ДИПЛОМ (1219162), страница 3
Текст из файла (страница 3)
Аналогичная система для полинома второй степени (1.21):
имеетвид
| | (1.22) |
Для полинома третьей степени (1.23):
система нормальных уравнений записывается следующимобразом (1.24):
Параметры экспоненциальных и S-образных кривых находят применением более сложных методов. Для простой экспоненты (1.25):
| | (1.25) |
предварительно логарифмируют выражение по некоторомуоснованию (например, десятичному или натуральному) (1.26):
т.е. для логарифма функции получают линейное выражение, а затем для неизвестных параметров
и
составляют систему нормальныхуравнений, аналогичную системе для полинома первойстепени. Решая ее, находят логарифмы параметров,а затем и сами параметры модели.
Различают два случая определения параметров кривых роста, имеющихасимптоты (модифицированная экспонента, кривая Гомперца, логистическая кривая). Если значение асимптоты kзаранее известно, то модифицировав формулу и прологарифмировав по некоторому основанию определение параметров сводятся к решению системы нормальных уравнений, неизвестными которой являются логарифмыпараметров кривой.
Если значение асимптоты заранее неизвестно, то для нахождения параметров кривых роста используются приближенные методы: трех точек, трех сумм и другие.
Таким образом, при моделировании экономической динамики, заданной временным рядом, путем сглаживанияисходного ряда, определения наличия тренда, отбора однойили нескольких кривых роста и определения их параметровв случае присутствия тренда получают одну или несколько трендовых моделей для исходного временного ряда. Возникает вопрос: насколько эти модели близки к экономической реальности, насколько обоснованоприменение этих моделей для анализа и прогнозирования изучаемого явления? Этот вопрос будетрассмотрен в следующем подразделе [3].
-
Оценка точности и адекватности трендовых моделей
Несмотря на вид и способ построения экономико-математической модели вопрос о возможности ее примененияв целях анализа и прогнозирования экономического явления может быть решен в соответствии модели исследуемого процесса илиобъекта. Полного соответствия модели реальномупроцессу или объекту не может быть. Адекватность — это некоторое условное понятие. При моделировании берется во внимание адекватность по свойствам модели,которые будут самыминаилучшими для любых исследований.
Трендовую модель
конкретного временного ряда
можно считать адекватной в том случае, если она правильно отражает все компоненты временного ряда. Это требование справедливо для того, чтобы остаточная компонента
полностью удовлетворяла свойствам случайной компоненты временного ряда:
• случайностью колебаний уровней остаточной последовательности;
• соответствием распределения случайной компоненты нормальному закону распределения;
• равенством математического ожидания случайной компоненты нулю;
• независимостью значений уровней случайной последовательности, то есть отсутствием существенной автокорреляции.
Если проверить случайность колебаний уровней остаточнойпоследовательности она будет означать проверку гипотезы о правильности выбора вида тренда. Для проведения исследования случайностиотклонений от тренда воспользуемся набором разностей (1.27):
| | (1.27) |
Поведение данных отклонений рассматривается с помощью ряда непараметрических критериев. Критерий серий, основанный на медиане выборки является одним из таких критериев.Ряд из величин
располагают в порядке возрастания ихзначений и находят медиану
полученного вариационного ряда, т.е. срединное значение при нечетном n или среднюю арифметическую из двух срединных значений при п четном.Вернувшись к исходной последовательности
и сравнивая значения этой последовательности с
, поставим «+», если значение
больше медианы и «˗ », еслионо будет меньше медианы.В случае равенства сравниваемых величин данное значение
опускается. Далее, получается последовательность,которая состоит из плюсов и минусов (общее число которых не превосходит n). Серией называется последовательность подряд идущих плюсов или минусов. Чтобы последовательность
являлась случайной выборкой, длительностьсамой длинной серии не должна быть слишком большой, а общеечисло серий — слишком малым.
Протяженность максимально длинной серии обозначим через
, а общее число серий — через v. Выборка будетслучайной, если выполняются следующие неравенства для 5% уровня значимости (1.28):
| | (1.28) |
где целая частьчисла—квадратные скобки.
Если нарушается одно из неравенств, то гипотеза о случайном характере отклонений уровней временного ряда от тренда отвергается и поэтому, трендоваямодель признается неадекватной.
Следующим критерием для нашей проверки может служитькритерийповоротныхточек. Уровень последовательности
будем считать максимальным, если он будет больше несколькихрядом стоящих уровней, т.е.
и минимумом,если он будет меньше обоих соседних уровней, т.е.
.В обоих случаях
считается поворотной точкой.Обозначим через pобщее число поворотных точек для остаточной последовательности
.
В случайной выборке математическое ожидание числа точек поворота
и дисперсия
выражаются формулами (1.29):
|
| (1.29) |
Критерием случайности с пятипроцентным уровнем значимости (с доверительной вероятностью 95%), является выполнениенеравенства (1.30):
где целая частьчисла обозначена квадратными скобками. Если это неравенство не выполнится, то трендовая модель будет неадекватной.
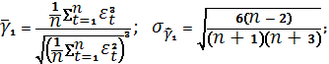
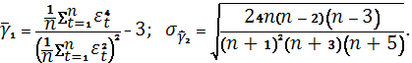
Проверка соответствия распределения случайной компоненты нормальному закону распределения может бытьпроизведена лишь приближенно с помощью исследованияпоказателей асимметрии (
) и эксцесса (
),так как временныеряды, как правило, не очень велики. При нормальном распределении показатели асимметрии и эксцесса некоторойгенеральной совокупности равны нулю. Мы предполагаем, чтоотклонения от тренда представляют собой выборку из генеральной совокупности, поэтому можно определить только выборочные характеристики асимметрии и эксцесса и их ошибки (1.31):
В данных формулах
является выборочной характеристикой асимметрии;
является выборочной характеристикой эксцесса;
и
являются соответствующими среднеквадратическими ошибками.
При условии одновременного выполнения следующих неравенств (1.32):
| | (1.32) |
гипотеза о нормальном характере распределения случайной величины компоненты принимается.
При условии выполнения хотя бы одно из неравенств (1.33):
гипотеза о нормальном характере распределения отвергается. В таком случае трендовая модель будет признана неадекватной. Остальныеслучаи требуют дополнительной проверки с помощью болеесложных критериев.
Кроме уже рассмотренного метода известныи другие методыпроверки нормальности закона распределения случайнойвеличины: метод Вестергарда, RS-критерий и так далее. Теперь подробно рассмотрим наиболее простой из них, основанный на RS-критерии.Данный критерий численно равен отношению размаха вариации случайной величины R к стандартному отклонению S. В нашем случае,
а— среднее квадратическое отклонение равно
.
Затем вычисленное значение RS-критерия сравнивают с табличныминижней и верхней границами данногоотношения. Если это значение не попадает в интервал междукритическими границами, то гипотезас заданным уровнем значимости о нормальности распределения отвергается.Вдругом случае данная гипотеза принимается. Для иллюстрациивозьмем несколько пар значений критических границ RS- критерия для уровня значимости α = 0,05: при n = 10 нижняя граница равна 2,67, а верхняя равна 3,685; при n = 20 этичисла составляют соответственно 3,18 и 4,49; при n = 30 ониравны 3,47 и 4,89.
Проверка равенства математического ожидания случайной компоненты равна нулю, если она распределена по нормальному закону, осуществляется на основе t-критерияСтьюдента. Расчетное значение этого критерия задается данной формулой (1.34):
где
— среднее арифметическое значение уровней остаточной последовательности
;















