Дана система уравнений Решая уравнение методом - Ответ на вопрос по математике №1076833
-32%
Вопрос
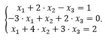
Дана система уравнений
Решая уравнение методом Крамера, какие действия необходимо совершить?
Ответ
Этот вопрос в коллекциях
-25%

Я был поражен тем, как важно предпринимать действия. Недостаточно просто знать, нужно использовать знания. Мало хотеть чего-то, нужно делать. - Леонардо Да Винчи



















