Отчет по ЛР №17 - Компьютерный анализ переходных процессов (1267073)
Текст из файла
Новосибирский государственный технический университет
Кафедра общей электротехники
ОТЦ
Отчёт по лабораторной работе №17
«Компьютерный анализ переходных процессов»
Факультет: РЭФ
Группа: РКС 10-71
Студент: Бадальянц Ю.Н.
Преподаватель: Калужский Д.Л.
Новосибирск, 2009
Цель работы:
Освоить методику составления уравнений переменных составления цепи и их численного решения в среде MathCAD.
Объект и средства исследования:
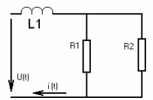
Имеется схема RC – цепи с одним реактивным элементом и источником импульсного напряжения (рис.1.1). Требуется найти в качестве выходной величины на заданном интервале времени ток, указанный на схеме стрелкой. Для этого сначала составляется дифференциальное уравнение, определяющее напряжение на конденсаторе данной схемы. Затем определяется последовательность соответствующих значений искомого напряжения или тока элемента цепи, представляемая таблицей и графиком.
Рис 1.1 Исходная схема
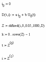
Рабочее задание:
Вычислить значения тока входного
с параметрами его элементов:
на интервале
, если задающее напряжение определяется графиком (рис.1.2).
Рис 1.2 График входного напряжения
1. Получим уравнение состояния цепи (рис.1.1). По законам Кирхгофа:
Найдём численное решение уравнения переменной состояния цепи для
0 <= t <= 100 мс.
Исходные данные
-стартовое значение переменной состояния цепи
-выражение её первой производной;
-вычисление значений переменной состояния в тысяче равноотстоящих точках (1000) интервала t.
Результаты численного решения этой задачи представлены графиком искомых функций и таблицей.
Характеристики
Тип файла документ
Документы такого типа открываются такими программами, как Microsoft Office Word на компьютерах Windows, Apple Pages на компьютерах Mac, Open Office - бесплатная альтернатива на различных платформах, в том числе Linux. Наиболее простым и современным решением будут Google документы, так как открываются онлайн без скачивания прямо в браузере на любой платформе. Существуют российские качественные аналоги, например от Яндекса.
Будьте внимательны на мобильных устройствах, так как там используются упрощённый функционал даже в официальном приложении от Microsoft, поэтому для просмотра скачивайте PDF-версию. А если нужно редактировать файл, то используйте оригинальный файл.
Файлы такого типа обычно разбиты на страницы, а текст может быть форматированным (жирный, курсив, выбор шрифта, таблицы и т.п.), а также в него можно добавлять изображения. Формат идеально подходит для рефератов, докладов и РПЗ курсовых проектов, которые необходимо распечатать. Кстати перед печатью также сохраняйте файл в PDF, так как принтер может начудить со шрифтами.
















