LAB_2 (740510)
Текст из файла
27
ЛАБОРАТОРНАЯ РАБОТА 2
ИССЛЕДОВАНИЕ БИСТАБИЛЬНЫХ ЯЧЕЕК
1 Цель работы
Целью настоящей работы является научить студентов самостоятельно проводить анализ различных типов бистабильных ячеек; выявлять в этих схемах опасные состязания (критические гонки); на основании теоретического анализа составлять функции переходов указанных ячеек; при определенных условиях уметь устранять опасные состязания.
2 Краткая теория вопроса
Схемы, составленные из логических элементов и имеющие петли, называются логическими схемами с обратными связями. Петлей называется такая цепь, у которой выход последнего элемента схемы соединен хотя бы с одним входом первого элемента.
Отметим, что общим свойством комбинационных схем является отсутствие петель.
Функционирование схем с обратными связями не может быть полностью описано системой переключательных функций. Особенностью логических схем с обратными связями является зависимость состояния выходов схемы не только от значений входных переменных в данном такте, но и от сигналов, действовавших в предыдущие моменты времени. Поэтому такая схема может рассматриваться как цифровой автомат.
Считается, что схема с обратной связью находится в устойчивом состоянии, если состояние ее выходов может сохраняться неограниченно долго.
Неустойчивым состоянием схемы будет такое, которое существует лишь короткое время, соизмеримое с длительностью переходных процессов в схеме.
Наличие в схеме двух и более устойчивых состояний указывает на то, что схема может быть использована для запоминания некоторых сигналов, поступающих на схему по внешним цепям.
В качестве элементарного примера анализа схемы с обратными связями рассмотрим схему, построенную на логических элементах ИЛИ-НЕ, которая представлена на рисунке 1.
Нетрудно убедиться, что выходная переменная z удовлетворяет следующему логическому уравнению
Для решения этого уравнения составим таблицу соответствия входных и выходных переменных (таблица 1). Под решением уравнения будем понимать набор констант x, y, z, подстановка которых в исследуемое уравнение (1) превращает его в тождество.
Из таблицы 1 следует, что решением уравнения (1) будут следующие наборы констант: 0 0 1; 1 0 0; 1 0 1; 1 1 0. Таким образом, входным наборам xy=00 и xy=11 всегда будет соответствовать выходное значение z=1 и z=0 соответственно.
Для этих наборов существует единственное решение, которое не зависит от состояния выхода z.
Если же на вход схемы подать сигналы xy=10, то выход z может принимать как значение нуля, так и единицы, т.е. сигнал на выходе будет зависеть от состояния схемы, которое в свою очередь зависит от сигналов, действовавших в предыдущие моменты времени.
Для этих наборов существует единственное решение, которое не зависит от состояния выхода z.
Если же на вход схемы подать сигналы xy=10, то выход z может принимать как значение нуля, так и единицы, т.е. сигнал на выходе будет зависеть от состояния схемы, которое в свою очередь зависит от сигналов, действовавших в предыдущие моменты времени.
Рисунок 1 - Логическая схема на ИЛИ-НЕ
Таблица 1 - Таблица соот-
ветствия
Рассмотрим теперь процессы, которые будут происходить в схеме при подаче входного набора xy=01. Будем считать для определенности, что в момент подачи этих сигналов на выходе был уровень z=1. Примем, что время задержки у всех логических элементов одинаково и равно t. Тогда через время t на выходах
элементов D1 и D2 одновременно установится сигнал 0. Через время 2t на выходе элемента D3 установится сигнал 1, а через время 3t на выходе z установится сигнал 0 и т.д., т.е. на выходе схемы будут происходить изменения сигнала с 0 в 1 и с 1 в 0. Учтем, что на входе комбинация сигналов (xy=01) при этом не изменяется.
Таким образом, в этой схеме будут происходить колебания с периодом 6t.
При малой величине t (большой частоте) колебания могут сорваться из-за того, что передача сигнала при такой частоте будет происходить без восстановления уровня (без усиления). В этом случае на выходе установится некоторая промежуточная нестандартная амплитуда сигнала. Аналогичная ситуация будет иметь место, если правую часть уравнения (1) реализовать на элементах (диодах) типа ИЛИ и И, не обладающих свойством восстановления уровня сигнала.
Следовательно, логическая схема с обратной связью в зависимости от комбинации входных сигналов может быть конечным автоматом или вообще будет неправильно функционировать (выдавать нестандартный сигнал, либо генерировать колебания).
Однако схемы с обратной связью, имеющие много входов и выходов, анализировать подобным образом трудно, т.к. таблицы согласования в форме таблицы истинности становятся очень громоздкими. В таком случае используют другую форму таблицы соответствия, а именно, карту Карно. Строго определенный порядок перечисления переменных облегчает отображение на картах Карно кодировки внутренних состояний и их устойчивости, что обуславливает удобство использования этого вида карт для анализа и синтеза последовательностных схем.
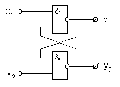
Рассмотрим конкретный пример анализа логической ячейки типа И-НЕ, охваченной обратными связями (рисунок 2). Эта схема (и подобные другие) получили название бистабильных ячеек (БЯ).
Анализ БЯ будем проводить поэтапно по следующей методике:
2.1 Запишем логические уравнения выходов схемы
Рисунок 2 - Бистабильная ячейка типа И-НЕ
2.2 Составим карту Карно, при помощи которой будем решать эту систему.
Столбцы этой карты обозначим всевозможными комбинациями независимых (входных) переменных x1 и x2, а строки - комбинациями зависимых (выходных) переменных y1 и y2 (таблица 2). В клетки этой карты запишем истинные значения функций y1 и y2, определенные в соответствии с приведенной системой уравнений (2). Таким образом, в клетках будет записано двузначное двоичное число, при этом первый разряд будет соответствовать значению y1, а второй разряд этого числа - значению y2.
Очевидно, что состояние схемы является устойчивым, если значения функций y1 и y2 совпадают с обозначением соответствующей строки таблицы.
Например, при пересечении столбца 01 и строки 10 находится устойчивое состояние 10, а на пересечении того же столбца и строки 11 - неустойчивое состояние 10.
Иногда таблицу 2 представляют в другой форме и называют таблицей переходов (таблица 3). Здесь кружками обозначены устойчивые состояния, точками - неустойчивые, а стрелки указывают направления переходов. Рассмотрим подробнее, как осуществляется переход схемы из неустойчивого состояния в устойчивое. При этом возможны два случая:
1) Код неустойчивого состояния в карте Карно совпадает с кодом устойчивого состояния.
2) Код неустойчивого состояния не совпадает с кодом устойчивого.
В первом случае при фиксированных значениях независимых переменных х1 и х2 выходные сигналы y1 и y2, соответствующие неустойчивому состоянию, подаются на входы y1 и y2 схемы, тем самым обуславливая переход к строке карты Карно, соответствующей устойчивому состоянию.
Например, пересечение столбца 10 и строки 11 соответствует неустойчивому состоянию 01. Однако при подаче на y1 и y2 схемы комбинации 01 и при прежних значениях х1 и х2 схема переходит в уже устойчивое состояние 01.
Во втором случае при фиксированных х1 и х2 выходные сигналы y1 и y2 обуславливают переход к новой строке карты Карно, где эти же значения y1 и y2 являются входными и так далее, пока не возникнет ситуация, предусмотренная первым случаем.
Отметим, что в реальных схемах вследствие конечности и разброса времени переключения элементов при переходе схемы из неустойчивого состояния в устойчивое могут появляться промежуточные наборы значений зависимых переменных. Промежуточные значения - это те состояния, которые могут иметься между исходными неустойчивыми и конечным устойчивым.
Например, для столбца 01 и строки 00 мы имеем неустойчивое состояние 11. После поступления этих сигналов (y1y2=11) на вход схемы возникнет неустойчивое состояние 10 (строка 11), код которого совпадает с кодом устойчивого состояния 10 (строка 10), т.е. мы пришли к первому случаю.
Рассмотренные случаи неустойчивых состояний в конечном итоге приводят к устойчивому состоянию схемы, это столбцы х1х2, соответствующие 00, 01, 10.
Таким образом, наличие нескольких путей для переходов, кончающихся одним и тем же устойчивым состоянием, является так называемыми некритическими (неопасными) состязаниями (гонками).
Иной случай можно наблюдать в столбце 11. В этом столбце имеют место два устойчивых состояния y1 и y2 =01 и y1 и y2 =10. Поэтому из неустойчивых состояний y1 и y2 =00 и y1 и y2 =11 может начаться циклический процесс перехода из состояния 11 (строка 00) в состояние 00 (строка 11) и наоборот, т.е. могут возникнуть колебания:
.
Это явление свидетельствует о наличии в схеме критических (опасных) состязаний (гонок). Естественно, что такое явление недопустимо в схемах, предназначенных для запоминания информации. Кроме того, если время задержки элементов несколько отличается, то в этом столбце из каждого неустойчивого состояния возможен переход в любое из устойчивых состояний, т.е. состояние схемы не будет зависеть от выходных сигналов . Таким образом, таблица переходов позволяет наглядно проверить логическое функционирование проектируемой структуры, в частности, установить наличие состязаний.
Для того, чтобы рассматриваемую схему можно было использовать для запоминания информации, необходимо запретить одновременное обращение в нуль х1 и х2 , т.е. исключить столбец карты Карно с х1х2 =00, т.к. устойчивым состоянием в этом столбце является состояние у1у2 =11, при котором нарушается бистабильность схемы. Состояние у1у2=11 неудобно тем, что после изменения независимых входных переменных х1 и х2 от значений х1х2 =00 к значениям х1х2=11 схема может перейти в состояние 01 или 10, иначе говоря, переход будет неопределенным.
Исключить первый столбец карты Карно можно, наложив ограничения на допустимые комбинации входных сигналов, а именно
х1+х2 =1. (3)
Критические состязания исключаются, если разрешенными комбинациями входных сигналов, производящих переключение схемы из одного состояния в другое, будут комбинации 01 и 10. В этом случае при подаче сигналов х1х2=11 схема будет сохранять то устойчивое состояние, которое установилось предыдущей разрешенной комбинацией входных сигналов.
Так, например, если до х1х2=11 был сигнал х1х2=01, у1у2 будет 10 (устойчивое состояние). После поступления сигнала х1х2=11 схема останется в том же устойчивом состоянии у1у2=10. Если до х1х2=11 был сигнал х1х2=10, то схема будет в состоянии 01, после прихода сигнала х1х2=11 схема останется в этом же устойчивом состоянии.
Характеристики
Тип файла документ
Документы такого типа открываются такими программами, как Microsoft Office Word на компьютерах Windows, Apple Pages на компьютерах Mac, Open Office - бесплатная альтернатива на различных платформах, в том числе Linux. Наиболее простым и современным решением будут Google документы, так как открываются онлайн без скачивания прямо в браузере на любой платформе. Существуют российские качественные аналоги, например от Яндекса.
Будьте внимательны на мобильных устройствах, так как там используются упрощённый функционал даже в официальном приложении от Microsoft, поэтому для просмотра скачивайте PDF-версию. А если нужно редактировать файл, то используйте оригинальный файл.
Файлы такого типа обычно разбиты на страницы, а текст может быть форматированным (жирный, курсив, выбор шрифта, таблицы и т.п.), а также в него можно добавлять изображения. Формат идеально подходит для рефератов, докладов и РПЗ курсовых проектов, которые необходимо распечатать. Кстати перед печатью также сохраняйте файл в PDF, так как принтер может начудить со шрифтами.
















