ДИПЛОМ (1219162), страница 2
Текст из файла (страница 2)
Для полинома третьей степени первые приросты являютсяполиномами второй степени, вторые приросты —линейныефункции от времени, а третьи приросты, рассчитываемые по формуле
, будут постоянными величинами.
Можно выделить следующие свойства полиномиальных кривых роста:
-
от полинома высокого порядка можно путем расчета приростов перейти к полиному более низкого порядка;
-
значения приростов для полиномов любого порядка независят от значений самой функции
.
Таким образом, полиномиальные кривые роста можно использовать для аппроксимации и прогнозирования экономических процессов, в которых последующее развитие не зависит уже от достигнутого уровня.
Использование экспоненциальных кривых роста предполагает, прирост зависит от значения функции. Самыми распространенными являются две разновидности экспоненциальных кривых: простая экспонента и модифицированная экспонента.
Простая экспонента может быть представленав виде:
| | (1.1) |
где а и b — положительные числа, при этом если b> 1, тос ростом времени t функция возрастает, если b< 1 — функция убывает.
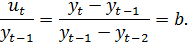
Заметим, что ордината функции пропорциональна темпу прироста. Отношение прироста к самой ординате будет постояннойвеличиной (1.2):
Прологарифмируем выражение для данной функции полюбому основанию (1.3):
| | (1.3) |
Отсюда заметим, что логарифмы ординат простойэкспоненты имеют линейную зависимость от времени.
Модифицированнаяэкспонента имеет вид (1.4):
| | (1.4) |
где постоянные величины: а< 0, 0≤b< 1, а k— асимптотаэтой функции. Существуют и другие модифицированные экспоненты, но наиболее распространенной является данная функция.
При логарифмировании первых приростов данной функции, результатом будет линейно зависящая от временифункция.Отношение двух последовательных приростов будет константой (1.5):
| | (1.5) |
Достаточно распространены процессыв экономике вначале растут медленно, потом постепенно начинают ускоряться и вновь начинают замедлять свой рост, стремясь к некоторому пределу. В качестве примера можно привести процесс ввода некоторогообъекта в промышленную эксплуатацию, процесс измененияспроса на товары, обладающие способностью достигать некоторого уровня насыщения. Для моделирования данных процессов используют S-образныекривыероста, к которымотносятся кривая Гомперца и логистическая кривая.
Кривая Гомперца имеет вид
где а, b — положительные параметры, причем b< 1; а параметрkявляется асимптотой функции.
В кривой Гомперца выделяются четыре участка: для первого — прирост функции незначителен, для второго она начинаетувеличиваться, для третьего участкаон примернопостоянен, для четвертого — происходит замедление темпов прироста, и функция неограниченно приближается к значению k. В результате конфигурация кривой напоминает букву S.
Логарифм этой функции является экспоненциальной кривой, а логарифм отношения первого прироста к ординате функции является линейной функцией времени.
Кривой Гомперца описываетсядинамика различногоуровня жизни, а ее модификации используют в демографии для моделирования показателей смертности и так далее.
Логистическая кривая (Перла—Рида)являетсявозрастающейфункцией, которая имеет следующий вид:
другие виды логистической кривой (1.8):
| | (1.8) |
В этих выражениях а и b — положительные параметры; k — предельное значение функции при бесконечном возрастании времени.
Если взять производную этой функции, то можно заметить, что скорость возрастания логистической кривой в каждый момент времени пропорциональна достигнутому уровню функции и разности между предельным значением k идостигнутым уровнем. Логарифм отношения первого прироста функции к квадрату ее значения и есть та самая линейная функция от времени.
Конфигурация графика логистической кривой близкаконфигурации графика кривой Гомперца, но в отличие кривой Гомперца логистическая кривая имеет точку симметрии, совпадающую сточкой перегиба.Рассмотримпроблему предварительного выбора видакривой роста для конкретного временного ряда. Допустим, имеется временной ряд
.
Для выбора вида полиномиальной кривой роста самым распространенным методом является метод конечныхразностей (метод Тинтнера). Этот метод применим для предварительного выбора полиномиальнойкривой, еслиуровни временного ряда состояттолько из двух компонент: тренда и случайной компоненты, и тренд является достаточно гладким, для аппроксимации полиномом некоторойстепени.
На первом этапе данного метода вычисляются приросты до k-го порядка включительно (1.9):
Для аппроксимации экономических процессов обычно вычисляют конечные разности вплоть до четвертого порядка.
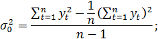
Затем для исходного каждого разностного ряда вычисляются дисперсии по следующим формулам:
для исходного ряда (1.10):
| | (1.10) |
для разностного ряда k-го порядка (k = 1, 2,...)
|
| (1.11) |
Производится сравнение отклонений каждой последующей дисперсии от предыдущей, т.е. вычисляются величины (1.12):
| | (1.12) |
и если для k данная величина не превосходит некоторой положительнойвеличины, т.е.дисперсии одного порядка, то степень аппроксимирующегополинома равна k - 1.
Более универсальным методом предварительного кривых роста, является метод характеристик прироста. Он основан на использовании отдельных характерныхсвойств кривых.В этом методе исходный временной ряд предварительно сглаживаетсяпри помощи простой скользящей средней. Например, для интервала сглаживания m = 3 сглаженные уровни рассчитываются по формуле (1.13):
| | (1.13) |
причем первый и последний уровни, их сглаживают по формулам (1.14) и (1.15):
Далее вычисляются первые средние приросты
вторые средние приросты
| | (1.17) |
а также ряд производных величин, связанных с вычисленными средними приростами и сглаженными уровнями ряда (1.18):
| | (1.18) |
Вид кривой роста для исходного временного рядавыбирается в соответствии с характером изменения средних приростов и производных показателей.Виды кривых указаны в таблице1.1.
На практике отбираются обычно две-три кривые роста для дальнейшего исследования и построения трендовой модели данного временного ряда.Рассмотрим методы определения параметров отобранныхкривых роста. Параметры полиномиальных кривых оцениваются методом наименьших квадратов. Сутьметодасостоит в том, чтобы сумма квадратов отклонений фактических уровней ряда от соответствующих выровненных по кривой роста значений была наименьшей.Результатом применения метода является система нормальных отобранных кривых.
Таблица 1.1
| Показатель | Характер изменения показателя во времени | Вид кривой роста |
| Первый средний прирост | Примерно одинаковы | Полином первого порядка (прямая) |
| То же | Изменяются линейно | Полином второго порядка (парабола) |
| Второй средний прирост | Изменяются линейно | Полином третьего порядка (кубическая парабола) |
| Примерно одинаковы | Простая экспонента | |
| | Изменяются линейно | Модифицированная экспонента |
| | Изменяются линейно | Кривая Гомперца |
| | Изменяются линейно | Логистическая кривая |
Для полинома первой степени (1.19):
| | (1.19) |
система нормальных уравнений имеет вид:
| | (1.20) |
где знак суммирования распространяется на все уровни исходного временного ряда.















