1.Диплом (1236045), страница 6
Текст из файла (страница 6)
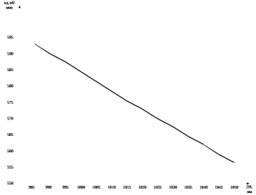
Рисунок 3.1 – Зависимость частоты оборотов ТЭД от диаметра КП
Рисунок 3.2 – Зависимость противо-ЭДС от диаметра КП
В диапазоне диаметров колёс от 1050 до 985 мм частота оборотов якоря увеличится с 556,5 до 593,2 об/мин, а противо-ЭДС с 414,2 до 444,8 В, что составило 7,4 %. Увеличение противо-ЭДС ведёт к несогласованной работе тяговых электродвигателей, и соответственно всего локомотива в целом. Напомним, что локомотивные системы защиты от буксования КМБ реализуют на 2,7 В.
3.2 Влияние диаметра бандажа на процесс появления буксования
Одной из причин возникновения буксования является разность диаметров бандажей колёсных пар (КП) в секции тепловоза. Зная значения, рассчитанные по формулам 3.1-3.5 по формуле 3.6 можно рассчитать линейную скорость якоря ТЭД.
(3.6)
Подставляя значения числа оборотов ТЭД для скоростей от 20-100 км/ч рассчитаем линейную скорость якоря. Расчёты сведены в Таблицу 3.2.
Таблица 3.2 – Расчёт линейной скорости коллектора
|
| 20 | 25 | 30 | 35 | ||||||
| | | | | | | | | | ||
| 1050 | 445,2 | 11,50 | 556,5 | 14,38 | 667,8 | 17,26 | 779,1 | 20,13 | ||
| 1045 | 447,3 | 11,56 | 559,2 | 14,45 | 671,0 | 17,34 | 782,8 | 20,23 | ||
| 1040 | 449,5 | 11,61 | 561,9 | 14,52 | 674,2 | 17,42 | 786,6 | 20,32 | ||
| 1035 | 451,7 | 11,67 | 564,6 | 14,59 | 677,5 | 17,51 | 790,4 | 20,42 | ||
| 1030 | 453,8 | 11,73 | 567,3 | 14,66 | 680,8 | 17,59 | 794,2 | 20,52 | ||
| 1025 | 456,1 | 11,78 | 570,1 | 14,73 | 684,1 | 17,68 | 798,1 | 20,62 | ||
| 1020 | 458,3 | 11,84 | 572,9 | 14,80 | 687,4 | 17,76 | 802,0 | 20,72 | ||
| 1015 | 460,6 | 11,90 | 575,7 | 14,88 | 690,8 | 17,85 | 806,0 | 20,83 | ||
| 1010 | 462,8 | 11,96 | 578,5 | 14,95 | 694,2 | 17,94 | 810,0 | 20,93 | ||
| 1005 | 465,1 | 12,02 | 581,4 | 15,02 | 697,7 | 18,03 | 814,0 | 21,03 | ||
| 1000 | 467,5 | 12,08 | 584,3 | 15,10 | 701,2 | 18,12 | 818,1 | 21,14 | ||
| 995 | 469,8 | 12,14 | 587,3 | 15,17 | 704,7 | 18,21 | 822,2 | 21,24 | ||
| 990 | 472,2 | 12,20 | 590,2 | 15,25 | 708,3 | 18,30 | 826,3 | 21,35 | ||
| 985 | 474,6 | 12,26 | 593,2 | 15,33 | 711,9 | 18,39 | 830,5 | 21,46 | ||
Продолжение таблицы 3.2
|
| 40 | 45 | 50 | 55 | ||||||
| | | | | | | | | | ||
| 1050 | 890,4 | 23,01 | 1001,7 | 25,88 | 1113 | 28,76 | 1224,3 | 31,63 | ||
| 1045 | 894,7 | 23,12 | 1006,5 | 26,01 | 1118,3 | 28,90 | 1230,2 | 31,79 | ||
| 1040 | 899,0 | 23,23 | 1011,3 | 26,13 | 1123,7 | 29,03 | 1236,1 | 31,94 | ||
| 1035 | 903,3 | 23,34 | 1016,2 | 26,26 | 1129,1 | 29,18 | 1242,0 | 32,09 | ||
| 1030 | 907,7 | 23,45 | 1021,2 | 26,39 | 1134,6 | 29,32 | 1248,1 | 32,25 | ||
| 1025 | 912,1 | 23,57 | 1026,1 | 26,51 | 1140,1 | 29,46 | 1254,2 | 32,41 | ||
| 1020 | 916,6 | 23,68 | 1031,2 | 26,64 | 1145,7 | 29,60 | 1260,3 | 32,56 | ||
| 1015 | 921,1 | 23,80 | 1036,2 | 26,78 | 1151,4 | 29,75 | 1266,5 | 32,73 | ||
| 1010 | 925,7 | 23,92 | 1041,4 | 26,91 | 1157,1 | 29,90 | 1272,8 | 32,89 | ||
| 1005 | 930,3 | 24,04 | 1046,6 | 27,04 | 1162,8 | 30,05 | 1279,1 | 33,05 | ||
| 1000 | 934,9 | 24,16 | 1051,8 | 27,18 | 1168,7 | 30,20 | 1285,5 | 33,22 | ||
| 995 | 939,6 | 24,28 | 1057,1 | 27,23 | 1174,5 | 30,35 | 1292,0 | 33,38 | ||
| 990 | 944,4 | 24,40 | 1062,4 | 27,45 | 1180,5 | 30,50 | 1298,5 | 33,55 | ||
| 985 | 949,2 | 24,52 | 1067,8 | 27,59 | 1186,4 | 30,66 | 1305,1 | 33,72 | ||
Продолжение таблицы 3.2
| км/ч | 60 | 65 | 70 | 75 | 80 | ||||||
| | | | | | | | | | | | |
| 1050 | 1335,6 | 34,51 | 1446,9 | 37,39 | 1558,2 | 40,26 | 1669,5 | 43,14 | 1780,8 | 46,01 | |
| 1045 | 1342,0 | 34,68 | 1453,8 | 37,56 | 1565,7 | 40,45 | 1677,5 | 43,34 | 1789,3 | 46,23 | |
| 1040 | 1348,4 | 34,84 | 1460,8 | 37,75 | 1573,2 | 40,65 | 1685,6 | 43,55 | 1797,9 | 46,46 | |
| 1035 | 1355,0 | 35,01 | 1467,9 | 37,93 | 1580,8 | 40,85 | 1693,7 | 43,76 | 1806,6 | 46,68 | |
| 1030 | 1361,5 | 35,18 | 1475,0 | 38,11 | 1588,5 | 41,04 | 1701,9 | 43,98 | 1815,4 | 46,91 | |
| 1025 | 1368,2 | 35,35 | 1482,2 | 38,30 | 1596,2 | 41,24 | 1710,2 | 44,19 | 1824,2 | 47,14 | |
| 1020 | 1374,9 | 35,53 | 1489,5 | 38,49 | 1604,0 | 41,45 | 1718,6 | 44,41 | 1833,2 | 47,37 | |
| 1015 | 1381,7 | 35,70 | 1496,8 | 38,68 | 1611,9 | 41,65 | 1727,1 | 44,63 | 1842,2 | 47,60 | |
| 1010 | 1388,5 | 35,88 | 1504,2 | 38,87 | 1619,9 | 41,86 | 1735,6 | 44,85 | 1851,3 | 47,84 | |
| 1005 | 1395,4 | 36,06 | 1511,7 | 39,06 | 1628,0 | 42,06 | 1744,3 | 45,07 | 1860,5 | 48,07 | |
| 1000 | 1402,4 | 36,24 | 1519,2 | 39,26 | 1636,1 | 42,27 | 1753,0 | 45,29 | 1869,8 | 48,31 | |
| 995 | 1409,4 | 36,42 | 1526,9 | 39,45 | 1644,3 | 42,49 | 1761,8 | 45,52 | 1879,2 | 48,56 | |
| 990 | 1416,5 | 36,60 | 1534,6 | 39,65 | 1652,6 | 42,70 | 1770,7 | 45,75 | 1888,7 | 48,80 | |
| 985 | 1423,7 | 36,79 | 1542,4 | 39,85 | 1661,0 | 42,49 | 1779,7 | 45,98 | 1898,3 | 49,05 | |
Окончание таблицы 3.2
|
| 85 | 90 | 95 | 100 | ||||||
| | | | | | | | | | ||
| 1050 | 1892,1 | 48,89 | 2003,4 | 51,77 | 2114,7 | 54,64 | 2226,0 | 57,52 | ||
| 1045 | 19012 | 49,12 | 2013,0 | 52,01 | 2124,8 | 54,90 | 2236,7 | 57,79 | ||
| 1040 | 1910,3 | 49,36 | 2022,7 | 52,26 | 2135,0 | 55,17 | 2247,4 | 58,07 | ||
| 1035 | 1919,5 | 49,60 | 2032,4 | 52,52 | 2145,3 | 55,43 | 2258,3 | 58,35 | ||
| 1030 | 1928,8 | 49,84 | 2042,3 | 52,77 | 2155,8 | 55,70 | 2269,2 | 58,63 | ||
| 1025 | 1938,2 | 50,08 | 2052,3 | 53,03 | 2166,3 | 55,97 | 2280,3 | 58,92 | ||
| 1020 | 1947,8 | 50,33 | 2062,3 | 53,29 | 2176,9 | 56,25 | 2291,5 | 59,21 | ||
| 1015 | 1957,3 | 50,58 | 2075,5 | 53,55 | 2187,6 | 56,53 | 2302,8 | 59,50 | ||
| 1010 | 1967,0 | 50,83 | 2082,7 | 53,82 | 2198,5 | 56,80 | 2314,2 | 59,79 | ||
| 1005 | 1976,8 | 51,08 | 2093,1 | 54,08 | 2209,4 | 57,09 | 2325,7 | 60,09 | ||
| 1000 | 1986,7 | 51,33 | 2103,6 | 54,35 | 2220,4 | 57,37 | 2337,3 | 60,39 | ||
| 995 | 1996,7 | 51,59 | 2114,1 | 54,63 | 2231,6 | 57,66 | 2349,0 | 60,70 | ||
| 990 | 2006,8 | 51,85 | 2124,8 | 54,90 | 2242,9 | 57,95 | 2360,9 | 61,00 | ||
| 985 | 2017,0 | 52,12 | 2135,6 | 55,18 | 2254,2 | 58,25 | 2372,9 | 61,31 | ||
На рисунке 3.3 представлен график зависимости линейной скорости якоря от диаметра бандажа для скоростей от 20-100 км/ч.
















