятность того, что частица находится в состоянии со значениями координат
и импульсов
, в интервале
)
имеем:
,
где интеграл состояний равен:
интегрирование ведется по всем возможным значениям переменных. Далее интеграл состояний можно написать в виде
,
мы находим, что нормированное на единицу распределение Гиббса для молекулы газа при наличии внешнего поля имеет вид:
.
Полученное распределение вероятностей, характеризующее вероятность того, что молекула имеет данный импульс и находится в данном элементе объёма, носит названиераспределение Максвелла — Больцмана.
Что не влезло это минус у делить кт все в скобках и умножить на дв
Характеристики
Тип файла документ
Документы такого типа открываются такими программами, как Microsoft Office Word на компьютерах Windows, Apple Pages на компьютерах Mac, Open Office - бесплатная альтернатива на различных платформах, в том числе Linux. Наиболее простым и современным решением будут Google документы, так как открываются онлайн без скачивания прямо в браузере на любой платформе. Существуют российские качественные аналоги, например от Яндекса.
Будьте внимательны на мобильных устройствах, так как там используются упрощённый функционал даже в официальном приложении от Microsoft, поэтому для просмотра скачивайте PDF-версию. А если нужно редактировать файл, то используйте оригинальный файл.
Файлы такого типа обычно разбиты на страницы, а текст может быть форматированным (жирный, курсив, выбор шрифта, таблицы и т.п.), а также в него можно добавлять изображения. Формат идеально подходит для рефератов, докладов и РПЗ курсовых проектов, которые необходимо распечатать. Кстати перед печатью также сохраняйте файл в PDF, так как принтер может начудить со шрифтами.
















