ПЗ (1215841), страница 4
Текст из файла (страница 4)
3) Интервал попутного прибытия
– минимальный интервал между прибытием на станцию поезда меньшей срочности и проследования этой же станции поездом того же направления большей срочности. Схема для расчета интервала попутного прибытия представлена на рисунке 4.6.
Рисунок 4.6. Интервал попутного прибытия
Расчетное расстояние определяется:
Расчет интервала попутного прибытия представлен на рисунке 4.7.
| Операция | На операцию | Время, мин | |||
| 1 2 3 4 | |||||
| 1. Контроль прибытия поезда | 0,1 |
| |||
| 2.Приготовления маршрута проследования поезду встречного направления | 0,15 |
| |||
| 4. Открытие выходного и входного сигналов | 0,1 |
| |||
| 5.Проследование поездом | 2,57 |
| |||
| Продолжительность интервала | 2,92 |
| |||
Рисунок 4.7. Технологический график расчета интервала
попутного прибытия
Для дальнейших расчетов интервал попутного прибытия принимаем равный три минут.
4) Интервал попутного отправления
– минимальный промежуток времени от момента проследования станции поездом большей срочности до момента отправления со станции поезда меньшей срочности.
Рисунок 4.7. Интервал попутного отправления
Последовательность выполнения и продолжительность операций при обеспечении интервала попутного отправления представлена на рисунке 4.8.
| Операция | На операцию | Время, мин | ||
| 2 4 | ||||
| 1. Проход поездом расстояния Lот | 1,32 |
| ||
| 2.Контроль освобождения поездом последней стрелки | 0,2 |
| ||
| 3.Приготовление маршрута отправления | 0,15 |
| ||
| 4. Проход поездом расстояния Lвых | 2,22 |
| ||
| 5. Открытие выходного сигнала поезду. Восприятие сигнала машинистом и трогание поезда с места | 0,5 |
|
| |
| Продолжительность интервала | 4,39 |
| ||
Рисунок 4.8. График расчета интервала попутного отправления
Для дальнейших расчетов интервал попутного отправления принимаем равный пять минут.
5) Межпоездной интервал – минимальное время, которым разграничиваются поезда при следовании по перегонам, оборудованным автоблокировкой, определяется по формуле:
Рисунок 4.9. Межпоездной интервал
Для дальнейших расчетов межпоездной интервал принимаем равный шесть минут.
4.4 Расчет пропускной способности участка Комсомольск-Сортировочный – Советская Гавань
4.4.1 Общие понятия
Пропускная способность железнодорожного участка – максимальные размеры движения в поездах (парах поездов), которые могут быть реализованы по данному участку за единицу времени (час, сутки) в зависимости от числа главных путей, средств связи по движению поездов, типа и мощности тяговых средств и способа организации движения поездов.
Различают пропускную способность наличную и потребную.
Наличной пропускной способностью железнодорожного участка по перегонам называется максимальное число поездов (пар поездов) установленных веса и длины, которое может быть пропущено по этому участку в единицу времени (сутки, час) в зависимости от его технической оснащенности и принятого способа организации движения поездов.
Потребная пропускная способность железнодорожного участка называется число поездов (пар поездов) различных категорий, которое необходимо реализовать для выполнения плана перевозок грузов и пассажиров.
Наличная пропускная способность участка по перегонам определяется при параллельном графике движения поездов с округлением полученного результата до ближайшего целого значения в меньшую сторону.
Наличная пропускная способность по каждому главному пути определяется делением суточного бюджета времени, отведенного для движения поездов (
), на период графика (на однопутных участках) или межпоездной интервал (на двухпутных участках):
-
при отсутствии технологического «окна» и без учета коэффициента надежности
; -
при наличии технологического «окна»
и без учета коэффициента надежности
; -
при наличии технологического «окна» и с учетом коэффициента надежности
.
Коэффициент
учитывает влияние отказов инфраструктуры (пути, устройств СЦБ и связи, контактной сети и др.) на наличную пропускную способность линии и определяется для каждого рассматриваемого железнодорожного участка (перегона или группы перегонов) самостоятельно в соответствии с методикой.
Под технологическим «окном» понимается свободный от пропуска поездов промежуток времени, предоставляемый в графике движения для выполнения работ по текущему содержанию и ремонту устройств пути, контактной сети, сигнализации, централизации и блокировки.
Продолжительность технологического «окна» в расчетах суточной наличной пропускной способности принимается: на однопутных участках – 75 минут по каждому перегону.
Для проведения капитального ремонта пути в графике движения на протяжении расчетного периода выделяются «окна», продолжительность которых зависит от типа применяемых машин и механизмов, уровня технического оснащения дистанций пути и других служб, принятой технологии производства и объема выполняемых работ.
Данными для расчета пропускной способности являются:
-
путевое развитие раздельных пунктов;
-
принятый тип графика движения;
-
времена хода поездов по перегонам;
-
станционные и межпоездные интервалы;
-
размеры движения поездов разных категорий;
-
особые условия организации движения поездов (подталкивание и двойная тяга поездов, обслуживание примыканий на перегоне и др.).
4.4.2 Расчет наличной пропускной способности для параллельного графика
Наличная пропускная способность параллельного графика определяется по формуле:
, (4.4)
где
– продолжительность технологического окна, 75 мин;
– коэффициент надёжной работы технических средств, 0,92;
– период графика.
Периодом графика на однопутных участках называется время занятия перегона группой поездов, характерной для принятого типа графика.
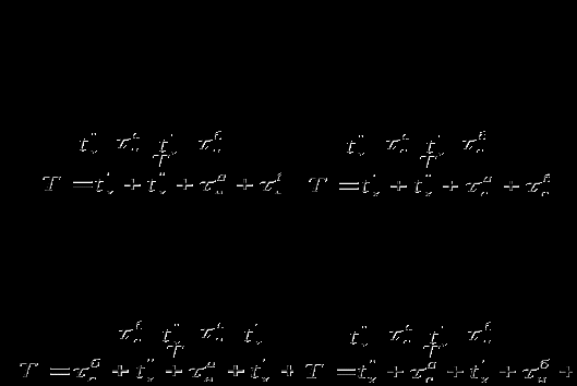
Период графика рассчитывается по формуле:
, (4.5)
где
– время хода нечетного поезда;
– время хода четного поезда;
– сумма станционных интервалов;
– сумма времени на разгон и замедление.
Для расчета периода графика на однопутной линии выбирается ограничивающий перегон. В дипломном проекте за ограничивающий перегон принимается тот, где период является наибольшим. На участке Комсомольск-Сортировочный – Высокогорная наибольшим перегоном является перегон между станциями Комсомольск-Сортировочный и Амурский на участке Высокогорная – Токи наибольшим перегоном является перегон Акур – Людю.
На ограничивающем перегоне выбирается схема прокладки поездов, обеспечивающая наименьшую величину периода графика.
В расчете используются следующие данные:
Перегон Комсомольск-Сортировочный – Амурский:
= 21 мин,
= 22 мин,
= 3 мин,
= 5 мин,
= 3 мин.
Перегон Акур – Людю:
= 18 мин,
= 18 мин,
= 3 мин,
= 2 мин,
=4 мин,
= 3 мин.
Рассмотрим 4 схемы прокладки поездов, через ограничивающий перегон представлены на рисунке 4.11.
схема 1 – безостановочный пропуск поездов на ограничивающий перегон;
схема 2 – безостановочный пропуск поездов с ограничивающего перегона;
схема 3 – безостановочное проследование раздельных пунктов поездами четного и нечетного направления ограничивающего перегона;
схема 4 – безостановочное проследование указанных раздельных пунктов поездами нечетного направления.
Рисунок 4.11. Варианты пропуска поездов через ограничивающий перегон
На рисунке 4.11. приняты следующие обозначения:
– время хода поездов по перегону соответственно в нечетном и четном направлениях без учета их разгонов и замедлений, мин;
– соответственно время разгона и замедления поезда, мин;
– станционные интервалы скрещения и неодновременного прибытия, мин.
Таблица 4.2















