Мальцев В.М., Мальцев М.И., Кашпоров Л.Я. - Основные характеристики горения (1043377), страница 40
Текст из файла (страница 40)
* Кольца условно обозначают поверхность углерода (графита).
Мейер в 1932 г. сделал предположение, что до 1500 К адсорбируются две молекулы кислорода, которые при ударе третьей молекулы дают равное количество СО2 и СО. Схематически это мож-но изобразить следующим образом:
При температурах выше 1800 К удаление хемосорбированных молекул происходит термическим путем с образованием двух молекул CO и одной молекулы СO2:
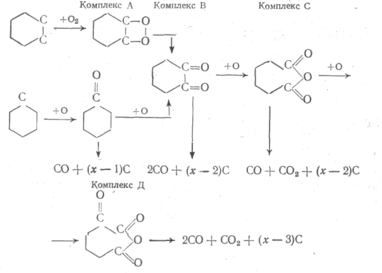
Согласно Чуханову (1936 г.), в зависимости от температуры углерод с кислородом взаимодействует двумя различными способами. Первый, названный окислением углерода, приводит к одновременному первичному образованию СО и СО2. Его начальной стадией является адсорбция кислорода
с последующим возникновением поверхностного комплекса
Разрушение последнего осуществляется либо чисто термически
л
ибо ударом молекулы кислорода
Второй способ взаимодействия, названный горением, состоит в образовании только окиси углерода:
и развивается, по мнению Чуханова, при температурах выше 800 °С.
По представлениям Лаврова [92, с. 186], в результате протекания цепных реакций и термической диссоциации образуются атомный кислород, атомный водород и радикал •ОН, которые принимают активное участие в окислении углерода. Углерод-кислородный комплекс образуется как в результате взаимодействия с молекулярным кислородом, так и в результате взаимодействия с частицами О и •ОН:
Состав первичных окислов углерода зависит от условий горения и тесно связан со структурой промежуточного комплекса на поверхности углерода (кольца). Комплекс может реагировать с атомным кислородом и усложняться или распадаться с образованием окислов углерода:
При реагировании гидроксила с углеродом возникает цепная реакция с неразветвленными цепями, обеспечивающая непрерывность процесса горения:
Взаимодействие с парами воды. Опытами ряда исследователей (Мейер, Мартин и Мейер, Сивонен, Дольх) в 1932—1938 гг. установлено, что в результате реакции Н2О с твердым углеродом образуются только СО и Н2 и притом в эквимолекулярных количествах. Дольх пришел к выводу о том, что первичное взаимодействие углерода с паром протекает по уравнению С + Н2О = = СО+Н2. Возникающая окись углерода подвергается гомогенной реакции конверсии СО + Н2О = СО2 + Н2. При достаточно высоких парциальных давлениях Н2 и Н2О и низких температурах образуется метан С+2Н2=СН4. При этом, согласно [122], на угле сначала адсорбируется водород, а затем возникший комплекс разрушается молекулой воды:
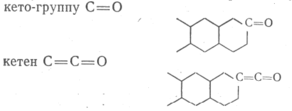
Мейер исследовал реакцию C+H2O и также установил, что в результате образуются только СО и Н2 в эквимолекулярных количествах. Энергия активации составляла ту же самую величину, что и для реакции СO2 + С. По данным ряда работ [123], механизм взаимодействия угля с водяными парами сходен с принятым для реакции С+ СO2. Полагают, что молекулы воды распадаются на поверхности углерода, образуя кето-комплексы и адсорбированные атомы водорода:
Дальнейшее течение реакции происходит путем распада кето-комплекса
С
огласно представлениям Лаврова [92, с. 193; 124], в результате протекания цепных реакций и термической диссоциации паров воды образуются гидроксил и атомный водород, которые принимают активное участие в процессе взаимодействия углерода с парами воды. Поверхностный комплекс образуется как в результате взаимодействия с парами воды
так и в результате взаимодействия с гидроксилом
П
ри взаимодействии гидроксила с углеродом протекает цепная неразветвленная реакция
Взаимодействие с двуокисью углерода. Мартин и Майерс в 1934 г. обнаружили две ступени процесса взаимодействия твердого углерода с двуокисью углерода: первую в пределах от 1150 до 1250 К и вторую — от 1250 до 1600 К. Первая ступень процесса идет с образованием адсорбированного поверхностного окисла. Во второй температурной области адсорбированный окисел превращается в газообразный.
Для достаточно высоких температур вторая стадия следует не-посредственно за первой, и процесс можно представить протекающим по реакции:
Изучая кинетику реакции С + СО2=СО в глубоком вакууме, Мартин и Мейер в 1936 г. показали, что взаимодействие углерода с СО2 в определенном интервале температур практически не зависит от давления СО2, т. е. является реакцией нулевого порядка. При более высоких температурах наблюдается увеличение скорости процесса с ростом парциального давления СО2. К аналогичному заключению о нулевом порядке реакции в определенном диапазоне температур приводят и результаты исследований Сивонена (1938 г.).
Для объяснения указанных выше фактов авторы принимают, что в начальный момент соприкосновения СО2 с углеродом происходит частичная адсорбция образующейся окиси углерода. Покрытие поверхности угля адсорбированными таким путем частицами СО достигается настолько быстро, что необходимое для него время лежит за пределами точности эксперимента, а количество прореагировавшего при этом СО2 ничтожно и не поддается измерению. Реакция будет продолжаться, если произойдет десорбция СО. Она открывает доступ к атомам углерода и позволяет им вступать во взаимодействие с новыми порциями СО2. Если почему-либо десорбция СО невозможна, реакция прекращается тотчас же после покрытия поверхности адсорбированной окисью углерода. Таким образом, реакция в вакууме слагается из трех стадий. Первая из них ведет к покрытию поверхности графита устойчивым кето-комплектом:
Вторая, наиболее трудная, представляет собой десорбцию СО, т. е. разрушение кето-комплексов
Третья стадия, легко осуществляющаяся и совпадающая по-характеру с первой, заключается во взаимодействии СO2 со свободными в результате десорбции СО поверхностными атомами углерода:
Последние две стадии могут тесно переплетаться и сливаться в одну, поскольку удар молекул СО2 о кето-группы способствует их разрушению.
Франк-Каменецким были предложены схемы взаимодействия' СО2, с твердым углеродом. Одна из них выглядит следующим образом:
Третье и пятое уравнение при математической обработке не рассматриваются. Кроме того, принимается, что роль шестой ре-акции незначительна. На основании этой схемы Франк-Каменецкий получил кинетическое уравнение, связывающее парциальные давления окиси и двуокиси углерода с константами скорости первой, второй и четвертой реакций.
Чуханов и Альтшуллер в 1940 г. предложили другую схему:
Первые две стадии показывают, как образуется поверхностный комплекс СхОу, третья стадия отражает термический распад поверхностного комплекса, четвертая — разрушение поверхностного комплекса за счет удара молекулы CO2 и пятая—процесс десорбции окиси углерода.
Исходя из современных представлений о хемосорбции, одну молекулу кислорода можно рассматривать хемосорбированной как на одном активном центре, так и на двух, а молекулу СО2 — даже на трех и четырех активных центрах. В работе [92, с. 161] рассмотрена схема взаимодействия СО2 с активными центрами углерода (активные центры условно обозначены как атомы углерода):
В случае хемосорбции на четырех центрах уравнения выглядят так же, как и в случае для трех центров. Аналогично можно рассмотреть схему механизма реакции С + О2. При высоких температурах (2000 К) СО2 заметно диссоциирует на СО, О2 и О. В работе [92] высказано предположение об активной роли молекулярного и атомного кислорода в механизме реакции С + СО2.
4. Окисление простейших углеводородов
Низкотемпературное окисление метана
Механизм и кинетика окисления метана исследованы в работах Семенова [9, 103, 125], Норриша (1935 г.), Льюиса и Эльбе и других авторов (1937 г.) [4, 104]. Семенов впервые выдвинул теорию цепного механизма окисления метана и других углеводородов и объяснил особенности этих реакций. При этом он показал, что взаимодействие метана с кислородом (в исследованном диапазоне температур) идет по цепному механизму с вырожденным разветвлением. При окислении метана в области низких температур превалирующую роль играют органические перекиси [126—129]. По мере повышения температуры роль активных продуктов возрастает в следующей последовательности: алкилгидро-перекиси — ацилгидроперекиси — формальдегид. Это подтверждают также данные работы [130] по фотохимическому окислению метана и этана. Большое число экспериментальных работ подтверждает определяющую роль формальдегида в процессе окисления метана при повышенных температурах [128, 131].
Для окисления углеводородов при температурах около 200 °С, по-видимому, справедлива следующая схема [108]:
















