Для студентов МФПУ «Синергия» по предмету МатематикаМатематика (1-9)Математика (1-9)
5,0057
2026-01-01СтудИзба

🔷 Математика 🔷(1-9) Тест на 💯 % Отлично! 👍

Ответы к зачёту Темы 1-9: Математика (1-9) вариант Итоговый тест
Хит
-40%

Описание

Математика
✔️ 🎓 Синергия/МТИ/МОСАП 🎓 ✔️ Дата: 07.12.25 /Семестр 1
Уровень: СПО
Направление: Чертежник-конструктор ✔️ Коллекция содержит:
  • Итоговый тест
  • PDF файл /Идеальное компьютерное качество
✔️ Файл с вопросами сформируется автоматически после покупки коллекции
✔️ В файле PDF пользуйтесь навигацией вопросов по странице Ctrl+F

Мой профиль -ссылка на все работы и вопросы ◀️
Ссылка помощь в прохождении дисциплины на отлично за 999 руб. ◀️ ◀️ ◀️
Ссыла помощь в прохождении "Сессия" /без практики/ за 6990 руб. ◀️ ◀️ ◀️

Список вопросов

Для матрицы A = ((4, 1, –1, 4), (–3, 2, 2, 3), (1, 3, –3, 1), (2, 1, 3, 1)) произведение элементов ее побочной диагонали равно …
Тип ответа: Одиночный выбор•
Пусть дана матрица A = ((–3, 5, 1), (0, 2, –6), (3, 7, –5)), тогда элемент данной матрицы a₃₂ равен …

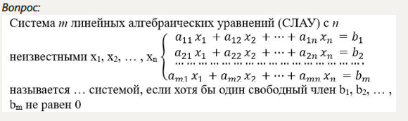
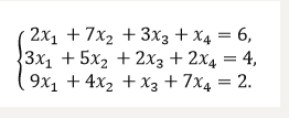
Расположите данные выражения для системы линейных уравнений {2x₁ + 7x₂ + 3x₃ + x₄ = 6; 3x₁ + 5x₂ + 2x₃ + 2x₄ = 4; 9x₁ + 4x₂ + x₃ + 7x₄ = 2. в порядке «основная матрица системы, расширенная матрица системы, матрица неизвестных, матрица правой части»:

Переход от матрицы А к матрице А T , в которой строки и столбцы поменялись местами с сохранением порядка, называется … матрицы А
Тип ответа: Текcтовый ответ
Матрица называется … матрицей, если в каждой ее ненулевой строке имеется такой ненулевой элемент, что все остальные элементы столбца, содержащего этот элемент, равны нулю
Тип ответа: Текcтовый ответ
Расположите значения миноров матрицы A=
Тип ответа: Сортировка•
Установите правильный порядок пропущенных слов в приведенном ниже тексте, от (1) до (4): Уравнение межотраслевого баланса можно использовать в двух целях. В первом случае, когда известен вектор ___(1) выпуска Х, требуется рассчитать вектор ___(2) потребления Y. Во втором случае уравнение ___(3) баланса используется для целей ___(4) со следующей формулировкой задачи: для периода времени T известен вектор конечного потребления Y и требуется определить вектор Х валового выпуска.
Тип ответа: Сортировка•
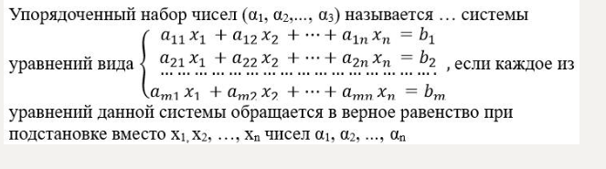
Упорядоченный набор чисел (α₁, α₂,…, α₃) называется … системы уравнений вида {a11x1 + a12x2 + … + a1nxn = b1; a21x1 + a22x2 + … + a2nxn = b2; …, am1x1 + am2x1 + … + ammxn = bm, если каждое из уравнений данной системы обращается в верное равенство при подстановке вместо x1, x2, …, xn чисел α₁, α₂, …, αn

Тип ответа: Текcтовый ответ•
Точка х0 называется точкой … функции y = f(x), если для всех точек х ¹ х0 из некоторой окрестности х0 выполняется неравенство f(x) > f(x0)
Тип ответа: Текcтовый ответ•
Неверно, что операция транспонирования матриц обладает свойством …
Тип ответа: Одиночный выбор •
Функция, заданная в виде двух уравнений {x = x(t); y = y(t), где t – вспомогательная переменная, называется … заданной
Тип ответа: Текcтовый ответ
Функции у = f(x), удовлетворяющей условиям f´(x) < 0 и f´´(x) > 0, соответствует график …
Если дана производная функции f(x): f´(x) = x (3 – x), то можно утверждать, что функция f(x) убывает на …
Тип ответа: Одиночный выбор •
Дана система уравнений {x₁ + 2 ⋅ x₂ − x₃ = 1, −3 ⋅ x₁ + x₂ + 2 ⋅ x₃ = 0, x₁ + 4 ⋅ x₂ + 3 ⋅ x₃ = 2. Сколько решений имеет эта система уравнений и почему? Тип ответа: Одиночный выбор •
Площадь криволинейной трапеции D, изображенной на рисунке ниже, равна …
Дан неопределенный интеграл ∫ sin⁡ x cos5 xdx. Вычислите его значение.
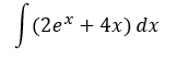
Значение неопределенного интеграла (2ex + 4x) dx



равно …
Определенный интеграл от непрерывной функции у = f(x) с конечным промежутком интегрирования [a; b] называется … интегралом
Тип ответа: Текcтовый ответ
Формула Ньютона–Лейбница для нахождения определенного интеграла имеет вид: …
Все первообразные F(x) для функции f(x) = х3 + 3х2 имеют вид: …
Операцию нахождения первообразной для данной функции называют …
Функция F(x) называется … функции f(x) на некотором промежутке, если для всех х из этого промежутка выполняется равенство F´(x) = f(x)
Дана функция

Найдите точки перегиба графика функции.
Если дана производная функции f(x): f´(x) = (x – 2)(x – 3), то точкой максимума будет …
Функция f(x)= x3 – 6x2 + 5 возрастает на …
Функция, график которой изображен на рисунке ниже, удовлетворяет следующему условию: …

Если при переходе через критическую точку f´(x) меняет знак с «–» на «+», то это точка …
Прямая, к которой неограниченно приближаются точки графика функции при их удалении от начала системы координат по кривой y = f(x), называется …
Геометрически теорема «Необходимые условия экстремума функции» означает, что касательная к графику функции в точке экстремума … оси Ох
Точка х0 называется точкой … функции y = f(x), если для всех точек х ≠ х0 из некоторой окрестности х0 выполняется неравенство f(x) < f(x0)
Расположите недостающие слова теоремы «Достаточные условия экстремума функции» в правильном порядке на места пропусков от (1) до (4):

Пусть точка х0 является ____(1) точкой ____(2) функции у = f(x). Тогда: если при переходе слева направо через точку х0 производная f´(x) меняет знак с плюса на минус, то х0 есть точка ____(3); если при переходе слева направо через точку х0 производная f´(x) меняет знак с минуса на плюс, то х0есть точка ____(4).
Установите соответствие между элементарной функцией и значением ее производной:
Существует уравнение касательной к прямой в x = –1 функции
Найдите уравнение касательной.
… смысл производной состоит в том, что значение производной f(х) в точке х равно угловому коэффициенту касательной к графику функции в точке (х; f(x))»
Производная функции у = 3х будет иметь вид: …
Значение у´(1) функции у = 7х7 + 3х2– 4x – 10 будет иметь вид: …
Производная функции у = 2х2– 8х + 5 будет иметь вид: …
Верная трактовка производной функции: …
Какая из приведённых ниже формул, является формулой суммы(разности) производных?
Если функция y = f(x) имеет непрерывную производную y´ = f´(x) в некотором интервале (a, b), то она называется … функцией
Операция нахождения производной для данной функции f(x) называется … функции f(x)
Расположите данные выражения в следующей последовательности:
«функция; производная функции первого порядка; производная функции второго порядка; производная функции третьего порядка»:
Продолжив формулу предела, получим:

Пятый член последовательности {xn} xn 1/(n +1)2 равен...

Если lim a(x)/b(x)= 1, то функции a(x) и B(x) называются … бесконечно x-x B(x)
малыми при х ->Хо (в точке хо)

Число a ∈ ℝ называется … последовательности {xn }, если ∀ε > 0 ∃N ∈ ℕ : ∀n ∈ ℕ ⇒ |xn − a| < ε
Тип ответа: Текcтовый ответ
Дан предел функции



Найдите значение передела.
Неверно, что … является формулой замечательного предела
Если f(x) – бесконечно малая функция и f(x) ≠ 0, то обратная ей функция


является …
Число a ∈ ℝ называется … последовательности {xn}, если ∀ε > 0 ∃N ∈ ℕ : ∀n ∈ ℕ ⇒ |xn − a| < ε
Расположите недостающие выражения в формулировке критерия Коши в пространстве (см. ниже) в правильном порядке на места пропусков, от (1) до (4):

Для того чтобы числовая последовательность {xn}имела предел, необходимо и достаточно, чтобы для любого числа ___(1) можно было найти такой ___(2), что для всех ___(3) и для любого р ∈ ℕ выполнялось неравенство ___(4).
Функция y = f(x) называется ... функцией на множестве D, если для любых х1, х2 € D из неравенства x1 < x2 следует неравенство f(x1) < f(x2)

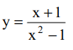
Областью определения функции

является интервал …
Областью определения функции

является …
Соотнесите множества и их элементы:
Тип ответа: Сопоставление
Область значений функции у = 5 – х 2 + 2х составляет …
Тип ответа: Одиночный выбор •
Неверно, что функция … является элементарной
Дана функция f(x) = −x2 + 8x − 13. Найдите множество значений данной функции.
Тип ответа: Одиночный выбор •
Область значений функции у = 5 – х2 + 2х составляет …
Наименьший положительный период функции y = sin 4x равен …
Множество, элементами которого являются числа, называется … множеством
Матрица А, все элементы которой неотрицательны, называется … матрицей, если для любого вектора Y с неотрицательными компонентами существует решение уравнения Х = А • Х + Y – где вектор Х, все элементы которого неотрицательны
Балансовые соотношения можно записать в виде системы уравнений. Эта система уравнений в матричной форме будет иметь вид Х = А • Х + Y, а . соотношение Х = АХ + Y называется уравнением линейного … баланса
Балансовый принцип связи различных отраслей промышленности состоит в том, что валовой выпуск i-ой отрасли должен быть …
Тип ответа: Одиночный выбор •
Предприятие выпускает 4 вида изделий с использованием четырех видов сырья. Нормы расхода сырья даны как элементы матрицы А:



где значение столбцов – это вид изделия.

Какие затраты сырья на каждый вид изделия при заданном плане их выпуска 120, 100, 70 и 80 ед. соответственно?
Для приведенной ниже таблицы ресурсов по отраслям экономики матрица распределения ресурсов будет иметь вид: …
Матрица … является единичной
Проблема расчета связи между отраслями через выпуск и потребление продукции разного вида впервые была сформулирована в виде математической модели в …
Согласно первому критерию продуктивности, матрица А продуктивна тогда и только тогда, когда матрица (E – А)-1существует и ее элементы …
Вставьте недостающие слова в формулировку
Расположите пропущенные слова в тексте ниже в порядке от (1) до (4):

Для производства продукции j-ой отрасли объема xj нужно использовать продукцию i-ой отрасли объема аij • xi где аij – ____(1) число. При таком допущении технология производства принимается ____(2), а само допущение – ____(3) линейности. При этом числа аijназываются коэффициентами ____(4) затрат.
Если существует обратная матрица к матрице (E – А), то уравнение (E – A) • Х = Y имеет единственное решение: Х = (E – A) -1 • Y, где матрица (E – А) -1 называется матрицей … затрат
Тип ответа: Текcтовый ответ
Системой трех линейных уравнений с тремя неизвестными называется система вида: …
Тип ответа: Одиночный выбор
Закончите формулировку теоремы: «Если, согласно следствию из теоремы Кронекера–Капелли, если ранг матрицы совместной системы равен числу переменных, то система …
Тип ответа: Одиночный выбор •
Дана система уравнений {x₁ + 2 ⋅ x₂ − x₃ = 1, −3 ⋅ x₁ + x₂ + 2 ⋅ x₃ = 0, x₁ + 4 ⋅ x₂ + 3 ⋅ x₃ = 2 Решая уравнение методом Крамера, какие действия необходимо совершить?
Тип ответа: Одиночный выбор •
Расположите выражения, известные для системы линейных уравнений
в следующем порядке: «основная матрица системы, расширенная матрица системы, матрица неизвестных, матрица правой части»:
Тип ответа: Сортировка
Дана система уравнений


Решая уравнение методом Крамера, какие действия необходимо совершить?
Теорема Кронекера–Капелли гласит, что система линейных …
Согласно теореме о количестве фундаментальных решений, если ранг (r) матрицы системы линейных однородных уравнений меньше числа переменных (n), т.е. r < n, то всякая фундаментальная система решений состоит из …
Неверно, что существует такой метод решения линейных уравнений, как …
… преобразованиями системы линейных алгебраических уравнений называются такие преобразования, как: перемена местами двух уравнений системы; умножение обеих частей одного уравнения на число, отличное от нуля; прибавление к обеим частям одного уравнения соответствующих частей другого уравнения, умноженных на некоторое число
Для матрицы A = ((4, 1, –1, 4), (–3, 2, 2, 3), (1, 3, –3, 1), (2, 1, 3, 1)) произведение элементов ее главной диагонали равно … Тип ответа: Одиночный выбор•

Если дана матрица А= ... , то алгебраическое дополнение А31 матрицы А равно...
Тип ответа: Одиночный выбор •
Матрица А называется невырожденной, если ее определитель …
Тип ответа: Одиночный выбор •
Не выполняя вычислений, используя свойства определителей, каждой матрице из левого столбца поставьте в соответствие значение ее определителя из правого столбца:
Тип ответа: Сопоставление
Выберите верное утверждение:
Тип ответа: Одиночный выбор •
Вставьте пропущенные слова в формулировку теоремы Лапласа в правильном порядке:
Определитель … матрицы равен …. произведений … любой строки (столбца) на их алгебраические ….
Пусть дана матрица А=... , тогда определитель матрицы равен...
Установите соответствие действия, выполняемого над матрицей ... , и соответствующего результата этого действия:
3. Расположите указанные ниже матрицы в порядке убывания (т.е. от большего значения к меньшему) их следов:
Дан матричный многочлен ⨍ (A) = 3A 2 – 5A +2. Нужно вычислить его значение. Приведите метод решения.
Тип ответа: Одиночный выбор •
Даны следующие матрицы: А₂ = ((1, 2), (3, 6)), В₂ = ((2, 6), (−1, 3)). Над данными матрицами было произведено алгебраическое действие, в результате которого получена матрица C₂ = ((3, 8), (2, 9)). Какое алгебраическое действие было произведено? Тип ответа: Одиночный выбор •
Дана матрица A = ((1, 1, −2), (1, 1, 2), (1, 2, 1)). В результате операции транспонирования была получена матрица Aᵀ = ((1, 1, 1), (1, 1, 2), (−2, 2, 1)).
Каким образом была получена матрица Aᵀ? Тип ответа: Одиночный выбор •
Дана система уравнений {x₁ + 2 ⋅ x₂ − x₃ = 1, −3 ⋅ x₁ + x₂ + 2 ⋅ x₃ = 0, x₁ + 4 ⋅ x₂ + 3 ⋅ x₃ = 2
Решая уравнение методом Гаусса, какие действия необходимо совершить? Тип ответа: Одиночный выбор •
Дана матрица A = ((1, 0, 1), (2, 3, 5), (0, 4, 8)).
Найдем определитель матрицы:
|A| = 1 ⋅ 3 ⋅ 8 + 0 ⋅ 5 ⋅ 0 + 1 ⋅ 2 ⋅ 4 − 1⋅ 3 ⋅ 0 − 1 ⋅ 5 ⋅ 4 − 0 ⋅ 2 ⋅ 8 = 24 + 0 + 8 − 0 − 20 − 0 = 12.
Как был найден определитель матрицы?
Тип ответа: Одиночный выбор •
Если функция y = f(x) определена на некотором множестве D, то она называется … функцией на этом множестве, если ∃M > 0 : ∀x ∈ D ⇒ | f(x)| ≤ M
Тип ответа: Текcтовый ответ
Функция … является нечетной
Тип ответа: Одиночный выбор •
Если функция f(x) – бесконечно большая, то обратная ей функция 1/f(x) – …
Установите соответствие между видом матрицы и примером матрицы данного вида:
Тип ответа: Сопоставление
Площадь криволинейной трапеции D, изображенной на рисунке ниже, равна … Тип ответа: Одиночный выбор •
Установите соответствие между графиком и формулой, задающей изображенную функцию:
Тип ответа: Сопоставление

Характеристики ответов (шпаргалок) к зачёту

Предмет
Учебное заведение
Семестр
Номер задания
Программы
Просмотров
71
Качество
Идеальное компьютерное
Количество вопросов
❓ Как копировать вопросы во время теста в Синергии?
Картинка-подпись
Я был поражен тем, как важно предпринимать действия. Недостаточно просто знать, нужно использовать знания. Мало хотеть чего-то, нужно делать. - Леонардо Да Винчи

Комментарии

Нет комментариев
Стань первым, кто что-нибудь напишет!
Поделитесь ссылкой:
Цена: 500 299 руб.
Расширенная гарантия +3 недели гарантии, +10% цены
Несколько человек купили за последний месяц
Рейтинг покупателей
5 из 5
Поделитесь ссылкой:
Сопутствующие материалы

Подобрали для Вас услуги

-30%
-33%
-30%
Вы можете использовать полученные ответы для подготовки к экзамену в учебном заведении и других целях, не нарушающих законодательство РФ и устав Вашего учебного заведения.
Свежие статьи
Популярно сейчас
А знаете ли Вы, что из года в год задания практически не меняются? Математика, преподаваемая в учебных заведениях, никак не менялась минимум 30 лет. Найдите нужный учебный материал на СтудИзбе!
Ответы на популярные вопросы
Да! Наши авторы собирают и выкладывают те работы, которые сдаются в Вашем учебном заведении ежегодно и уже проверены преподавателями.
Да! У нас любой человек может выложить любую учебную работу и зарабатывать на её продажах! Но каждый учебный материал публикуется только после тщательной проверки администрацией.
Вернём деньги! А если быть более точными, то автору даётся немного времени на исправление, а если не исправит или выйдет время, то вернём деньги в полном объёме!
Да! На равне с готовыми студенческими работами у нас продаются услуги. Цены на услуги видны сразу, то есть Вам нужно только указать параметры и сразу можно оплачивать.
Отзывы студентов
Ставлю 10/10
Все нравится, очень удобный сайт, помогает в учебе. Кроме этого, можно заработать самому, выставляя готовые учебные материалы на продажу здесь. Рейтинги и отзывы на преподавателей очень помогают сориентироваться в начале нового семестра. Спасибо за такую функцию. Ставлю максимальную оценку.
Лучшая платформа для успешной сдачи сессии
Познакомился со СтудИзбой благодаря своему другу, очень нравится интерфейс, количество доступных файлов, цена, в общем, все прекрасно. Даже сам продаю какие-то свои работы.
Студизба ван лав ❤
Очень офигенный сайт для студентов. Много полезных учебных материалов. Пользуюсь студизбой с октября 2021 года. Серьёзных нареканий нет. Хотелось бы, что бы ввели подписочную модель и сделали материалы дешевле 300 рублей в рамках подписки бесплатными.
Отличный сайт
Лично меня всё устраивает - и покупка, и продажа; и цены, и возможность предпросмотра куска файла, и обилие бесплатных файлов (в подборках по авторам, читай, ВУЗам и факультетам). Есть определённые баги, но всё решаемо, да и администраторы реагируют в течение суток.
Маленький отзыв о большом помощнике!
Студизба спасает в те моменты, когда сроки горят, а работ накопилось достаточно. Довольно удобный сайт с простой навигацией и огромным количеством материалов.
Студ. Изба как крупнейший сборник работ для студентов
Тут дофига бывает всего полезного. Печально, что бывают предметы по которым даже одного бесплатного решения нет, но это скорее вопрос к студентам. В остальном всё здорово.
Спасательный островок
Если уже не успеваешь разобраться или застрял на каком-то задание поможет тебе быстро и недорого решить твою проблему.
Всё и так отлично
Всё очень удобно. Особенно круто, что есть система бонусов и можно выводить остатки денег. Очень много качественных бесплатных файлов.
Отзыв о системе "Студизба"
Отличная платформа для распространения работ, востребованных студентами. Хорошо налаженная и качественная работа сайта, огромная база заданий и аудитория.
Отличный помощник
Отличный сайт с кучей полезных файлов, позволяющий найти много методичек / учебников / отзывов о вузах и преподователях.
Отлично помогает студентам в любой момент для решения трудных и незамедлительных задач
Хотелось бы больше конкретной информации о преподавателях. А так в принципе хороший сайт, всегда им пользуюсь и ни разу не было желания прекратить. Хороший сайт для помощи студентам, удобный и приятный интерфейс. Из недостатков можно выделить только отсутствия небольшого количества файлов.
Спасибо за шикарный сайт
Великолепный сайт на котором студент за не большие деньги может найти помощь с дз, проектами курсовыми, лабораторными, а также узнать отзывы на преподавателей и бесплатно скачать пособия.
Популярные преподаватели
Добавляйте материалы
и зарабатывайте!
Продажи идут автоматически
6955
Авторов
на СтудИзбе
264
Средний доход
с одного платного файла
Обучение Подробнее
{user_main_secret_data}