Tong hop cemina (1254556), страница 11
Текст из файла (страница 11)
ударной волны за период времени от 0 до τ + .
Пример 1. Прямая постановка задачи.
Определить избыточное давление, которое будет испытывать прибор, установленный на расстоянии 10 м. от места взрыва 1кг гексогена во взрывном устройстве, размещенном на грунте.
MВВгексоген = 1 кг, η грунт = 0,6 (табл.Б2), k гексоген= 1,3 (табл.Б1), R = 10 м ∆PФ = ?
-
Определение тротилового эквивалента (ф-ла 2):
= 2 . 0.6 . 1.3 . 1 = 1.56 кг
2. Определение
(ф-ла 4):
3. Определение ∆PФ (ф-ла 5):
кПа
Пример 2. Обратная постановка задачи.
Определить максимальное расстояние, на котором допускается установить прибор, выдерживающий давление 14.5 кПа, от места взрыва 1 кг гексогена во взрывном устройстве, размещенном на грунте.
MВВгексоген = 1 кг, η грунт = 0,6 (табл.Б2), k гексоген= 1,3 (табл.Б1), ∆PФ = 14,5 кПа R = ?
1. Определение
(ф-ла 6):
-
Определение тротилового эквивалента (ф-ла 2):
= 2 . 0.6 . 1.3 . 1 = 1.56 кг
3.Определение R (ф-ла 4):
м
Примечание.
Вычисление корня кубического может производиться с помощью
ИНЖЕНЕРНОГО калькулятора, позволяющего
или напрямую вычислять корень 3-ей степени,
или вычисляющего величину, возводимую в степень 0,3333
(чем больше вводить число ТРОЕК, тем точнее результат).
3_____
√ МТ = МТ0,3333
3.2. Оценка параметров ударной волны при взрыве газовоздушных смесей (ГВС).
3.2.1. Параметры ударной волны на расстояниях R<ro
(ro - радиус сферы газового облака)
При взрывах газовоздушных смесей параметры внутри газового облака могут изменяться в очень широких пределах в зависимости от условий взрыва, концентрации горючей компоненты и характера взрывного горения, которые при прогнозировании взрывов, особенно на открытом воздухе, учесть практически невозможно. Поэтому обычно расчеты проводят для худшего случая, при котором разрушительные последствия взрыва наибольшие.
Таким наихудшим случаем является детонационное горение смеси стехиометрического состава.
(Стехиометрическим называется такой состав смеси, в которой горючее и окислитель находятся в пропорции, необходимой для их полного взаимодействия в процессе окисления.)
Скорость распространения процесса детонационного горения внутри облака очень велика и превышает скорость звука. Давление внутри облака за время взрыва вообще говоря не постоянно. Однако для проведения приближенной оценки параметров взрыва можно условно принять, что облако имеет форму полусферы с центром на поверхности земли, взрыв ГВС происходит мгновенно и давление в процессе взрыва одинаково и постоянно во всех точках, находящихся внутри облака.
Для большинства углеродоводородосодержащих газовых смесей стехиометрического состава можно принять, что давление внутри газового облака составляет 1700 кПа. Для проведения более точных расчетов в технической литературе приводятся расчетные соотношения, позволяющие рассчитать скорость детонационного горения, время полной детонации облака, давление в детонационной волне и др. Однако, главное,, что при этом следует помнить- при детонационном взрыве практических мер защиты внутри и вблизи облака НЕ СУЩЕСТВУЕТ.
3.2.2. Параметры ударной волны на расстояниях R> ro. (вне радиуса полусферы )
Формулы для определения значений параметров ударной волны на расстояниях, превышающих радиус полусферы газового облака в окружающем воздухе, получены путем апроксимации численного решения задачи о детонации пропановоздушной смеси, выполненной Б.Е.Гельфандом в 1985 году. Здесь эти зависимости не рапссматриваются.
Для МНОГИХ веществ, способных образовывать ГВС, возможно также использование приближенного метода расчета, основанного на расчете размеров облака и статистических данных. При этом рассчитывается объем газового облака V0 и радиус полусферы газового облака r0, которые зависят от количества исходного вещества, находившегося в хранилище до аварии, и способа его хранения.
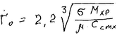
Окончательная формула для расчета r0 получает вид
MХР - масса вещества, находившегося в хранилище до образования облака (до аварии)(кг);
σ – коэффициент, зависящий от способа хранения вещества, показывающий долю вещества,
(указанный к формуле (2б) на стр.3,
μ- молярная масса хранящегося вещества (кг/кмоль); cстх- стехиометрическая объемная концентрация (в абсолютных долях). (см.п.3.2.1)
Значения параметров, характеризующих некоторые вещества, приведены в таблице Б3.
Таблица Б3
Значения параметров, характеризующие некоторые вещества и их смеси с воздухом.
| Вещество | μ кг/кмоль | cстх | Вещество | μ кг/кмоль | Cстх |
| Аммиак | 17 | 0.1972 | Пропилен | 42 | 0.0446 |
| Ацетилен | 26 | 0.0775 | Этан | 30 | 0.0566 |
| Бутан | 58 | 0.0313 | Этилен | 28 | 0.0654 |
| Метан | 16 | 0.0945 | Ацетон | 42 | 0.0499 |
| Пропан | 44 | 0.0403 | Бензол | 78 | 0.0284 |
Приближенная оценка параметров взрывной волны за пределами облака может быть проведена по таблице Б4, в которой представлены значения избыточного давления ∆Pф заранее рассчитанные для различных значений R/ro, где R расстояние от места взрыва (м). Значения параметров, указанных в таблице, получены исходя из давления внутри газового облака 1700 кПа.
Таблица Б4.
Значения максимального избыточного давления и эффективного времени действия ударной волны при взрыве ГВС
| R/r0 | 0 - 1 | 1.01 | 1.04 | 1.08 | 1.13 | 1.2 | 1.4 | 1.8 |
| ∆Pф кПа | 1700 | 1232 | 814 | 568 | 500 | 400 | 300 | 200 |
| R/r0 | 2.7 | 3 | 4 | 5 | 6 | 8 | 12 | 15 | 40 |
| ∆Pф кПа | 100 | 80 | 50 | 40 | 30 | 20 | 10 | 7.8 | 2.5 |
Пример 3
Определить по таблице по приближенной оценке избыточное давление во фронте ВУВ (воздушной ударной волны) на расстоянии 100 м. от емкости, в которой находится 10 т пропилена, хранящегося в жидком виде под давлением, при ее разгерметизации и взрыве образовавшейся ГВС. Исходные данные
При хранении газа пропилена в жидком виде под давлением σ=0,5 (см. формулу 2б)
Масса газа пропилена, находившегося в хранилище до образования облака (до аварии),
MХР = 10 т = 10.000 кг.
Из табл.Б3 для пропилена: μ = 42 кг/кмоль , cстх = 0,0446,
Расстояние от емкости (места взрыва) R = 100 м.
Найти: по приближенной оценке избыточное давление во фронте ВУВ (воздушной
ударной волны) ∆Pф = ?( кПа)
Расчет
-
Определение r0 ( по ф-ле 12)
= 2,2 (0,5.100002/42.0,0446) 0,3333 = 2,2 .(5000/1,8732) 0,3333 = 2,2(2670) 0,3333=2,2.13,87= 30,5 м
-
Определение R/r0 = 100/30,5 = 3.278 ≈ 3,3 м
-
По таблице Б4 находим, что для R/r0 = ≈3,3 значение ∆Pф лежит
между 80 кПа для R/r0 =3 и 50 кПа для R/r0 =4.
После проведения интерполяции по формуле
80 + (50-80). (3,3-3)/(4-3) = 80 +(-30) .0,3 /1 = 80 – 9 = 71
получаем
ОТВЕТ: избыточное давление во фронте ВУВ будет равно 71 кПа.
Для специфики взрыва ГВС, образовавшегося от таких тяжелых углеводородов,
как пропан, бутане и этан, в качестве приближенных расчетов можно с достаточной точностью пользоваться для определения радиуса сферы газового облака ro (в м) БОЛЕЕ УПРОЩЕННОЙ формулой (12а),
















