ДИПЛОМ (1219162), страница 7
Текст из файла (страница 7)
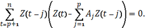
Для идентификации порядка модели обычно используютавтокорреляционную функцию, значение которой определяют по формуле (1.56):
| | (1.56) |
где
— количество уровней стационарного ряда
— номер коэффициента автокорреляции
В качестве порядка модели принимают номер коэффициента автокорреляции
, который имеет максимальную величину. В модели используют
уровней,которые оказывают на текущий уровень наибольшее влияние.В соответствии с МНК формируется система из р уравнений,которая в компактной форме имеет вид (1.57):
Например, для
система принимает вид (1.58):
| | (1.58) |
В ней суммирование проводится по
в пределах от 3 до
Решив эту систему уравнений, получают числовое значение
. Оценка свободного члена получается из соотношения (1.59):
На основе построенной модели вычисляют прогнозноезначение разностного ряда
на
шагов вперед, а отнего переходят к прогнозной оценке исходного ряда.
Так, для
имеем (1.60):
Из этого следует, что прогнозные оценки базируют и нафактических, и на полученных прогнозных уровнях ряда.Доверительный интервал прогноза рассчитывают на основеточечного прогноза:
верхняя граница прогноза =Z(N+K)+U(K),
нижняя граница прогноза =Z(N+K)-U(K).
Величина
рассчитывается по формуле (1.61):
| | (1.61) |
где
— СКО, вычисленное с учетом сложности АР(р)модели;
— коэффициент, который соответствует табличномузначению статистики Стьюдента с выбранным уровнем значимости
; коэффициент под квадратным корнем рассчитывается рекуррентно, причем при
величина
,а при
(1.62):
| | (1.62) |
В методе адаптивной фильтрации используется АР(р)модель, котораябез свободного члена. Ее параметры корректируются на итерации в каждый момент времени
следующим образом:
где
и
— векторы новых и старых значенийвесов модели;
— константа обучения, которая определяет скорость адаптациипараметров модели
— ошибка прогнозирования уровня
.
Алгоритм построения модели прогнозирования состоит вследующем. На первой итерации
, на основе начального набора весов и первых
уровней ряда вычисляется
и его расхождение с фактическим уровнем, т.е.(1.63):
| | (1.63) |
Подставляя величину ошибки в уравнение корректировки весов, получают новый набор весов для следующего момента времени
. Далее эта процедура повторяетсядляследующихнаборов
, каждый из которых образован из предыдущего, заисключением первого и добавлением одного нового уровня ряда. Если на итерации
оптимальные веса не получены, тона следующей итерации надо вернуться к первому наборууровней ряда
, но уже с новыми начальными весами. Они взяты от предыдущей итерации.
Определение начальных весов осуществляется путем решения уравнения Юла—Уокера, составленного на основе коэффициентов автокорреляции. Процедуракорректировкипараметровзаканчивается,когдасреднеквадратическаяошибка перестает существенно убывать или при достижениизаданного максимального количества итераций[3].
-
Исследование и анализ автомобильного рынка в России
-
Динамика и анализ продаж автомобилей группы Renault-Nissan
-
Как можно заметить по результатам статистического наблюдения за период 2007-2015 гг. у автомобильного рынка России процесса стабилизации не наблюдается. Динамика наглядно видна на многих представленных ниже рисунках. В большинстве случаев после падения происходит рост продаж легковых автомобилей. Рассмотрим все эти ситуации на конкретных примерах.
На следующих графиках данные берутся по отдельным группам легковых автомобилей (АвтоВАЗ, AutomotiveGroup, Volkswagen, ToyotaMotor, GeneralMotors, DaimlerGroup, MitsubishiMotors, Соллерс, ГАЗ, BMW, MazdaMotor, Uz-Daewoo, FordMotor, JaguarLandRover, PSAPeugeCitroen, SubaruMotor, Lifan, VolvocarCorp).
Рассмотрим группу машин АвтоВАЗ. Данный бренд имеет 50,1% [4] акций отечественного завода. Из представленных ниже рисунков (рисунок 1,2,3,4) видно, что наибольшие темпы роста продаж будет принадлежать марке Nissan (рисунок 2), уже к 2017 году продажи данной марки машин достигнут более, чем 16000 марок, ситуация у автомобилей Лада иная (рисунок 1), ее продажи не будут меняться. Автомобили марки Renault (рисунок 3) тоже не отстают от Nissan, их продажи с 2015-2017 годов возрастут от 8000 штук до 14500. В данной группе, по количеству проданных машин к 2017 году лидером должна стать марка Infiniti (рисунок 4), если в 2015 году количество проданных машин данной марки составляло 600 штук, то к 2017 году эта цифра возрастет почти в два раза, как известно, средняя стоимость данного автомобиля составляет около 3000000руб.
Рисунок 1 — Продажа автомобилей марки Лада
Рисунок 2 — Продажа автомобилей марки Nissan
Рисунок 3 — Продажа автомобилей марки Renault
Рисунок 4 — Продажа автомобилей марки Infiniti
-
Динамика и анализ продаж автомобилей группы Hyundai-Kia
Следующая группа для анализа динамики продаж - южнокорейская компания Hyundai-Kia. Самый крупнейший автопроизводитель в стране и четвёртый в мире[5]. Как видно по графикурисунка 5, Hyundai целеустремленно набирает обороты продаж с 2012-2014 года, в 2015 году продажи резко падают. Но, к 2017 году все должно наладиться, продажи данной марки вернутся к своему изначальному лидерству и продажи достигнут 16000 штук.
Рисунок 5 — Продажа автомобилей марки Hyundai
Что касается марки Kia (рисунок 6), ситуация аналогичная, после резкого спада эта марка набирает свои изначальные обороты по продажам.
Рисунок 6 — Продажа автомобилей марки Kia
-
Динамика и анализ продаж автомобилей группы Volkswagen
Volkswagen - немецкаямарка автомобилей, одна из многих принадлежащих концерну Volkswagen AG. Под данной маркой в 2007 году было реализовано 5 миллионов 20 тысяч автомобилей[6]. Из представленных ниже графиков видно, что с 2007 года Volkswagen (рисунок 10) динамично набирает свои обороты по продажам, но с 2014 года резко идет на спад. Согласно полученной трендовой модели, можно сделать вывод о том, что ситуация наладится к 2017 году.Производитель автомобилей Scoda (рисунок 8) плавно набирал свои предельные показатели по продажам начиная со второй полугодия 2010 года по вторую половину 2012 года, сначала происходит плавное колебание, а затем резкий спад. Немецкая марка автомобилей Audi (рисунок 9) с 2007 года по вторую половину 2008 года растет по количеству своих продаж. Со второй половины 2008-2011 годов претерпевает незначительные колебания по продажам своих автомобилей, с 2011 года по 2012 год происходит резкий рост продаж автомобилей данной марки, затем происходят незначительные колебания и с 2014 года происходит спад продаж автомобилей. К 2017 году, количество продаж должно достигнуть уровня продаж 2012 года данной марки машин.
Рисунок 7 — Продажа автомобилей марки Volkswagen
Рисунок 8 — Продажа автомобилей марки Scoda
Рисунок 9 — Продажа автомобилей марки Audi
Рисунок 10 — Продажа автомобилей марки Volkswagen комм.
Рисунок 11 — Продажа автомобилей марки SEAT
Что касается марки автомобилей SEAT(рисунок 11) - ситуация идентичная с маркой Volkswagen.
-
Динамика и анализ продаж автомобилей группы Toyota
Лидером на российском автомобильном рынкепо объему выручки остается Toyota, по сравнению с прошлым годом, с января по август данная группа заработала в Россиина 14% больше (158,7 миллиарда рублей). Что касается уровня доходов, компания с большим отрывом вырывается вперед, но если рассматриватьколичество проданных автомобилей (102,5 тысячи машин), данная компания занимает лишь шестое место. Главная задача(для машин Toyota) на всех рынках заключена в устойчивом развитии бизнеса, который направлен на прочный рост прибыли в перспективе на будущее. Они не рассматривают достижение огромных объемов продаж и долей рынка в ущерб маржинальности бизнеса компании и дилеров.
Средняя цена автомобилей японской марки в России составляет 1 миллиона 550 тысяч рублей [2] –ценники выше только у автомобилей премиум-класса, таких как Land Rover, Mercedes-Benzи Lexus.















