⚡️ Высшая математика и теория вероятностей 🌦️Тест на 95% Отлично! ✨

Ответы к экзамену: Высшая математика и теория вероятностей вариант Итоговый тест
Бестселлер
-40%

Описание

Высшая математика и теория вероятностей
Направление: Экономика - Дата: 19.01.26🏆 Итоговый тест!
Профиль: Бухгалтерский учет, анализ и аудит
+ Итоговый + Компетентностный 🔻 Дата : 19.04.26 🏆


✔️ Коллекция содержит: 🔻
  • Итоговый тест
  • PDF файл /Идеальное компьютерное качество
💢 Внимание! Перед покупкой убедитесь, что Ваши вопросы находятся в коллекции! 💢

⚠️ 1-й Вариант прохождения дисциплины: 🔻
✔️ Файл с вопросами сформируется автоматически после покупки коллекции ( Действия-скачать) ✔️ В файле PDF пользуйтесь навигацией вопросов по странице Ctrl+F
✔️ Копируйте вопросы из теста с помощью Ctrl+P ( Режим печати ) Ctrl+C (Копировать) Ctrl+V (Вставить)

⚠️ 2-й Вариант прохождения дисциплины: 🔻
✔️ Перейдите в "Количество вопросов" ( находится под коллекцией , в характеристиках) ✔️ Копируйте вопросы из теста с помощью Ctrl+P ( Режим печати ) Ctrl+C (Копировать) Ctrl+V (Вставить)
✔️ Вставляйте вопросы в " Поиск по вопросу" ( Правый верхний угол , навигация) ✔️ Для удобства, Вы можете отредактировать вопросы по Алфавиту в строке " По популярности" (Актуально для небольшого кол-ва, до 100, вопросов)

⚠️ 3-й Вариант прохождения дисциплины: 🔻

Ссылка- помощь в прохождении: Дисциплина на отлично ! 999 руб. ◀️ ◀️ ◀️
Ссылка- помощь в прохождении: "Сессия" /без практики/
7 990 руб. ◀️ ◀️ ◀️

▶️ Мой профиль -ссылка на все работы и вопросы ◀️



Дата: 19.01.26🏆

Список вопросов

Дискретная случайная величина Х задана законом распределения
x -1 0 2
p 0,2 0,15 0,65
Дисперсия D(X) равна…
Тип ответа: Текcтовый ответ
Матрица называется … матрицей, если в каждой ее ненулевой строке имеется такой ненулевой элемент, что все остальные элементы столбца, содержащего этот элемент, равны нулю
Тип ответа: Текcтовый ответ
Дисперсия суммы двух независимых случайных величин равна … дисперсий этих величин
Тип ответа: Текcтовый ответ

Вистема векторов а(1; 1; 1),Б(1; 2; 0),с(0; -1; 1) является линейно …
Если закон распределения дискретной случайной величины задан в таблице иже, то математическое ожидание равно …
x -1 0 2
p 0,1 0,6 0,3

Система векторов а, а.... аk пространства Еn называется … , если вектор этой системы попарно ортогональны
Тип ответа: Текcтовый ответ

Если каждому натуральному числу n поставлено в соответствие число хn , то говорят, что задана числовая …
Тип ответа: Текcтовый ответ
Если элементы двух строк (столбцов) матрицы …, то определитель равен нулю
Тип ответа: Текcтовый ответ

Тип ответа: Сортировка
Расположите формулы, выражающие дисперсию от константы, дисперсию разности двух независимых случайных величин и дисперсию произведения двух независимых случайных величин, в порядке их перечисления в задании:
Если игральная кость бросается один раз, то вероятность того, что на верхней грани выпадет не менее четырех очков, равна …


Тип ответа: Сопоставление
Установите соответствие между математической записью свойства сложения векторов и его названием:
Тип ответа: Сопоставление
Установите соответствие между понятием и его характеристикой:
Тип ответа: Сопоставление
Расположите векторы в порядке возрастания их длины:
Тип ответа: Сортировка
Расположите значения производных для функций y=sinx,y=cosx,y=lnx в порядке перечисления этих функций в задании:
Тип ответа: Сортировка
Установите соответствие между событием и его характеристикой:
Тип ответа: Сопоставление
Установите соответствие между размерностью матрицы и формулой для вычисления ее определителя:
Тип ответа: Сопоставление
На зачете студенту попалась следующая задача: Цифры 1, 2, 3, …, 9, выписанные на отдельные карточки складывают в ящик и тщательно перемешивают. Наугад вынимают одну карточку. Требуется найти вероятность того, что число, написанное на этой карточке, четное. Как решить эту задачу?
На зачете студенту попалась следующая задача: Длина детали представляет собой нормально распределенную случайную величину с математическим ожиданием 40 мм и средним квадратическим отклонением 3 мм. Как найти вероятность того, что длина произвольно взятой детали будет больше 34 мм и меньше 43 мм?
В долгосрочных кредитных операциях, если проценты не выплачиваются сразу после их начисления за прошедший интервал времени, а присоединяются к сумме долга, применяют сложные проценты. А для засчета сложных процентов применяется предельный анализ. Дан предел
lim V1 + 5x.
Выберите верное решение данного предела.
На совещании экономистов решался вопрос о банкротстве двух предприятий. По оценкам экспертов вероятности банкротства для двух предприятий, производящих разнотипную продукцию, равны 0,3 и 0,25, соответственно. Установите вероятность банкротства обоих предприятий.
Тип ответа: Одиночный выбор •


На экзамене студенту попался вопрос о том, является ли множество всех векторов а(a1, a2, …, an), удовлетворяющих условию а1 = a2 = … = an, векторным пространством. Для ответа на этот вопрос студент проверил ыполнение аксиом из определения векторного пространства. К какому выводу пришел студент?
Значение случайной величины, относительно которого равновероятно получение большего или меньшего значения случайной величины, называется …
Тип ответа: Текcтовый ответ
… двух множеств A и B называется множество, состоящее из всех элементов, которые принадлежат множеству A, но не принадлежат множеству B
Тип ответа: Текcтовый ответ
Переменная величина, которая принимает значения, зависящие от исходов испытания (то есть в зависимости от случая), – это … величина
Тип ответа: Текcтовый ответ
… – это любое утверждение, которое может как произойти, так и не произойти
Тип ответа: Текcтовый ответ
Все значения, которые принимает переменная х функции у = f(x), образуют область … функции
Тип ответа: Текcтовый ответ

Несколько событий называются … событиями, если возможно появление нескольких событий одновременно
Тип ответа: Текcтовый ответ

Бесконечно большой функцией при х -> 0 является …
Теорема Лагранжа показывает, что в интервале (a , b) существует точка с, в которой … к графику параллельна хорде
Тип ответа: Текcтовый ответ
Если из урны, в которой находятся 4 белых и 8 черных шаров, вынимают наудачу один шар, то вероятность того, что этот шар будет белым, равна …
Тип ответа: Одиночный выбор •


Разностью матриц является матрица C, равная
A=
7 -3
2 0
B=
5 -2
-3 8


Произведение матрицы равно...
A=
2 5 0
3 1 0
9 0 7
и
B=
6 1 6
8 3 0
0 9 0



Расположите нижнюю треугольную, квадратную и верхнюю треугольную матрицы в порядке их перечисления в задании:
Тип ответа: Сортировка


Тип ответа: Одиночный выбор •

Матрица
4 1 7
1 0 1
-2 1 1
1 1 -31
имеет размерность ...


Для того чтобы вычислить … векторов а и b по правилу треугольника, нужно от конца вектора а отложить вектор b и тогда искомым будет вектор, начало которого совпадает с началом вектора а, а конец - с концом вектора b
Тип ответа: Текcтовый ответ


Cистема линейных алгебраических уравнений … тогда и только тогда, когда ранг матрицы системы равен рангу расширенной матрицы
Тип ответа: Текcтовый ответ
Установите соответствие между понятием и его математической записью:
Тип ответа: Сопоставление
Функция у = f(x) называется … функцией на множестве D, если для любых x1, x2 € D из неравенства х1 < x2 следует неравенство f(x1) > f(x2)


Тип ответа: Текcтовый ответ

Тип ответа: Сопоставление
Расположите формулы первого замечательного предела, второго замечательного предела и предела отношения двух функций в порядке их перечисления в задании:
Тип ответа: Сортировка

Если дискретная случайная величина Х задана законом распределения вероятностей (см. таблицу ниже), то вероятность Р3 равна …
x
0,2
0,4
0,6
0,8
p
0,1
0,2
P3
0,5

Тип ответа: Одиночный выбор •
Произведение корней системы уравнений равно ...
x1+2x2+3x3+4x4=21
2x1+3x2=0
2x2+3x3=21
2x3+4x4=14

Тип ответа: Одиночный выбор •

Система векторов a(1; 1; 1), b(1; 2; 0), c(0; -1; 2) является …


Сумма корней системы уравнений
2x2 +3x3=1
x1+3x3=2
x1+2x=-3
4x4=4
равна...

Векторы a = 3i + 4j +7k, b = 2i - 5j+ 2k в пространстве …

Неверно, что вероятность наступления некоторого события может быть равна …

Установите соответствие между матрицами и их названиями для приведенной ниже системы линейных уравнений:
Установите соответствие между свойствами пределов и их значениями:
Тип ответа: Сопоставление

Установите соответствие между случайной величиной и ее определением:
Тип ответа: Сопоставление
Производная … двух дифференцируемых функций равна сумме произведений производной первого сомножителя на второй сомножитель и первого сомножителя на производную второго сомножителя
Тип ответа: Текcтовый ответ
Вектор а(-4; 8; -9) имеет длину равную …
Определитель матрицы А = (2 3 -5) (4 -2 6) (1 1 -7) равен...
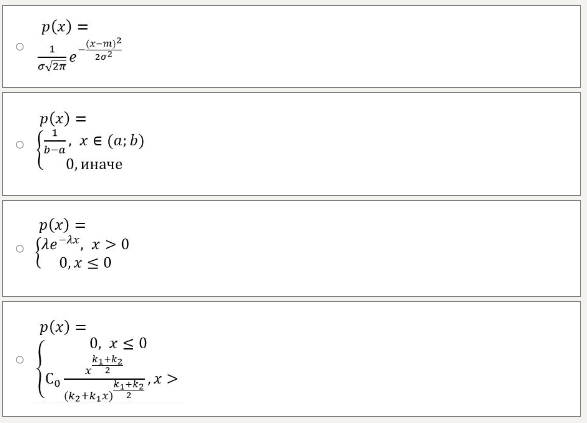
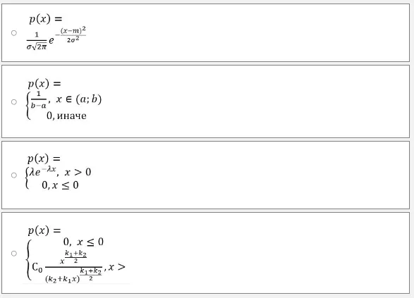
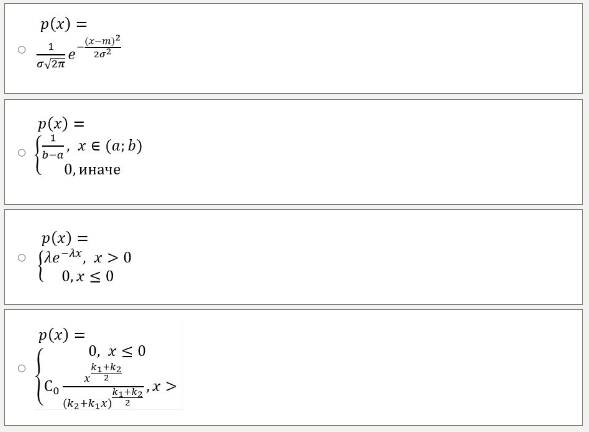
Плотность случайной величины, распределенной по закону Фишера-Снедекора имеет вид:
Квадратная матрица называется диагональной, если …
Тип ответа: Одиночный выбор •
Если производная функции положительна на некотором промежутке, то на этом промежутке …
Число равное .. называется ...
Тип ответа: Одиночный выбор •
Матрица называется транспонированной, если …
Тип ответа: Одиночный выбор •
Событие, включающее те и только те элементарные исходы, которые одновременно принадлежат и событию A, и событию B, называется …
Дискретная случайная величина Х задана законом распределения
X -1 0 2
p 0,2 0,15 0,65
Математическое ожидание M(X) равно…
Для системы
(2x1 + 3x2 - x3 = 9
x1 - 2x2 + x3 = 3
x1 + 2x3 = 2
определитель системы Δx1 равен …


Для системы
(2x1 + 3x2 - x3 = 9
x1 - 2x2 + x3 = 3
x1 + 2x3 = 2
определитель системы Δ равен …
Установите соответствие:
Тип ответа: Сопоставление
Установите соответствие между функцией и ее производной:
Тип ответа: Сопоставление
Вероятность это …
Тип ответа: Одиночный выбор •
Событие (исход опыта, испытания) – это …
Тип ответа: Множественный выбор •
Производная функции у = 7х3- 2x2 + 5x - 1 имеет вид …
Если производная функции отрицательна на некотором промежутке, то на этом промежутке …
Тип ответа: Одиночный выбор

Предел lim x>3 x2 -9/х2-3х равен ...
Если выполняется limΔx-0 Δу = 0, то функция y=f(x)называется …
Подмножество всех действительных чисел, имеющее вид (a; b)= {x: a < x < b}, называется …

Одну монету подкидывают 3 раза. Пространство элементарных исходов в этом случае содержит … элементов
Точка хо называется точкой максимума функции у = f(x), если для всех точек х # хо из некоторой окрестности точки хо выполняется неравенство ...

СЛАУ называется совместной, если …
Тип ответа: Одиночный выбор •
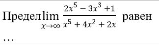
Предел lim X-> 2x5 - 3x3 +1/x5 + 4x2 + 2x равен ...
Тип ответа: Сопоставление
Вектор, длина которого равна единице, называется …
Тип ответа: Одиночный выбор •
Квадратная матрица называется треугольной, если …
Случайная величина может быть двух типов …
Тип ответа: Одиночный выбор •
Значение производной функции y=7x3−2x2+5x−1 в точке хо = 0 равно...
Тип ответа: Текcтовый ответ
Значение производной функции у = sin22x B точке x0= π/2 равно...
Определитель матрицы А= (-2 5) (1 -6)равен … Тип ответа: Текcтовый ответ
Для множеств А = {1,2, 3} и B = {3, 4, 5} элемент множества А∩ В равен …
Точки, в которых нарушается непрерывность функции, называются …
Тип ответа: Одиночный выбор •
Вероятность выпадения четного числа очков при однократном подбрасывании игральной кости равна …
Тип ответа: Текcтовый ответ
Расположите вероятности событий в порядке их возрастания, если имеем события A = ˂на обеих костях выпали шестерки˃; B = ˂сумма очков четна ˃; C=˂ сумма очков больше 5˃; D = ˂сумма очков меньше 4˃; F=˂сумма очков больше 5 и четна˃
Тип ответа: Сортировка
Плотность случайной величины, распределенной по равномерному закону имеет вид:
Тип ответа: Одиночный выбор •
Значение производной функции у = In(7х - 7) в точке хо = 0 равно …
Тип ответа: Текcтовый ответ
СЛАУ называется несовместной, если …
Тип ответа: Одиночный выбор •
Плотность случайной величины, распределенной по показательному закону имеет вид:
Тип ответа: Одиночный выбор

Эти вопросы в других коллекциях

-25%

Характеристики ответов (шпаргалок) к экзамену

Тип
Учебное заведение
Программы
Просмотров
52
Качество
Идеальное компьютерное
Количество вопросов
❓ Как копировать вопросы во время теста в Синергии?
Картинка-подпись
Я был поражен тем, как важно предпринимать действия. Недостаточно просто знать, нужно использовать знания. Мало хотеть чего-то, нужно делать. - Леонардо Да Винчи

Комментарии

Нет комментариев
Стань первым, кто что-нибудь напишет!
Поделитесь ссылкой:
Цена: 499 299 руб.
Расширенная гарантия +3 недели гарантии, +10% цены
Несколько человек купили за последний месяц
Рейтинг покупателей
5 из 5
Поделитесь ссылкой:
Сопутствующие материалы

Подобрали для Вас услуги

-30%
Вы можете использовать полученные ответы для подготовки к экзамену в учебном заведении и других целях, не нарушающих законодательство РФ и устав Вашего учебного заведения.
Свежие статьи
Популярно сейчас
Зачем заказывать выполнение своего задания, если оно уже было выполнено много много раз? Его можно просто купить или даже скачать бесплатно на СтудИзбе. Найдите нужный учебный материал у нас!
Ответы на популярные вопросы
Да! Наши авторы собирают и выкладывают те работы, которые сдаются в Вашем учебном заведении ежегодно и уже проверены преподавателями.
Да! У нас любой человек может выложить любую учебную работу и зарабатывать на её продажах! Но каждый учебный материал публикуется только после тщательной проверки администрацией.
Вернём деньги! А если быть более точными, то автору даётся немного времени на исправление, а если не исправит или выйдет время, то вернём деньги в полном объёме!
Да! На равне с готовыми студенческими работами у нас продаются услуги. Цены на услуги видны сразу, то есть Вам нужно только указать параметры и сразу можно оплачивать.
Отзывы студентов
Ставлю 10/10
Все нравится, очень удобный сайт, помогает в учебе. Кроме этого, можно заработать самому, выставляя готовые учебные материалы на продажу здесь. Рейтинги и отзывы на преподавателей очень помогают сориентироваться в начале нового семестра. Спасибо за такую функцию. Ставлю максимальную оценку.
Лучшая платформа для успешной сдачи сессии
Познакомился со СтудИзбой благодаря своему другу, очень нравится интерфейс, количество доступных файлов, цена, в общем, все прекрасно. Даже сам продаю какие-то свои работы.
Студизба ван лав ❤
Очень офигенный сайт для студентов. Много полезных учебных материалов. Пользуюсь студизбой с октября 2021 года. Серьёзных нареканий нет. Хотелось бы, что бы ввели подписочную модель и сделали материалы дешевле 300 рублей в рамках подписки бесплатными.
Отличный сайт
Лично меня всё устраивает - и покупка, и продажа; и цены, и возможность предпросмотра куска файла, и обилие бесплатных файлов (в подборках по авторам, читай, ВУЗам и факультетам). Есть определённые баги, но всё решаемо, да и администраторы реагируют в течение суток.
Маленький отзыв о большом помощнике!
Студизба спасает в те моменты, когда сроки горят, а работ накопилось достаточно. Довольно удобный сайт с простой навигацией и огромным количеством материалов.
Студ. Изба как крупнейший сборник работ для студентов
Тут дофига бывает всего полезного. Печально, что бывают предметы по которым даже одного бесплатного решения нет, но это скорее вопрос к студентам. В остальном всё здорово.
Спасательный островок
Если уже не успеваешь разобраться или застрял на каком-то задание поможет тебе быстро и недорого решить твою проблему.
Всё и так отлично
Всё очень удобно. Особенно круто, что есть система бонусов и можно выводить остатки денег. Очень много качественных бесплатных файлов.
Отзыв о системе "Студизба"
Отличная платформа для распространения работ, востребованных студентами. Хорошо налаженная и качественная работа сайта, огромная база заданий и аудитория.
Отличный помощник
Отличный сайт с кучей полезных файлов, позволяющий найти много методичек / учебников / отзывов о вузах и преподователях.
Отлично помогает студентам в любой момент для решения трудных и незамедлительных задач
Хотелось бы больше конкретной информации о преподавателях. А так в принципе хороший сайт, всегда им пользуюсь и ни разу не было желания прекратить. Хороший сайт для помощи студентам, удобный и приятный интерфейс. Из недостатков можно выделить только отсутствия небольшого количества файлов.
Спасибо за шикарный сайт
Великолепный сайт на котором студент за не большие деньги может найти помощь с дз, проектами курсовыми, лабораторными, а также узнать отзывы на преподавателей и бесплатно скачать пособия.
Популярные преподаватели
Добавляйте материалы
и зарабатывайте!
Продажи идут автоматически
7282
Авторов
на СтудИзбе
243
Средний доход
с одного платного файла
Обучение Подробнее