Мальцев В.М., Мальцев М.И., Кашпоров Л.Я. - Основные характеристики горения (1043377), страница 22
Текст из файла (страница 22)
Для диффузионных пламен и пламен предварительно перемешанных смесей характерно протекание процессов разложения исходных соединений и превращения продуктов разложения. Процессы разложения и превращения в диффузионных пламенах протекают в среде азота, двуокиси углерода и паров воды, а в пламенах гомогенных смесей — в среде азота, двуокиси углерода, паров воды и кислорода. Появление и. превращение продуктов разложения исходных соединений в пламенах предварительно перемешанных смесей происходит значительно быстрее, чем в диффузионных.
При обсуждении результатов газового анализа следует иметь в виду, что первичные процессы разложения исходных соединений включают в себя не только процессы разрыва химических связей (С—С; С—Н и др.) с образованием обломков молекул и радикалов, но и могут сопровождаться одновременно протекающими процессами полимеризация, конденсации, циклизации, гидрирования, алкилирования и деалкилироваяия 29], которые приводят к образованию устойчивых продуктов разложения. Процессы термического разложения (деструкции) протекают во времени, поэтому во многих случаях нельзя строго разделить продукты разложения исходных соединений и продукты дальнейших химических превращений в пламени. Распределение концентраций газообразных компонентов в пламени обусловлено не только протеканием химических процессов, но и процессами диффузии. Под продуктами разложения исходных соединений будем понимать продукты, обнаруженные вблизи устья горелки (или поверхности образца), концентрация которых в дальнейшем уменьшается.
Продуктами разложения органических соединений в диффузионных пламенах и пламенах гомогенных смесей являются водород и простейшие углеводороды. Общим простейшим углеводородом при разложении исследованных органических соединений является метан. В пламенах кислородсодержащих соединений кроме этого образуются простейшие кислородсодержащие соединения типа СН2О, а в пламенах азотсодержащих соединений, вероятно, образуется азот. В процессе разложения некоторых соединений образуется этан, максимальное содержание которого составляет доли %. В качестве продукта разложения высокомолекулярных предельных углеводородов (парафина) обнаружен в незначительном количестве пропан. Наличие бутана в пламенах исследованных соединений не установлено. Продуктом разложения некоторых органических соединений является этилен. При горении высокомолекулярных предельных углеводородов (парафина) образуются кроме этилена другие непредельные соединения: пропилен и в не-больших количествах бутилен и бутадиен (дивинил). Характер распределения концентраций ацетилена в пламенах позволяет предположить, что он не является первичным продуктом разложения исходных соединений неароматического строения.
По мере нарастания температуры в пламени (приближения к фронту горения) продукты разложения исходных соединений претерпевают химические превращения, в результате которых в большинстве пламен образуется водород, этилен и ацетилен. При тщательном анализе газовых проб в некоторых пламенах обнаружены в незначительных количествах метилацетилен, винилацетилен и диацетилен.
При выяснении химических превращений продуктов разложе-ния исходных соединений следует иметь в виду, что обычно в пла-мени протекают реакции дегидрирования простейших углеводородов типа С2Н6=С2Н4+Н2; С2Н4=С2Н2+Н2, а также реакции C + +CО2=2СО; С+Н2О = СО+Н2; CO + 1/2O2 = CO2; СО+Н2О = CО2+ +Н2; СН4+СО2=2СО + 2Н2; СН4+Н2О = СО + ЗН2; СН4+2Н2О = = СO2+4Н2. Изменение изобарно-изотермического потенциала в реакции дегидрирования этилена [30] равно
где ΔG < 0 при Т > 1400 К, т. е. реакция будет протекать с термодинамической точки зрения при температуре выше 1400 К.
Константы скорости прямых реакций углерода и метана с СО2 и Н2О с увеличением температуры растут быстрее, чем константы скорости обратных реакций. Вследствие этого константы равновесия этих реакций с увеличением температуры быстро растут, а равновесие реакций резко смещается в сторону увеличения содержания СО (константы равновесия достигают единицы уже при температуре 600—700 °С).
Реакции углерода с СО2 и Н2О .использованы в работах [2, с. 180; 31] для объяснения выгорания конденсированных частиц в диффузионных пламенах углеводородов. Равновесие реакции водяного газа СО+Н2О = СО2+Н2 с увеличением температуры тоже смещается в сторону образования СО, причем константа равновесия достигает единицы при температуре около 800 °С [32]. Равновесный состав водяного газа при разных температурах с учетом образования метана приведен в работе [33, с. 142].
Реакции диссоциации двуокиси углерода и воды с заметным выходом продуктов диссоциации возможны только при высоких температурах, более 2000 К (в прилегающих к основной реакционной зоне областях некоторых пламен). По результатам вычислений, приведенным в работе [33, с. 20], .степень диссоциации СОа на СО и О2 при нормальном давлении и температуре 1000, 2000 и 3000 К составляет соответственно 2,0*10-5; 1,55 и 44,1%.
В пламенах гомогенных смесей помимо перечисленных реакций могут протекать реакции непосредственного окисления углеводородов:
Состав продуктов разложения и превращения, а также их содержание могут быть различными и зависят от свойств и строения исходных соединений. Нет однозначного соответствия между элементарным составом исследованных соединений и содержанием продуктов их разложения.
Образование водорода, ацетилена, этилена и этана в качестве продуктов разложения метана в пламени хорошо согласуется с данными по термическому разложению метана [34, с. 105] в инертной среде и может быть объяснено превращением метана по принятым в настоящее время цепному (Райс, 1935 г.) и молекулярному (Кассель, 1932 г.) механизмам. Цепной механизм превращения метана протекает с участием метильного радикала и атомного водорода:
Наличие метальных радикалов при термическом превращении метана доказано экспериментально в работах Раиса и др. исследователей.
Молекулярный механизм превращения метана включает следующие стадии:
В работах Меске (1930 г.), Велхетца (1934 г.), Райса (1934 г.) доказано, что метиленовые радикалы действительно образуются при термическом превращении метана. Отношение вычисленных скоростей цепного и молекулярного процессов превращения метана равно единице при 1960 К; при более высокой температуре цепной процесс протекает медленнее молекулярного. Судя по экспериментальным данным, молекулярный механизм преобладает уже при Т> 1400-М 500 К [34, с. 109].
Углеводородных составляющих (ацетилена, этилена, этана и метилацетилена) в пламени метана мало — доли %. Очевидно, значительная часть метана претерпевает превращения, образуя этан, этилен и ацетилен, по другому механизму. В условиях диффузионного пламени процессами, которые ведут к превращению метана в пламени, могут быть процессы взаимодействия метана с парами воды я двуокисью углерода:
СН4+Н20 = СО + ЗН2
СН4 + СО2 = 2СО + 2На
Можно также предположить, что образующиеся в условиях пламени метана С3Н6 С2Н4 и С3Н2 настолько быстро расходуются, например в реакциях образования зародышей конденсированных частиц, что их концентрация составляет всего доли %.
Продукты разложения парафина С26Н54 при горении имеют целый ряд углеводородов; при этом содержание этилена — наибольшее. Интересно отметить, что, по данным Маршетца (1938 г.), при термическом разложении октана (при 571 °С и 0,1 МПа) образуются те же газообразные продукты (ираме бутадиена, вместо которого в незначительных количествах обнаружен бутан), причем максимальное содержание приходится тоже на долю этилена.
В работе [22] при горении на воздухе исследован состав газообразных продуктов термического разложения парафина (того же образца, который использован при исследовании диффузионного пламени). Разложение парафина проводилось в кварцевой пробирке в среде азота при времени пребывания в 'изотермической зоне 0,1 — 0,3 с. Установлено, что при термическом разложении парафина при t=700 и 800 °С образуются те же продукты, что и в диффузионном пламени, причем по уменьшению содержания они располагаются (при t=700°С) почти в таком же порядке: этилен, пропилен, водород, метан, этан (4,92%), бутилен (4,3%), бутадиен (3,72%) и пропан (1,06%). Незначительные различия в порядке расположения компонентов по уменьшению их содержания могут быть объяснены влиянием стенок кварцевой пробирки. Это сходство составов продуктов щрения и термического разложения можно объяснять щепным механизмом, наблюдаемым в обоих случаях,
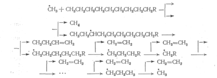
Цепной механизм протекания процесса разложения исходных углеводородов (Раис, 1931 г.; Раис и Герцфельд, 1934 г.) предложен для условий термического разложения и экспериментально подтвержден для парафинов. Небольшой свободный радикал (•СНз, •С2Н5) из предыдущего цикла или образовавшийся в результате первичного разрыва углеводорода по связи С — С вырывает атом водорода из молекулы высшего углеводорода (предпочтительно от вторичного или еще легче от третичного атома углерода). Скорости отрыва водорода от первичного, вторичного и третичного углеродных атомов относятся друг к другу соответственно как 1 : 3 : 33 при 300 °С; 1:2:10 при 600 °С и 1 : 1,6 : 5 при 1000°С.
Радикалы длиннее этильного разрываются в -положении относительно атома углерода с неспаренным электроном, причем образуется олефин и новый радикал (распаду радикалов может предшествовать их изомеризация). Этот и последующие радикалы также разрываются в -положении до тех пор, пока не образуется этильный или метильный радикал, которые инициируют новую цепь:
Энергии разрыва слабейшей средней С—С-связи в молекуле нормальных парафинов составляют: 318,2кДж/моль (76 ккал/моль) в C6H14; 314 кДж/моль (75 ккал/моль) в C7H16 и 309,8 кДж/моль (74 ккал/моль) в С8Н18 [34, с. 44]. Связь С—С в молекуле олефина, сопряженная с двойной, имеет энергию разрыва около 257,5 кДж/моль (61,5 ккал/моль) [34, с. 157]. Поэтому инициирование цепей в основном происходит не при распаде исходного парафина, а в результате распада олефинов. На основе теории цепного разложения парафинов можно предсказать первичные продукты разложения парафинов.
Интересно отметить, что с увеличением числа углеродных атомов в исходной молекуле должен увеличиваться выход этилена и уменьшаться выход всех других продуктов. Так, по расчетным данным [34, с. 104], содержание этилена в продуктах термического разложения при переходе от C5H12 к С12Н26 растет с 18,2 до 61,2%. Аналогичные закономерности наблюдаются, по-видимому, и при разложении углеводородов в условиях пламени. Например, максимальное содержание этилена в пламенах метана, пропана и парафина С26Н54 соответственно составляет 0,12; 1,0 и 12,6%.
При химических превращениях продуктов разложения парафина образуется водород, содержание которого на исследованном в работе [22] участке пламени растет. Образование ацетилена в пламени парафина, как уже отмечалось, экспериментально установлено в работе [21]. Отсутствие ацетилена, отмеченное авторами работы [22], в исследованной части пламени, вероятно, объясняется тем, что исследовалась только низкотемпературная область пламени.
Далее атом водорода вступает в следующие реакции:
Первичные продукты, образующиеся при горении и термическом разложении толуола, одинаковы. Так, по данным Шварца {1947г.) и Макото [35], при термическом разложении толуола в инертной среде из устойчивых газообразных продуктов образуются Тоже только водород и метан. Шварцем предложен механизм разложения толуола, объясняющий образование водорода и метана.
Первичным элементарным процессом является отрыв атома водорода от метальной группы:
Фенильный и метильный радикалы, отрывая атом водорода от метильной группы толуола, образуют бензильный радикал, который может только рекомбинировать с образованием дибензила, т. е. процесс не является цепным и скорость его определяется скоростью реакции образования бензильного радикала.
















