Внедрение статистического управления процессами в деятельность организации (1193031), страница 9
Текст из файла (страница 9)
Во время процесса приготовления сусла в ООО «ОПХ» филиал «Амур-пиво» замеры pH делаются четыре раза. Замеры производятся в следующих моментах приготовления сусла:
-
Перед началом варок замеряется pH воды
-
Во время варок замеряется:
-
pH затора(ячмень в заторном котле и общий затор после соединения)
-
pH сусла на начало кипячения
-
pH холодного сусла
В таблице 20 представлены спецификации рисового сусла ОКОМЕ 15%.
Таблица 20 – Спецификации рисового сусла ОКОМЕ 15%.
| Параметры | Спецификация |
| Экстрактивность начального сусла,% масс. | 14,7-15,3 |
| Цветность, EBC | 6,0-9,0 |
| pH(при 20 С) | 5,1-5,3 |
| Содержание осадка, мг/л | <150 |
| Содержание кальция, мг/л | 60-80 |
| Содержание цинка, мг/л | 0,5-0,6 |
| Содержание ДМС, мг/л(на 12% масс.) | ≤50 |
| Содержание свободного аминного азота, мг/л | 200-250 |
| Горечь, BU (при 100% IKE) | 16-19 |
| Видимый экстракт, после конечной степени сбраживания, % масс. | 1,2-1,8 |
Данные таблицы показывают, что спецификации позволяют принимать сусло с уровнем pH от 5,1 до 5,3. Данный диапазон, позволяет операторам определенную свободу, что в свою очередь ведет к тому что при определенных обстоятельствах дает возможность оператору вмешаться в процесс и лично проконтролировать уровень pH на нескольких контрольных точках.
Но при этом необходимо всегда нацеливать результат на центр процесса, который равен 5,2 , что позволит уменьшить вероятность появления брака.
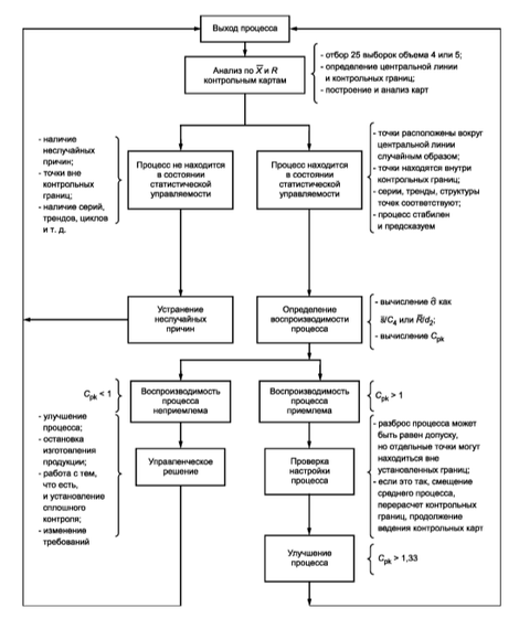
В данной работе мы будем придерживаться стратегии, представленной на рисунке 14
Рисунок 14 – Стратегия улучшения процесса
Данная стратегия основана на цикле PDCA, что позволяет постоянно улучшать процесс и обеспечивать постоянный мониторинг особых причин для создания стабильного воспроизводимого процесса.[19]
В данной работе предметом исследования выбран уровень pH при приготовлении рисового сусла ОКОМЕ 15%. Из данного сусла впоследствии готовят следующие виды пива:
-
ОКОМЕ,ФЕЙЛОНГ
-
ФЕЙЛОНГ АЙС
-
Жигулевское 1978
Таким образом, в данном пункте были рассмотрены все этапы приготовления сусла, были приведены схема, схематично изображающая оборудование, применяемое при изготовлении сусла, а так же блок схема приготовления сусла, применяемая в ООО «ОПХ» филиал «Амур-пиво». Так же в данном пункте было рассмотрено влияние pH на процесс приготовления сусла. Данный параметр необходимо постоянно отслеживать на протяжении всего процесса и проводить анализ причин несоответствий, заниматься выявлением специальных причин.
3.2 Анализ процесса при помощи показателей (индексов) воспроизводимости
Изучив параметры качества пива, которыми необходимо управлять, а так же часть производственного процесса, в котором данный параметр наибольшим образом влияет на качество готового пива, мы можем приступить к следующему шагу, а именно к определению характера распределения изучаемых величин.
В таблице 21 представлены результаты лабораторного анализа уровня pH холодного сусла ОКОМЕ 15%, проведенного по выборкам из 30 последовательных партий на заводе, а так же посчитан сразу скользящий размах значений pH.
Таблица 21 – Значения pH для 30 последовательных выборок партий пива.
По данным таблицы строим XmR- карту. Для этого нам необходимо рассчитать центральную линию(CL),а так же контрольные границы (UCL-верхняя,LCL -нижняя) относительно центральной линии Границы ±3σ указывают, что около 99,7 % значений характеристики подгрупп попадут в эти пределы при условии, что процесс находится в статистически управляемом состоянии.[20]
Для построения контрольной карты Шухарта для индивидуальных значений Х и скользящих размахов R, стандартные значения для которых не заданы, использованы данные табл. 3. Линии контрольной карты для скользящих размахов R:
- центральная линия CL рассчитывается как среднеарифметическое значений R (табл. 3),
CL=
=0,033232, (22)
- верхняя контрольная граница:
UCL=
=3,268*0,033232=0,108603 (23)
нижняя контрольная граница:
LCL=
=0*0,033232=0 (24)
(так как число измерений в подгруппе меньше 7).
Значения множителей
и
взяты из приложения А. Карта размахов приведена на рис. 15 и демонстрирует статистически управляемое состояние, это означает, что можно построить контрольную карту индивидуальных значений.
Рисунок 15–Контрольная карта скользящих размахов
Результаты расчета линии контрольной карты индивидуальных значений наносятся на контрольную карту (рис. 3). Линии контрольной карты индивидуальных значений Х:
- центральная линия CL = 5,2625 (это среднеарифметическое значений Х, таблица 3);
- верхняя контрольная граница:
UCL=CL+
=5,350898 (25)
- нижняя контрольная граница:
LCL= CL-
= 5,174102 (26)
Значение множителя
взято из приложения А.
Определим зоны внутри контрольных границ шириной σ
σ =(UCL-LCL)/3= 0,029461 (27)
Линии зон широтой σ:
= UCL – σ = 5,321432 (28)
=
– σ = 5,291966 (29)
= CL – σ = 5,203568 (30)
=
– σ = 5,233034 (31)
Контрольная карта индивидуальных значений представлена на рисунке 16
Рисунок 16 – Контрольная карта индивидуальных значений X
Контрольные карты интерпретированы с помощью критериев для особых причин, которые выявляют проявление особых (неслучайных) причин. Для этого на контрольной карте, помимо верхней и нижней контрольных границ и центральной линии, нанесены линии, которые делят карту на шесть равных зон шириной σ . Эти зоны обозначаются А, В, С, С, В, А, причем зоны С расположены симметрично центральной линии. Критерии для особых причин применимы к картам индивидуальных значений и картам средних значений. Результаты интерпретации представлены в таблице 22.
Таблица 22 Интерпретация процесса с помощью критериев для особых причнин.
| № критерия | Наименования критерия | Пояснение | Результат |
| 1 | Одна точка вне зоны А | Показывает выход точки на контрольной карте за границу контрольного предела | Отрицательно |
| 2 | Девять точек подряд в зоне С или по одну сторону от центральной линии | Показывает наличие серии – такого состояния, когда точки неизменно оказываются по одну сторону от центральной линии | Отрицательно |
| 3 | Шесть возрастающих или убывающих точек подряд | Показывает наличие тренда (дрейфа) – непрерывно повышающейся или понижающейся кривой | Отрицательно |
| 4 | Четырнадцать попеременно возрастающих и убывающих точек | Показывает периодическую структуру (то подъем, то спад) | Отрицательно |
| 5 | Две из трех последовательных точек в зоне А или вне ее | Показывает приближение к контрольным пределам | Отрицательно |
| 6 | Четыре из пяти последовательных точек в зоне В или вне ее | Показывает отдаление точек от центральной линии | Отрицательно |
| 7 | Пятнадцать последовательных точек в зоне С выше или ниже центральной линии | Показывает приближение к центральной линии, то есть в подгруппах смешиваются данные различных распределений | Отрицательно |
| 8 | Восемь последовательных точек по обеим сторонам от центральной линии и ни одной в зоне С | Показывает отдаление точек от центральной линии | Отрицательно |
Анализ контрольных карт, приведенный в табл. 22 , показал отсутствие специальных причин вариабельности процесса. Это значит, процесс производства сусла находится в состоянии статистической управляемости. Эти данные подтверждены органолептической оценкой исследуемых образцов пива. Отмечено, что все они соответствуют типу пива, имеют полный, гармоничный аромат и вкус, аромат от побочных продуктов брожения отсутствует, пиво получило высокую оценку. Таким образом, разработанный алгоритм позволяет эффективно использовать инструментарий статистического анализа в процессе производства пива. Последовательно используя статистические инструменты можно получить больше данных о процессе и принять эти сведения для улучшения технологического процесса и качества готовой продукции.
После того, как было определено, что процесс находится в состоянии статистической управляемости, т.е. стабилен и на основе данных процесса мы можем предсказать с определенной степенью точности его поведение в будущем, мы можем провести анализ процесса с помощью индексов (показателей) возможностей процесса.
Для начала необходимо рассчитать поле допуска. Поле допуска – это жизненное пространство процесса, расстояние между границами допуска.
Поле допуска =Верхняя граница допуска - Нижняя граница допуска= =5,3-5,1 = 0,2 (32)
Поле допуска так же может измеряется в единицах сигм(σ):
Поле допуска=
= =6,787485 (33)
(σ-еденицы)
Где
– внутригрупповая дисперсия
Данный процесс имеет поле допуска больше 6 , что дает ему достаточно простора, чтобы 100% продукции будет качественной, при условии, что процесс правильно центрирован.
Степень центрирования процесса относительно границ допуска можно описать при помощи расстояния до ближайшей границы:
Zu =
= 1,272857(σ-еденицы) (34)
















