ответы на экзаменационные вопросы (832570)
Текст из файла
-
Основные принципы организации микропроцессорных УЧПУ (однопроцессорные и мультипроцессорные УЧПУ - их структура и построение; достоинства и недостатки; характеристики современных микропроцессорных УЧПУ)
Основные принципы организации микропроцессорной УЧПУ:
-
П
рограммно-аппаратная реализация функции управления. В соответствии с этим принципом обработка информации осуществляется программными средствами вычислителя. Основные функции аппаратных средств контроллера внешних устройств является функции преобразования информации вычислителя в сигналы управления объектом и наоборот преобразование сигналов объекта в машинную форму. -
Магистрально-модульный принцип построения аппаратных средств заключается в том, чтобы аппаратные средства микропроцессорных систем выполняются в виде унифицированных по конструкции модулей и имеют унифицированные средства сопряжения с системными магистралями
-
Принцип встроенной диагностики, в соответствии с которым каждый блок, входящий в вычислитель или контроллер внешнего устройства имеет свои аппаратные диагностические средства.
Состав задач и сложности функций выполнения оказывает влияние на архитектуру построения УЧПУ. Существует два крайних архитектурных решения построения микропроцессорной УЧПУ – разделяемый вычислитель (все задачи будут решаться параллельно с помощью одного вычислителя) и выделяемый вычислитель (каждой задаче соответствует собственный вычислитель и параллельные вычисления должны быть скоординированы между собой
Архитектурному решению разделяемый вычисляемый соответствует однопроцессорное УЧПУ, которое может иметь структуру построения с помощью единой общей магистралью или двумя магистралями.
Структура построения с общей магистралью контроллеры внешних устройств КВУ1…КВУN сопрягаются с вычислителем общей магистралью. В этой структуре нагрузочная способность системной магистрали ограничивает возможности расширения функций УЧПУ в следствии ухудшения помехоустойчивости.
Для улучшения нагрузочной способности используют вариант однопроцессорной структуры с двумя магистралями, сопряженния между которыми осуществляется через адаптер связи. В этой структуре контроллеры внешних устройств дисплея и клавиатуры оператора обычно сопрягаются с системной магистралью вычислителя. А контроллеры электроприводом, устройства работы электроавтоматики сопрягаются с системной магистралью устройства ЧПУ. Использование такой структуры более эффективно, потому что контроллеры внешних устройств станка для связи с несколькими однотипными внешними устройствами обычно выполняют на одной плате, что является по отношению к системной магистрали одной единицей нагрузки.
Количественные и качественные расширения функциональных возможностей управления с использованием однопроцессорных УЧПУ ограниченно рядом причин:
-
Вычислительная мощность процессора. Недостаточная вычислительная мощность однопроцессорных УЧПУ сдерживает развитие МП УЧПУ. Если используется однопроцессорная УЧПУ, то накладывается ограничение на число управляемых координат станка, минимальную дискретность перемещения, максимальную скорость интерполированной подачи, уровень сервиса для оператора и как правило возникают проблемы разделения процессорного времени, поэтому для того, чтобы повысить вычислительную мощность в однопроцессорной УЧПУ идут на повышение разрядности микропроцессора.
-
Возможность привязки микропроцессорной УЧПУ к станку, связано с управлением цикловой автоматики станка, то есть если схема управления цикловой автоматики проста, то дискретными сигналами входа/входа этих устройств управляет вычислитель. Однако, у станков со сложной автоматикой как правило ее устройство управляется так называемым программируемым контроллером, который разгружает вычислитель от операций ввода/вывода информации или берут на себя выполнение отдельных функций задач.
-
Наличие конечной нагрузочной способности системной магистрали. Повышение вычислительной мощности микропроцессора целесообразно, если можно расширить число модулей, подключаемых к системной магистрали без снижения надежности обмена данными.
Из этих недостатков очевидно целесообразность использование архитектурного решения – выделяемые вычислители. Это соответствует мультипроцессорной структуре построения УЧПУ. Число вычислителей не обязательно соответствует числу задач УЧПУ. Возможно распределение одной задачи между несколькими вычислителями или использование специальных вычислителей, которые будут выполнять служебные функции (доступ к большим объемам памяти, координации работы между вычислителями)
Мультипроцессорная УЧПУ может иметь сосредоточенную и распределенную структуру построения.
Сосредоточенная структура построения
Распределенная структура построения
Основные различия:
-
При распределенной структуре каждый вычислитель имеет свою операционную систему, в том время как у сосредоточенной системы операционная система может быть общей.
-
Обмен информацией между вычислителями при распределенной структуре менее интенсивен чем при сосредоточенной.
-
Каждый вычислитель при распределенной структуре имеет свой контроллер (переферийных устройств), объекта управления, ЭВМ верхнего уровня.
-
Вычислители при распределенной структуре не могут иметь общей памяти для ее коллективного использования.
-
При распределенной структуре допустимо большое пространственное разделение вычислителей, которые могут быть приближены к своим объектам управления.
-
Функции, выполняемые различными вычислителями, будут определяться программным обеспечением, занесенным в запоминающее устройство вычислителя. Мультипроцессорные УЧПУ могут быть представлены одним блоком, либо представлены в виде ряда конструктивных блоков.
-
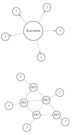
Если мультипроцессорное УЧПУ представлено одним блоком, то объединение нескольких вычислителей осуществляется через двухпортовые блоки общей памяти. (БОП – рисунок а) и устройство имеет сосредоточенную структуру построению.
-
Такая связь обеспечивает повышение производительности устройства. Учитывая интенсивность обмена между центральным вычислителем В и локальным вычислителем Вn блоки общей памяти могут быть совмещены с ОЗУ локальных вычислителей. Мультипроцесоорные УЧПУ, представленные рядом конструктивных блоков имеют распределенную структуру построения (рисунок б). Обмен данными осуществляется через адапторы связи (АС), подключенные к системным магистралям локальных вычислителей.
АС – адапторы связи
В – вычислители
КВУ – контроллер внешнего устройства (с пультом оператора)
Технические характеристики микропроцессорных УЧПУ для управления многоцелевыми станками
| Характеристики | Отечественные | ФРГ | Италия | Япония | ||||||||
| 2С42Т | Размер 5 | НЦ-80-31Т | ИЦО-П | Siemens SPRINT 8 ME | Bosch Micro-8 | Вектор 80 | Фанук 7М | Фанук 6Т | ||||
| Вычислитель | БИС, ИС | СИС, ИС | БИС, ИС | ОММ, ИС | БИС, СИС | БИС, СИС | БИС, СИС | БИС, СИС | БИС, СИС | |||
| Тип микро-ЭВМ | КР-580, «Электроника-60» | Спец. ЭВМ | НЦ-80 | Спец. ЭВМ | Спец. ЭВМ | Спец. ЭВМ | Микро-ЭВМ | Микро-ЭВМ | Микро-ЭВМ | |||
| Разрядность | 16 | 32 | 16 | 40 | 32 | 32 | 32 | 32 | 32 | |||
| Память для СПО, тип | ПЗУ | ПЗУ | ПЗУ | ОЗУ | ППЗУ | ППЗУ | ППЗУ | ППЗУ | ППЗУ | |||
| Емкость, Кбит | 192 | 1000 | 60 | 80 | 32 | 32 | 32 | 24 | 24 | |||
| Число координат (общее / одновременно управляемых) | 8/3 | 6/6 | 8/8 | 10/10 | 9/4 | 6/3 | 8/5 | 6/2 | 6/2 | |||
| Память для УП, тип | ОЗУ’’+ОЗУ’’’ | ОЗУ’’’ | ОЗУ’’’’ | ОЗУ’+БЗУ’ | ЗУ на ЦМД | ЗУ на МЛ | ОЗУ’’’’ | ОЗУ’’’’ | ОЗУ’’’’ | |||
| Емкость, кбит | 128+16 | 96 | 48 | 40+100 | 16 | 1000 | 320 | 16 | 16 | |||
| Мах скорость м/мин (рабочая/позиционная) | 5/15 | 15/15 | 15/15 | 20/20 | 25/15 | 25/10 | 5/10 | 25/10 | 15/24 | |||
| Габаритные размеры | 170х70х60 | 180х70х70 | 135х48х70 | 175х75х65 | 50х40х30 | 160х80х80 | 170х80х80 | 140х80х80 | 140х80х60 | |||
| Быстродействие тысяч операций / сек | 250 | |||||||||||
БИС, СИС, ИС – большие, средние, малые интегральные схемы
ОММ – однородные магнитные матрицы
ПЗУ – постоянное запоминающее устройство
ППЗУ – перепрограммируемое ПЗУ
Характеристики
Тип файла документ
Документы такого типа открываются такими программами, как Microsoft Office Word на компьютерах Windows, Apple Pages на компьютерах Mac, Open Office - бесплатная альтернатива на различных платформах, в том числе Linux. Наиболее простым и современным решением будут Google документы, так как открываются онлайн без скачивания прямо в браузере на любой платформе. Существуют российские качественные аналоги, например от Яндекса.
Будьте внимательны на мобильных устройствах, так как там используются упрощённый функционал даже в официальном приложении от Microsoft, поэтому для просмотра скачивайте PDF-версию. А если нужно редактировать файл, то используйте оригинальный файл.
Файлы такого типа обычно разбиты на страницы, а текст может быть форматированным (жирный, курсив, выбор шрифта, таблицы и т.п.), а также в него можно добавлять изображения. Формат идеально подходит для рефератов, докладов и РПЗ курсовых проектов, которые необходимо распечатать. Кстати перед печатью также сохраняйте файл в PDF, так как принтер может начудить со шрифтами.















