Семинар 8 Заземление (1254563), страница 2
Текст из файла (страница 2)
(Здесь уже имеется ввиду десятичный логарифм log )
где ρ - удельное сопротивление грунта, Ом*см;
Км - коэффициент сезонности;
l - длина заземлителя, см;
d - диаметр стержня, см;
t - глубина заложения (от поверхности земли до середины длины стержня), см.
( Если вместо круглого стержня используется угловая сталь, то d = 0,95b, где b - ширина полок уголка).
При ориентировочных расчетах сопротивление одиночного заземлителя
можно с достаточной точностью определять как
Соответственно по всем справочникам для ГОРИЗОНТАЛЬНОГО ЗАЗЕМЛИТЕЛЯ RО.Г. (трубчатого или плоского стержня длиной l Г В ЗЕМЛЕ на глубине t ) определяется по формуле, в которой ,
во-первых, учтено, что для плоского стержня d = 0,5 b = b /2,
во-вторых, сделан переход от НАТУРАЛЬНОГО логарифма ln переход к десятичным логарифмам log10 (или lg ) с помощью введения КОЭФФИЦИЕНТА 2,3, который вместе с постоянной величиной 2π создает коэффициент в числителе (2,3/ 2π) = 0,366.
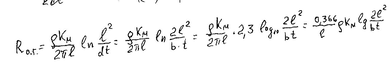
Отсюда сопротивление (в Омах) горизонтального заземлителя:
где lг - длина заземлителя, см;
b - ширина полосового заземлителя, см; t - глубина его заложения, см.
Сопротивление заземлителя из нескольких электродов, соединенных полосой:
Суммарное сопротивление всех вертикальных электродов составит:
где n - число электродов; ηв - коэффициент использования электрода, характеризующий степень использования его поверхности из-за экранирующего влияния соседних электродов (см. таблицу).
табл.2. Значения коэффициента использования ηв
| количество вертикальных заземлителей | отношение a/l (a - расстояние между заземлителями; l - длина заземлителя) | |||||
| 1 | 2 | 3 | ||||
| ηв | ηг | ηв | ηг | ηв | ηг | |
| 4 | 0,69/0,74 | 0,45/0,77 | 0,78/0,83 | 0,55/0,89 | 0,85/0,88 | 0,70/0,92 |
| 6 | 0,62/0,63 | 0,40/0,77 | 0,73/0,77 | 0,48/0,83 | 0,80/0,83 | 0,64/0,88 |
| 10 | 0,55/0,59 | 0,34/0,62 | 0,69/0,75 | 0,40/0,75 | 0,76/0,81 | 0,56/0,82 |
| 20 | 0,47/0,49 | 0,27/0,42 | 0,64/0,68 | 0,32/0,56 | 0,71/0,77 | 0,45/0,68 |
| 30 | 0,43/0,43 | 0,24/0,31 | 0,60/0,65 | 0,30/0,46 | 0,68/0,75 | 0,41/0,58 |
числитель - значения при размещении вертикальных заземлителей по замкнутому контуру; в знаменателе - при расположении их в ряд.
Для горизонтальных полос, связывающих вертикальные электроды, сопротивление
растеканию тока с учетом экранирования определяется по формуле:
,
где ηг - коэффициент использования горизонтальной полосы с учетом экранирующего влияния вертикальных электродов. Далее приводим небольшой пример расчета заземления.
Пример . Выполнить контур защитного заземления цеховой подстанции с двумя трансформаторами 630 кВ*А на напряжении 10/0,4кВ. Протяженность электрически связанных кабельных линий 10кВ предприятия составляет 18км. Грунт - суглинок, климатическая зона - 3.
Решение.
Ток однофазного короткого замыкания для сетей свыше 1000В с изолированной нейтралью определяется по формуле:
где U = 10кВ - междуфазное напряжение (в киловольтах);
lв и lк - длины электрически связанных воздушных (lв=0) и кабельных (lк =18 км) линий сети
данного напряжения (в километрах).
Отсюда находим значение тока однофазного короткого замыкания на землю:
По ПУЭ в общем виде сопротивление заземления не должно превышать величины:
250/ I з, для установок напряжением свыше 1000 В, но не более 10 Ом.
Сопротивление заземлителя растеканию тока на напряжении 10кВ определяется как:
Таким образом, Rз = 250/18= 13,88 Ом.
В соответствии с ПУЭ сопротивление заземлителей у электроустановок -напряжением 10кВ должно быть не более 10 Ом, - а с напряжением 0,4/0,23кВ - не более 4 Ом. Расчетным принимается всегда сопротивление заземления для меньшего напряжения. таким образом, принимаем Rз = 4 Ом.
После этих расчетов необходимо определиться с материалом заземлителей. Будем выполнять свои заземлители из круглых стальных электродов диаметром d =12мм и длиной l = 5м. Размещаем электроды в ряд и соединяем их полосой из круглой стали диаметром d =12мм.
Полосу заложим на глубине t =0,6м.
При ориентировочных расчетах сопротивление одиночного заземлителя Rо.в . можно с достаточной точностью определять как
Обычно в расчет принимают средние занчения удельных сопротивлений грунта (Ом*см), приведенные выше.
Для суглинка ρ = 10*10³ Ом*см.
Значение коэффициента сезонности по табл.1 для зоны 3 равно Км = 1,5.
Отсюда Rо.в = 0,003*10*10³*1,5 = 45 Ом.
Далее приняв отношение a/l = 1
(a = 5 - расстояние между заземлителями;
l = 5 - длина заземлителя)
по табл.2 определяем для n=20 коэффициент использования ηв = 0,47. Находим суммарное сопротивление всех электродов по формуле.
Отсюда Rв = 45/(20*0,47) = 4,8 Ом.
Протяженность заземлителя lг = (n - 1)*a = 19*5 = 95м. Далее для сопротивления (в Омах) горизонтального заземлителя R ́г по формуле
,
где ρ - удельное сопротивление грунта, Ом*см;
Км - коэффициент сезонности по табл.1;
lг - длина горизонтального заземлителя, см;
b - ширина полосового заземлителя, см;
t - глубина его заложения, см.
(Если вместо круглого стержня используется угловая сталь, то d = 0,95b,
где b - ширина полок уголка.)
находим сопротивление горизонтального заземлителя Rг = 6,102.
Далее по формуле
определяем сопротивление соединительной полосы Rг с учетом экранирования. Из табл. 2 берем ηг = 0,27 для ранее принятых значений n = 20 и a/l = 1. Посчитав, получим Rг = 22,6 Ом.
И, наконец, находим по формуле
сопротивление нашего заземлителя из нескольких электродов, соединенных полосой,
растеканию тока.
Получим
,
что меньше минимально необходимой величины 4 Ом.
В заключение следует сказать, что подобная задача решается подбором материала и его количеством. Поэтому, если у вас величина получившегося контура получилась больше необходимого значения, следует взять стальные прутья или уголки большей длины и/или большего количества и снова пересчитать до получения необходимого результата
ЗАЩИТНОЕ ЗАНУЛЕНИЕ
Защитное зануление - преднамеренное электрическое соединение с нулевым защитным проводником металлических нетоковедущих частей, которые могут оказаться под напряжением.
Нулевым защитным проводником называется проводник, соединяющий зануляемые части с глухозаземленной нейтральной точки обмотки источника тока. Этот проводник следует отличать от нулевого РАБОЧЕГО проводника, который тоже соединен с глухозаземленной нейтральной точкой источника тока, но предназначен для питания током электроприемников, т.е. по нему проходит рабочий ток.
Принцип действия зануления – превращение замыкания на корпус в однофазное КОРОТКОЕ ЗАМЫКАНИЕ, т.е. замыкание между фазным и нулевым проводами с целью создания БОЛЬШОГО ТОКА, способного обеспечить срабатывание ЗАЩИТЫ и тем самым ОТКЛЮЧИТЬ поврежденную установку от питающей сети.
ЗАЩИТОЙ являются плавкие предохранители или автоматические выключатели , устанавливаемые перед потребителями энергии для защиты от токов короткого замыкания.
Скорость отключения составляет
при защите плавкими предохранителями - 5-7 с
и при защите автоматами - 1-2 с .
Область применения ЗАНУЛЕНИЯ
- трехфазные ЧЕТЫРЕХПРОВОДНЫЕ сети напряжением до 1000 В с ГЛУХОЗАЗЕМЛЕННОЙ НЕЙТРАЛЬЮ, обычно в широко распространенных в машиностроении сетях напряжением 380/220 В.
Схема зануления требует наличия в сети:
- нулевого защитного проводника, предназначенного для создания для тока короткого замыкания цепи с малым сопротивление, чтобы этот ток был достаточен для БЫСТРОГО срабатывания защиты (отключения установки от сети);
По ПУЭ, чтобы обеспечить достаточный ток короткого замыкания, проводимость нулевого защитного проводника должна быть не меньше ПОЛОВИНЫ ПРОВОДИМОСТИ ФАЗНОГО ПРОВОДА.
- заземления нейтрали источника тока, предназначенного для снижения до безопасного значения напряжения относительно земли нулевого проводника (и всех присоединенных к нему корпусов) при случайном замыкании фазы на землю;
По ПУЭ, сопротивление заземления нейтрали источника тока должно быть не больше 8 Ом при напряжении 220/127В, 4 Ом – при 380/220 В и 2 Ом – при 660/380 В.
- повторного заземления нулевого проводника , предназначенного для уменьшения опасности поражения людей током, возникающей при обрыве этого проводника и замыкании фазы на корпус за местом обрыва.
ЗАЩИТНОЕ ОТКЛЮЧЕНИЕ
Защитное отключение (устройства защитного отключения - УЗО) - быстродействующая защита, обеспечивающая автоматическое отключение электроустановки при возникновении в ней опасности поражения током, в частности, при - замыкании фазы на корпус электрооборудования, - снижении сопротивления изоляции фаз относительно земли ниже определенного предела, - появлении в сети более высокого напряжения, - прикосновении человека к токоведущей части, находящейся под напряжением.
Принцип действия. - изменение до известных пределов любого их этих параметров электрической сети служит ИМПУЛЬСОМ, вызывающим СРАБАТЫВАНИЕ УЗО, в результате которого происходит отключение опасного участка сети (или электроустановки) за время не более 0,2 с.
















