Мальцев В.М., Мальцев М.И., Кашпоров Л.Я. - Основные характеристики горения (1043377), страница 36
Текст из файла (страница 36)
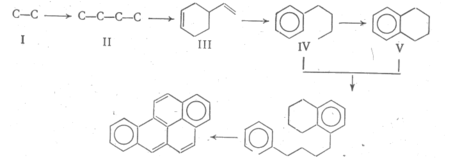
Представляет интерес схема Бэджера и др. [89, 90] (хотя она основана на исследованиях пиролиза, а не пламени) ступенчатого синтеза полициклических ароматических углеводородов из исходного соединения с двумя атомами:
При высоких температурах исходные углеводороды распадаются в результате пиролиза на насыщенные молекулы меньшего размера и олефины. Дальнейший пиролиз этих соединений, в особенности этилена, приводит к образованию ацетилена. Это подтверждается данными работ [81, 86], где показано, что в зоне окисления плоского пламени смеси С2Н4 + О2 концентрация этилена очень быстро понижается до нуля, в то время как количество ацетилена увеличивается.
Как предположили авторы работы [87], в пламенах ацетилен, по-видимому, еще более легко образуется за счет радикалов (•ОН, Н и др.). Таким образом, соединением I в схеме Бэджера (применительно к пламени) может быть ацетилен.
Соединение II может являться диацетиленом или винилацети-леном (1,3-бутадиен маловероятен). Углеводороды С6—С2 (например, фенилацетилен и стирол) можно рассматривать как вариант соединений III. Соединения IV могут быть представлены бутил-бензолом или фенилбутадиеном, присутствие которого в пламенах ацетилена и этилена установлено [86].
Обсуждение результатов
При рассмотрении результатов исследований и механизмов образования углерода в пламени следует, на наш взгляд, отметить следующее.
С
хему образования углерода в пламени можно представить таким образом:
Так, в пламени ацетилена [78] (20% ацетилена в смеси с гелием) и 600 °С образуется туман светло-желтой жидкости. При повышении температуры до 700, а затем до 800 °С появляются первые капельки более темной жидкости и, наконец, черные твердые частицы. Анализ частиц при 700 °С дает 93,7% углерода и 5,8% водорода, что примерно соответствует формуле (С8Н6.). Анализ частиц при 800 °С дает 95,6% углерода и 4,2% водорода, что соответствует формуле (C8H4). Как показано в работе [80] (при отборе пробы в условиях высокого вакуума), элементный состав сажи в ацетилен-кислородном пламени в области максимального образования углерода имеет формулу между С6Н2 и C6H2, причем происходит дальнейшая графитизация далее по потоку. Если поместить пробоотборник в низкотемпературные области пламени (где происходит образование тумана), то, очевидно, можно получить отложения смолообразных продуктов, которые при дальнейшем температурном воздействии могут превратиться в твердый стекловидный углерод или кокс. Вероятно, можно создать такие условия в пламени, когда весь углерод будет выделяться (отлагаться) в виде смолообразных продуктов. Следует отметить, что на начальных стадиях образования частицы углерода имеют небольшие размеры по сравнению с длинами волн видимого света и не нарушают прозрачности участков пламени [91]. Но они быстро растут и становятся видимыми. Отсутствие свечения в тех или иных зонах пламени еще не свидетельствует об отсутствии в этих зонах мельчайших ядер углерода и процессов ядрообразования.
На основании результатов исследований ряда авторов можно считать, что основные размеры граней кристаллов, образующих сферическую частицу углерода, порядка 2 нм. Основная проблема при исследовании процессов ядрообразования заключается в установлении механизма, по которому могут возникать плоские структуры конденсированных образований, содержащие около 100 атомов углерода [78].
Частицы углерода представляют собой полимерные продукты с небольшим содержанием водорода. Они образуются в результате сложных физико-химических процессов. Исходя из природы этих частиц, обязательными являются при этом реакции, связанные с удалением водорода и укрупнением углеродного скелета.
Рассмотренное выше влияние примесей на процессы образования углерода свидетельствует о радикально-цепном механизме образования зародышей конденсированных продуктов. Реакционная способность активных углеродных поверхностей или частиц во многих случаях свидетельствует о том, что они являются ненасыщенными или даже свободно-радикальными [75].
Полициклические ароматические, углеводороды обнаружены в пламени ацетилена. Ацетилен присутствует в светящихся пламенах как алифатических, так и ароматических соединений. Экспериментальные данные показывают, что возможны следующие процессы в пламени, ведущие к образованию углерода: а) упдотнение ароматической структуры; б) разрушение ароматической структуры с образованием ацетилена и радикалов; в) превращение ацетилена, минуя ароматические структуры; г) превращение ацетилена с образованием ароматической структуры (циклизация) с последующим ее уплотнением. Во многих пламенах эти процессы протекают одновременно. Однако в ряде случаев некоторые из них могут быть подавлены и практически не вносят заметного вклада в образование углерода.
Образование углерода через уплотнение ароматической структуры, предложенное еще Руммелем и Вэ, очевидно, протекает по схемам, близким к изложенным в работах [2, 78, 80, 86]. Образование углерода в результате превращения ацетилена, предложенное Портером, очевидно, протекает по схемам, близким к изложенным в работах [73, 78, 80, 86].
В образовании углерода в общем случае, по-видимому, могут принимать участие такие продукты, как диацетилен, метилацетилен, винилацетилен, полиацетилены, атомный водород, ацетиленовые радикалы СН; С2; •С2Н; •С4H3, фенилацетилен, стирол, радикалы и обломки молекул ароматических и ненасыщенных алифатических соединений. Однако роль их в настоящее время недостаточно изучена.
Углерод в ацетиленовых и других алифатических пламенах, вероятно, более «ацетиленовый», а углерод в пламенах ароматических соединений более «ароматический». Природа исходных углеводородов в той или иной мере накладывает отпечаток на характер процессов образования углерода в пламени, и единого механизма образования углерода, универсального для всех соединений, по всей видимости, предположить нельзя.
Временные условия в диффузионных пламенах и пламенах гомогенных смесей существенно различны, что, очевидно, ведет к некоторым различиям в механизме образования углерода в них. При переходе от одного пламени к другому могут резко меняться температурные условия и градиенты нарастания температур. Зоны образования углерода в одном и том же пламени могут быть достаточно обширны и характеризоваться значительным изменением температур. Вероятно, следует согласиться с мнением Кокурина о том, что в низкотемпературных пламенах и зонах значительную роль в механизме образования углерода играют ароматические соединения, а при более высоких температурах значительная часть углерода образуется через ацетилен и его производные.
Поскольку на стенках и поверхностях горения образцов обычно наблюдаются более низкие температуры по сравнению с газовой фазой, можно предположить, что образование «поверхностного» углерода (смолообразных, коксообразных и стекловидных продуктов) в большей степени идет через ароматические соединения и их производные, чем через ацетилен и его производные. Однако это не является, очевидно, обязательным для углерода, отлагающегося на поверхности в виде сажи.
Наличие различных функциональных групп, обнаруженных в углеродистых частицах, является, по-видимому, результатом химической адсорбции таких элементов, как кислород и азот, на стадиях ядрообразования, укрупнения частиц и их выгорания.
Можно представить, что укрупнение частиц углерода происходит путем столкновения и слияния зародышей и частиц друг с другом; путем реакций, составляющих механизм ядрообразования и протекающих на поверхности уже образованных частиц; посредством реакции Будуара, так как окись углерода присутствует практически во всех пламенах углеводородов.
С процессами образования и укрупнения частиц конкурируют другие реакции, такие как взаимодействие зародышей конденсированных частиц и самих частиц с парами воды, двуокиси углерода и кислородом (в случае гомогенных смесей), которые ведут к уменьшению количества конденсированных продуктов в пламени.
2. Реакции метана и водяного газа
Образование метана. Метан образуется в результате разложения органических соединений. Механизм образования метана в результате разложения органических соединений уже рассмотрен в гл. II, § 2 и гл. III, § 1. Кроме того, образование метана может происходить (в низкотемпературных зонах пламени) в результате взаимодействия водорода с СО, СО2, а также непосредственно с углеродом. В водяном газе (смесь СО, СО2, Н2 и Н2О), а также при сухой перегонке и коксовании угля концентрация метана при невысоких температурах может достигать нескольких процентов. Повышение давления и понижение температуры способствуют образованию метана.
Дегидрирование метана. Вследствие протекания процессов дегидрирования метан в пламени превращается в водород, этилен, ацетилен и зародыши (ядра) углеродистых частиц по схеме: СН4—>С2Н4—>С2Н2—->зародыши. Механизм превращения см. гл. II, § 2.
Конверсия метана парами воды. Реакции конверсии метана рассмотрены в работе [92, с. 108]. Лейбуш, Людковская [93, 94], изучая кинетику реакции взаимодействия метана с водяным паром без применения катализаторов в интервале температур 700— 1050 °С, установили зависимость константы скорости суммарного процесса от температуры (в мин-1):
В присутствии никелевого катализатора эта зависимость описывается уравнением (в с-1)
Альтшулер, Щафир [55] выполнили опыты по исследованию реакции взаимодействия метана с водяным паром при 800— 1200°С и давлениях до 4 МПа без применения катализатора. Установлено, что при температуре 1100—1200 °С и давлении 2 МПа происходит значительная конверсия метана на нейтральной насадке. С повышением давления степень превращения метана растет. Исследуемая реакция имеет первый порядок по отношению к метану. Механизм низкотемпературной конверсии метана исследован в работах Лаврова и Петренко [96, 97]. Согласно их представлениям, основная цепь взаимодействия метана с парами воды протекает по следующей схеме [92, с. 110]:
Суммарная реакция:
















