Пояснительная записка (1201956), страница 6
Текст из файла (страница 6)
Таблица 2.13 - Анализ остро дефектных алюмотермитных стыков
Всего алюмотермитных стыков числится 477 штук из них 85 остродефектных, что составляет 17.8 %. Коды 26.3, 56.3, 66.3 относятся к дефектам, трещины из-за нарушений технологии сварки рельсов.
Если учесть, что алюмотермитная сварка на дистанции применяется с 2007 года и опираясь на данные проведенного анализа за два года (таблица – 2.13) можно предположить, что тенденция появления неисправностей в стыках сваренных алюмотермитной сваркой заметно не изменится.
2.5 Контроль болтовых стыков
Причины зарождения и развития дефектов в рельсах можно разбить на две группы: эксплуатационные, например, неудовлетворительные состояния пути и подвижного состава и заводские – из-за наличия дефектов, допущенных при изготовлении рельсов. Не удовлетворительное состояния пути и подвижного состава способствует ускорению выхода рельсов по заводским причинам. На участках с неудовлетворительным содержанием болтовых стыков воздействия поездной нагрузки в несколько раз больше, чем при удовлетворительном состоянии. Количество изломов рельсов в стыках в значительной степени зависит от срока служб рельсов. В первые годы эксплуатации рельсов изломы стыков встречаются редко. С увеличением срока службы этот дефект становится все более распространенным и для старых рельсов – типичным. Резкое увеличение выхода рельса по дефектам стыков наблюдается весной – во время оттаивания балласта, а также осенью – в период замерзания балласта.
| Группа | Код дефекта | Мобильными средствами | Съемными тележками | Всего | % | |
| 2 | 21.1 | 4 | 5 | 9 | 9 | 4.3 % |
| 3 | 30г.1 | 29 | 25 | 54 | 64 | 30.7 % |
| 30в.1 | 0 | 3 | 3 | |||
| 38.1 | 4 | 3 | 7 | |||
| 5 | 52.1 | 2 | 0 | 2 | 131 | 62.9 % |
| 53.1 | 111 | 17 | 128 | |||
| 55.1 | 1 | 0 | 1 | |||
| 6 | 60.1 | 0 | 4 | 4 | 4 | 2 % |
| всего | 151 | 57 | 208 | 208 | 100% | |
| % | 72.5 % | 27.5 % | ||||
Анализируя данные дефектов рельсовых стыков за последние три года видно, что с большим преимуществом выделяется дефект с рисунком 53.1 ( трещина по болтовому отверстию) 128 шт - 61.5 % от общего числа, также видно, что обнаружение данного дефекта преимущественно принадлежит мобильным дефектоскопам 86.7 % против 13.3 % съемными тележками.
На основании изложенного выше анализа можно сделать следующие выводы относительно спецификации контроля дефекта 53.1
Рельсы с трещинами в зоне болтовых отверстий уже при незначительных их размерах являются остродефектными и подлежат незамедлительному изъятию из пути. Дефект кода 53.1 остается проблемным для выявления, особенно на ранних стадиях развития. Это связанно с наличием разнообразных структурных и конструктивных отражателей в стыковой зоне, усложняющих контроль недоступностью для натурного осмотра.
Трещины в зоне стыковых болтовых отверстий могут зарождаться и развиваться, достигая опасных размеров, по всем направлениям.
При воздействии подвижной нагрузки в виде мобильного дефектоскопного средств вследствие упругой деформации рельсовой нити в зоне дефекта возникают напряжения приводящие к временному дополнительному раскрытию трещин. Соответственно повышаются возможности выявления дефекта. Изгиб рельса в различных направлениях имеет место не только под колесными парами, но и между тележками вагона-дефектоскопа или автомотрисы.
При дефектоскопном контроле рельсов съемными тележками дополнительные напряжения не возникают и, следовательно, возможность обнаружения дефекта при прочих равных условиях ниже. Этим до некоторой степени можно объяснить факты не обнаружение дефектов самыми современными съемными дефектоскопами, которые вскоре выявляются средствами мобильными. Такая важность должна учитываться при установлении меры ответственности операторов тележки, расшифровщиков за пропущенные дефекты, а также при планировании и организации дефектоскопного контроля.
2.6 Расчёт периодичности дефектоскопного контроля
Основы расчёта периодичности дефектоскопного контроля
C 1 июля 2013 года вступило в силу новое положение о системе неразрушающего контроля рельсов и эксплуатации средств рельсовой дефектоскопии в путевом хозяйстве железных дорог ОАО «РЖД».Утвержденное распоряжением №2714р от 27.12.2012. Расчет произведен по новому и действующему приказу.
Работа средств рельсовой дефектоскопии дистанции пути выполняется согласно графика, составляемого на основе утвержденной периодичности и ежемесячно разрабатываемого руководителем участка дефектоскопии в двух экземплярах. График утверждается начальником дистанции пути. Один экземпляр утвержденного графика должен находиться у мастера участка дефектоскопии, а второй передается дежурному диспетчеру дистанции пути. Мастер участка дефектоскопии обязан ежедневно проверять выполнение графика и отмечать в нем фактическое исполнение. При несоблюдении или других изменениях графика работы дефектоскопных средств мастер участка дефектоскопии корректирует его и вносит соответствующие изменения в обоих экземплярах с указанием причин. График работы средств дефектоскопии составляется на основании месячных норм проверки рельсов, которые не должны превышать нормативные значения. Выписки из графика выдаются операторам дефектоскопных тележек под роспись.
Мастер обеспечивает сопровождение вагона-дефектоскопа, ежедневный контроль за работой дефектоскопных средств и контролирует своевременную замену выявленных ОДР, проводит вторичный контроль ОДР, обнаруженных операторами, организует и проводит технические занятия, контролирует использование спирта в зимний период.
Мастер участка диагностики пути, инженер по расшифровке, наладчик путевых машин и механизмов, руководитель бригады вторичного контроля прошли курс специального обучения и имеют удостоверение по расшифровке результатов контроля.
Наладчик цеха дефектоскопии обеспечивает надлежащее техническое состояние дефектоскопов, своевременный ремонт как в цехе, так и на линии. Отвечает за своевременное и правильное ведение технической документации по ремонту. В случае его отсутствия, обязанности наладчика выполняет мастер участка.
Расчет периодичности проверки по приказу № 2714р
Расчёт периодичности выполняется в табличной форме. В графы таблицы внесены данные из рельсошпалобалластной карты дистанции пути и книги учета остродефектных рельсов формы ПУ-2а за отчетный год: протяженность участка, км; пропущенный тоннаж по участку пути с момента укладки; тип рельсов; тип пути; класс пути; грузонапряженность; скорость движения пассажирских и грузовых поездов; количество изъятых из пути остродефектных рельсов.
По формуле производиться расчет коэффициента среднего выхода остродефектных рельсов на 10 км. Данные заносятся в таблицу и по таблице А.3 приказа №2714р в зависимости от вышеуказанного коэффициента,
пропущенного тоннажа и эксплуатируемых средств первичного контроля рельсов устанавливается минимальное количество проверок в месяц.
Вновь уложенные рельсы подлежат контролю средствами первичного сплошного контроля (ультразвуковыми съемными дефектоскопами) после укладки и обкатки до устранения следов проката на поверхности катания (входной контроль).
Фрагмент расчета периодичности сплошного контроля рельсов и стрелочных переводов главных путей Комсомольской дистанции пути Дальневосточной дирекции инфраструктуры на 2017 год
Фрагмент расчета периодичности сплошного контроля рельсов и стрелочных переводов главных путей Комсомольской дистанции пути Дальневосточной дирекции инфраструктуры на 2017 год (продолжение)
Фрагмент расчета периодичности сплошного контроля рельсов и стрелочных переводов приемо-отправочных Комсомольской дистанции пути Дальневосточной дирекции инфраструктуры на 2017 год
Фрагмент расчета периодичности сплошного контроля рельсов и стрелочных переводов приемо-отправочных Комсомольской дистанции пути Дальневосточной дирекции инфраструктуры на 2017 год (продолжение)
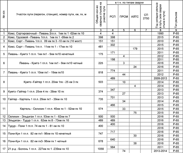
Фрагмент расчета периодичности контроля сварных стыков Комсомольской дистанции пути на 2017 год














