Семинар 8 Заземление (1254563)
Текст из файла
13
ИСТОЧНИК: Охрана труда в машиностроении: Учебник для машиностроительных вузов/Под общ.ред.Е.Я.Юдина,
2-е изд. – М.:Машиносмтроение,1983.-432 стр.
Семинар 8 . Расчет системы заземления, зануления.
(285 -289) ЗАЩИТНОЕ ЗАЗЕМЛЕНИЕ
Защитное заземление - преднамеренное электрическое соединение с землей или ее эквивалентом металлических нетоковедущих частей, которые могут оказаться под напряжением.
Принцип действия защитного заземления - снижение до БЕЗОПАСНЫХ
значений напряжения прикосновения и шага , обусловленных замыканием на корпус.
Область применения трехфазные ТРЕХПРОВОДНЫЕ СЕТИ
- с изолированной нейтралью НАПРЯЖЕНИЕМ до 1000 В
- и с любым режимом нейтрали НАПРЯЖЕНИЕМ свыше 1000 В.
Заземляющее устройство - это совокупность
* заземлителя в виде металлических проводников, находящихся непосредственно
в земле, и
* заземляющих проводников, соединяющих заземляемые части электроустановки с
заземлителем.
В качнестве искусственных заземлителей применяют
- вертикальные и горизонтальные электроды из
*стальных труб диаметром 3-5 см (не менее 10 мм),
*уголков 40х40 - 60х60 мм длиной 2,5-3 м;
*стальных прутков (стержней)диаметром 10-16 мм длиной до 10 м (3-5 м) и др.
Эти электроды забивают в землю в предварительно вырытой траншеи глубиной 0,7 - 0,8 м.
В качестве естественных заземлителей используют проложенные в земле неизо-лированные водопроводные трубы, обсадные трубы артезианских колодцев, скважин, шурфов, имеющую соединение с землей металлическую арматуру железобетонных конструкций фундаментов зданий и т.п. Прокладку заземляющих проводников производят ОТКРЫТО по конструкциям зданий (по стенам на специальных опорах).
Заземление может быть одиночным или групповым
Напряжение шага меняется от максимального значения (около электрода) до нуля при определенном удалении от электрода.
При групповом заземлении напряжение шага МЕНЬШЕ, чем при одиночном заземлителе.
Заземление может быть выносным или контурным .
Выносные заземления применяют при МАЛЫХ токах замыкания на землю и, в частности, в установках напряжением до 1000 В.
При контурном заземлении обеспечивается ВЫРАВНИВАНИЕ потенциала на защищаемой территории и в результате снижение напряжения шага и
напряжения прикосновения .
Согласно Правилам устройства электроустановок (ПУЭ) наибольшее ДОПУСТИМОЕ сопротивление защитного заземления не должна превышать:
- 10 Ом - при мощности источника тока не превышает 100 кВ .А
- 8 Ом - в установках напряжением 220/127 В,
- 4 Ом - в установках напряжением 380/220 В, (случай для Примера)
- 0,5 Ом - в установках напряжением выше 1000 В с заземленной нейтралью.
В общем виде сопротивление заземления не должно превышать величины:
-250/ I з, для установок напряжением свыше 1000 В, но не более 10 Ом;
-125/ I з , для установок напряжением до 1000 В, но не более 10 или 4 Ом;
где I з - ток замыкания на землю, А.(ампер)
ЗАЗЕМЛЕНИЮ подлежат металлические нетоковедущие части оборудования
- при напряжении 380 В и выше переменного тока и 440 В и выше постоянного тока в помещениях без повышенной ОПАСНОСТИ .
- при напряжении 42 В и выше переменного тока и 110 В и выше постоянного тока в помещениях с повышенной ОПАСНОСТЬЮ и ОСОБО ОПАСНЫХ, а
также в НАРУЖНЫХ установках.
- всех видов и напряжений во ВЗРЫВООПАСНЫХ помещениях.
Основные понятия о заземленииЗаземление является неотъемленимой частью любых электроустановок и предназначено не только для обеспечения функционирования электрооборудования, но и для обеспечениения безопасности и сохранности здоровья и жизни человека при случайном возможном его контакте с нетоковедущими элементами конструкций электрооборудования. В ПУЭ применяют следующие понятия: | |
Расчет заземляющих устройств
Расчет сводится к определению сопротивления растеканию тока заземлителя, которое зависит от проводимости грунта, конструкции заземлителя и глубины его заложения. Проводимость грунта характеризуется его удельным сопротивлением ρ ( Ом*см): сопротивление между противоположными сторонами кубиками грунта с ребрами 1см. Удельное сопротивление зависит от характера и строения грунта, его влажности, глубины промерзания и может колебаться в широких пределах.
Обычно в расчет принимают следующие средние занчения удельных сопротивлений грунта (Ом*см):
глина, садовая земля..........................................4*10³
чернозем..............................................................5*10³
суглинок, каменистая глина..............................10*10³
щебень с песком, каменистая почва.................20*10³
супесь.................................................................30*10³
песок с галькой..................................................80*10³
При промерзании грунта электропроводность его ухудшается и удельное сопротивление возрастает. Поэтому в расчет нужно вводить поправку Км - коэффициент сезонности, величина которого определяется в зависимости от климатической зоны. Коэффициент сезонности приведен в таблице ниже.
табл.1. Значения коэффициента сезонности Км
| климатические зоны | признаки зон | коэффициент Км | ||
| средняя многолетняя температура, °С | продолжительность замерзания вод, сутки | |||
| низшая (январь) | высшая (июль) | |||
| 1 | от -20 до -15 | от +16 до +18 | 170...190 | 1,9/5,8 |
| 2 | от -15 до -10 | от +18 до +22 | 150 | 1,7/4,0 |
| 3 | от -10до 0 | от +22 до +24 | 100 | 1,5/2,3 |
| 4 | от 0 до +5 | от +24 до +26 | 0 | 1,3/1,8 |
В последнем столбце
Числитель - для вертикальных заземлителей с заложением их вершин на глубине 0,5...0,7м от поверхности земли;
Знаменатель - для горизонтальных заземлителей при глубине заложения 0,3...0,8м.
При удельных сопротивлениях грунта более 20*10³ Ом*см необходимо устанавливать углубленные заземлители или принимать меры для снижения величины ρ.
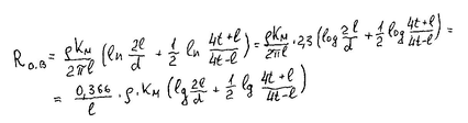
По ВСЕМ СПРАВОЧНИКАМ формулы вычисления СОПРОТИВЛЕНИЯ РАСТЕКАНИЮ ТОКА С ОДНОЧНОГО ВЕРТИКАЛЬНОГО ЗАЗЕМЛИТЕЛЯ RО.В. (трубчатого или стержневого длиной l В ЗЕМЛЕ на глубине t ) определяется по формуле
В этой формуле (и в других аналогичных) вместо взятия НАТУРАЛЬНОГО логарифма ln делается переход к десятичным логарифмам log10 (или lg ) с помощью введения КОЭФФИЦИЕНТА 2,3, который вместе с постоянной величиной 2π создает коэффициент в числителе (2,3/ 2π) = 0,366.
Поэтому сопротивление (в Омах) одиночного вертикального заземлителя (из круглого стержня) растеканию тока определяется по формуле:
Характеристики
Тип файла документ
Документы такого типа открываются такими программами, как Microsoft Office Word на компьютерах Windows, Apple Pages на компьютерах Mac, Open Office - бесплатная альтернатива на различных платформах, в том числе Linux. Наиболее простым и современным решением будут Google документы, так как открываются онлайн без скачивания прямо в браузере на любой платформе. Существуют российские качественные аналоги, например от Яндекса.
Будьте внимательны на мобильных устройствах, так как там используются упрощённый функционал даже в официальном приложении от Microsoft, поэтому для просмотра скачивайте PDF-версию. А если нужно редактировать файл, то используйте оригинальный файл.
Файлы такого типа обычно разбиты на страницы, а текст может быть форматированным (жирный, курсив, выбор шрифта, таблицы и т.п.), а также в него можно добавлять изображения. Формат идеально подходит для рефератов, докладов и РПЗ курсовых проектов, которые необходимо распечатать. Кстати перед печатью также сохраняйте файл в PDF, так как принтер может начудить со шрифтами.
















