ДИПЛОМ (1219162), страница 5
Текст из файла (страница 5)
В случае прямолинейного тренда для расчета доверительного интервала используют аналогичную формулу дляпарной регрессии, таким образом, доверительный интервалпрогноза Uу в данном случае имеет вид (1.42):
где L — период упреждения;
— точечный прогноз помодели на определенный (
) момент времени; n — количество наблюдений во временном ряду;
— стандартная ошибка оценкипрогнозируемого показателя, рассчитанная по ранее приведенной формуле для числа параметров модели, равного двум;
— табличное значение критерия Стьюдента для уровнязначимости
и для числа степеней свободы, равного
.
Обозначим выражение (1.43):
| | (1.43) |
через K, то формула для доверительного интервала примет вид (1.44):
| | (1.44) |
Значения величины K для оценки доверительных интервалов прогноза относительно линейного тренда табулированы.Фрагмент такой таблицы для уровня значимости
= 0,20 представлен для иллюстрации в таблице 1.3.
Таблица 1.3
| Число уровней в ряду (n) | Период упреждения L | |||||
| 1 | 2 | 3 | 4 | 5 | 6 | |
| 7 | 1,932 | 2,106 | 2,300 | 2,510 | 2,733 | 2,965 |
| 10 | 1,692 | 1,774 | 1,865 | 1,964 | 2,069 | 2,180 |
| 13 | 1,581 | 1,629 | 1,682 | 1,738 | 1,799 | 1,863 |
| 15 | 1,536 | 1,572 | 1,611 | 1,653 | 1,697 | 1,745 |
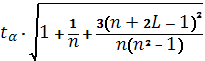
Иногда для расчета доверительных интервалов прогнозаотносительно линейного тренда применяют следующую формулу в несколько преобразованном виде (1.45):
| | (1.45) |
Здесь t — порядковый номер уровня ряда
— время, для которого делается прогноз;
—время середины периода наблюдений дляисходного ряда (например:
) суммированиеведется по всем наблюдениям.
Эту формулу можно упростить, еслиперенести начало отсчета времени на серединупериода наблюдений
(1.46):
| | (1.46) |
Формула для расчета доверительных интервалов прогнозаотносительно тренда, имеющего вид многочлена второго илитретьего порядка, выглядит следующим образом (1.47):
Аналогично вычисляются доверительные интервалы дляэкспоненциальной кривой роста, а также для кривых роста,имеющих асимптоту (модифицированная экспонента, криваяГомперца, логистическая кривая), если значение асимптотыизвестно.
Таким образом, формулы расчета доверительного интервала для разных трендовых моделей различны, нокаждая из них отражает динамический аспект прогнозирования, т.е. увеличение неопределенности прогнозируемогопроцесса с ростом периода упреждения проявляется в постоянном расширении доверительного интервала.
Несмотря на громоздкость некоторых формул, расчет точечных и интервальных прогнозов на основе трендовых моделейв форме кривых роста на практике является достаточно простойпроцедурой. Оптимальная длина периода упреждения определяется отдельно для каждого явления с учетом дисперсии изучаемых данных на основе суждения о стабильности явления. Эта длина, какправило, не превышает для рядов годовых наблюдений однойтрети объема данных, а для квартальных и месячных рядов —двух лет.
При выравнивании временных рядов с использованиемкривых роста приходится решать вопросдлиныряда, выбираемого для прогнозирования. Очевидно, что если период ряда экономической динамики слишком короткий, возникает угроза не обнаружить тенденцию его развития.С другой стороны, очень длительный временной ряд можетохватывать периоды с различными трендами и его описаниес помощью одной кривой роста не целесообразно. Поэтому рекомендуется действовать следующимобразом. Если нет соображений качественного порядка, следует братьбольший промежуток времени.Если развитие имеет циклический характер, следуетбрать период от середины первого до середины последнегопериода цикла. Если ряд охватывает периоды с разнымитрендами, это следует сократить отбросив наиболее ранниеуровни, которые относятся к периоду с иной тенденциейразвития.
При экстраполяционном прогнозировании экономическойдинамики с использованием трендовых моделей весьма важнымявляется заключительныйэтап — верификацияпрогноза. Верификация любых дескриптивных моделей, ккоторым относятся трендовые модели, сводится к сопоставлению расчетных результатов по модели с соответствующими данными действительности — массовыми фактами и закономерностями экономического развития.Верификацияпрогностической модели представляет собой набор критериев, способов и процедур, позволяющих на основе многогранного анализа оценивать качество прогноза.Однако очень часто на этапе верификации в большей степениосуществляется оценка метода прогнозирования, с помощьюкоторого был получен результат, чем оценка качества самогорезультата. Это связано с тем, что на сегодняшний день до сих пор не найдено эффективного подхода к оценке качества прогноза до его начала реализации.
Даже тогда, когда прогноз не оправдался, нельзякатегорически утверждать, что он был бесполезен, посколькупользователь, если он хотя бы частично контролирует ходсобытий и может воздействовать на экономический процесс,может использовать прогнозную информацию желаемымдля себя образом. Так, получив прогноз событий, определяющих нежелательное направление перспективного развития,пользователь может принять меры, чтобы прогноз не оправдался; такой прогноз называетсясамодеструктивным.Если прогноз предсказал ход событий, устраивающий пользователя, то он может использовать свои возможности дляувеличения вероятности правильного прогноза; подобныйпрогноз называется саморегулирующим.Таким образом, важным показателем ценности прогноза является полезность для пользователей.
О точности прогноза принято судить по величине ошибки прогноза — разности между фактическим значением исследуемого показателя и его прогнозным значением. Определить указанную разность можно лишь вдвух случаях: либо если период упреждения уже окончилсяи известно фактическое значение прогнозируемого показателя (известна его реализация), либо если прогнозированиеосуществлялось для некоторого момента времени в прошлом, для которого известны фактические данные.
Во втором из случаев информация делится надве части. Часть, охватывающая более ранние данные, служит для оценивания параметров прогностической кривойроста, другая, более поздняя, рассматривается как реализация прогноза. Полученные таким образом ошибки прогнозав какой-то мере характеризуют точность применяемой методики прогнозирования.
Проверка точности одного прогноза недостаточна дляоценки качества прогнозирования, так как она может бытьрезультатом совпадения. Наиболее простой меройкачества прогнозов при наличии данных об ихреализации, является отношение числа случаев, когда фактическая реализация охватывалась интервальным прогнозом,к общему числу прогнозов. Данную меру качества прогнозовk можно вычислить по формуле (1.48):
где р — количество прогнозов, подтвержденных фактическимиданными;
q — количество прогнозов, не подтвержденных фактическими данными.
Однако в работе чаще приходится решать проблему качества прогнозов, когда период упрежденияеще не завершился и фактическое значение прогнозируемогопоказателя неизвестно. В этом случае более точной считается модель, дающая более узкие доверительные интервалыпрогноза. На практике не всегда получается сразу построитьдостаточно хорошую модель прогнозирования, поэтому описанные в данном подразделе этапы построения трендовых моделей экономической динамики выполняются многократно[3].
-
Адаптивные методы прогнозирования
В основу экстраполяционных методов прогнозирования входиттакое предположение, что основные факторы и тенденции, которые имели место в прошлом,сохраняются в будущем. Если сохранилисьэти тенденции — это является непременным условием для успешного прогнозирования. Еще необходимо, чтобы учитывались лишь те тенденции, которыееще до сих пор не устарели и оказывают влияние на изучаемый процесс.
При кратком прогнозировании, а также при прогнозировании в ситуации изменения внешних условий, когда наиболее важными являются последние реализации исследуемого процесса, самыми эффективными являются адаптивные методы, которые учитывают неравноценность уровнейвременного ряда.
Адаптивнымимоделями прогнозированияявляются модели дисконтирования данных, которые способны быстро приспосабливатьсвою структуру и параметры к различным изменениям условий. Инструментом прогноза в адаптивных моделях, как и в кривыхроста, является математическая модель с единственным одним фактором «время».















